Материал: Амортизационные отчисления

Внимание! Если размещение файла нарушает Ваши авторские права, то обязательно сообщите нам

Амортизационные отчислений за год определяется следующим образом:

, где:

А.С. - амортизируемая стоимость объекта основных средств;

На - годовая норма амортизации в процентах от амортизируемой стоимости объекта, рассчитывается по формуле исходя из срока полезного использования (расчет приведен ниже).

, где:

СПИ - срок полезного использования объекта основных средств, лет;

К - повышающий коэффициент, равный, согласно ПБУ 6/01, не более 3. Повышающий коэффициент является составляющей нормы амортизации. Начисление амортизации в отношении объекта амортизируемого имущества осуществляется в соответствии с нормой амортизации, установленной на дату ввода данного объекта в эксплуатацию. При этом в течение срока амортизации объекта основных средств норма амортизации изменена быть не может, в том числе не может изменяться и значение коэффициента.

Максимальная величина повышающего коэффициента может быть установлена к амортизации основных средств, используемых в лизинговых сделках. Подробнее о порядке применения повышающих коэффициентах будет сказано ниже.

Сумма ежемесячных амортизационных отчислений (Ам) рассчитывается ежегодно, исходя из годовой суммы амортизационных отчислений по формулам:


. Метод списания стоимости по сумме чисел лет срока полезного использования

Применение этого метода предполагает определение годовой суммы амортизационных отчислений исходя из амортизируемой стоимости основных средств и отношения, в числителе которого - число лет, остающихся до конца срока полезного использования объекта, а в знаменателе - сумма чисел лет срока его полезного использования.

Сумма чисел лет срока полезного использования объекта определяется по следующей формуле:

, где

СЧЛ - сумма чисел лет выбранного организацией самостоятельно в пределах установленного диапазона срока полезного использования объекта;

СПИ - выбранный организацией самостоятельно в пределах установленного диапазона срок полезного использования объекта.

.Метод списания стоимости пропорционально объему продукции (работ, услуг)

Этот способ начисления амортизации объекта основных средств заключается в начислении амортизации исходя из амортизируемой стоимости объекта и отношения натуральных показателей объема продукции, выпушенной в (текущем) периоде к ресурсу объекта. Под ресурсом объекта понимается количество продукции (работ, услуг), в натуральных показателях, которое в соответствии с технической документацией может быть выпущено на протяжении всего срока эксплуатации объекта. Амортизационные отчисления рассчитываются производительным способом в каждом отчетном году по следующей формуле:

, где

АОi - сумма амортизационных отчислений в отчетном году i;

А.С. - амортизируемая стоимость объекта основных средств;

ОПРi - прогнозируемый объем выпуска продукции в течение срока эксплуатации;= 1, …, - годы срока полезного использования объекта.

Таким образом, рассмотрев основные методы начисления амортизационных отчислений, применяемых в бухгалтерском учете, следует отметить, что наиболее эффективным является начисление амортизации пропорционально объему продукции, так как способствует интенсивному использованию основных средств и позволяет избежать перекосов в стоимости продукции из-за неритмичной деятельности организации.

1.3 Характеристика методов начисления амортизации, применяемых в налоговом учете

Начисление амортизационных отчислений по амортизационному имуществу для целей налогообложения имеет некоторые особенности по сравнению с начислением амортизации для целей бухгалтерского учета.

С 1 января 2009 года значительно изменился налоговый учет основных средств. Поправки, внесенные Федеральным законом от 22.07.08 № 158-ФЗ, по большей части касаются нелинейного метода начисления амортизации. Новый порядок применения этого метода позволяет существенно снизить налог на прибыль в первые годы использования объекта. Кроме того, компании, получившие основные средства в безвозмездное пользование, смогут амортизировать капитальные вложения в такие объекты.[1]

Как и ранее, глава 25 НК РФ предусматривает два метода начисления амортизации:

.Линейный ;

.Нелинейный.

Оба эти метода в равной степени могут быть использованы для расчета амортизационных отчислений, как по основным средствам, так и по нематериальным активам. Сумма амортизации определяется налогоплательщиком ежемесячно по каждому объекту амортизируемого имущества.[9]

Как и для целей бухгалтерского учета, для целей налогообложения начисление амортизационных отчислений по объекту амортизируемого имущества начинается с первого числа месяца, следующего за месяцем, в котором этот объект был введен в эксплуатацию. Прекращается начисление амортизационных отчислений по объекту амортизируемого имущества с первого числа месяца, следующего за месяцем, когда произошло полное списание стоимости такого объекта либо когда данный объект выбыл из состава амортизируемого имущества по любым основаниям.С введение главы 25 НК РФ основные средства организации объединяются в десять амортизационных групп в соответствии со сроком полезного использования, которые устанавливают соответствующий диапозон сроков полезного использования основных средств.[12]

Таблица 1 Амортизационные группы

Номер группы

Срок эксплуатац

Состав основных средств

1

1-2 года

Машины и оборудование, как основные инструменты производства

2

2-3 года

Машины и оборудование, многолетние насаждения.

3

3-5 лет

Сооружения и передаточные устройства, машины и оборудование

4

5-7 лет

Здания(кроме жилых), сооружения и передаточные устройства, машины и оборудование,инвентарь хозяйственный и производственный, скот рабочий, насаждения многолетние(ягодных культур)

5

7-10 лет

Здания и сооружения и передаточные устройства, машины и оборудование, средства транспортные, насаждения многолетние (лимон,апельсин)

6

10-15 лет

Сооружения и передаточные устройства, жилища, машины и оборудование, средства транспортные, насаждения многолетние(косточковых культур)

7

15-20 лет

Здания(кроме жилых),сооружения и передаточные устройства, машины и оборудование,средства транспортные

20-25 лет

Здания(кроме жилых), сооружения и передаточные устройства,машины и оборудование, транспортные средства, инвентарь производственный и хозяйственный.

9

25-30 лет

Здания(кроме жилых),сооружения и передаточные устройства, машины и оборудование,средства транспортные

10

свыше 30 лет

Здания(кроме жилых),сооружения и передаточные устройства, жилища, машины и оборудование, транспортные средства, многолетние насаждения.


Порядок применения линейного метода принципиально не изменился. Сумма начисленной за один месяц амортизации в отношении объекта амортизируемого имущества определяется как произведение его первоначальной стоимости и нормы амортизации, определенной для данного объекта. При применении линейного метода норма амортизации по каждому объекту амортизируемого имущства определяется по формуле:

К=(1/n)* 100%

n- срок полезного использования данного объекта

Линейный метод начисления амортизации налогоплательщики применяют в обязательном порядке к зданиям, сооружениям и передаточным устройствам, входящим в 8-10 амортизационные группы, независимо от сроков ввода вэксплуатацию этих объектов.

Нелинейный метод предполагает, что месячная норма амортизации, определенная исходя из срока полезного использования объекта, применяется каждый раз к остаточной стоимости объекта, сформировавшейся на начало текущего месяца.[5]

Его главное отличие от прежнего нелинейного метода заключается в том, что амортизацию надо начислять не по каждому отдельному объекту основных средств, а по амортизационным группам. Преимущество нелинейного метода заключается в том, что на первоначальном этапе начисления амортизации можно использовать более ускоренный механизм.

Для перехода с линейного метода на нелинейный ограничений нет, кроме того, что таковой возможен лишь с начала налогового периода, которым является календарный год, и такой переход должен происходить не чаще одного раза в пять лет.

На 1-е число налогового периода, с начала которого учетной политикой для целей налогообложения установлено применение нелинейного метода начисления амортизации, для каждой амортизационной группы (подгруппы) определяется суммарный баланс, который рассчитывается как суммарная стоимость всех объектов амортизируемого имущества, отнесенных к данной амортизационной группе. В дальнейшем суммарный баланс каждой амортизационной группы определяется на 1-е число месяца, для которого определяется сумма начисленной амортизации.

Для амортизационных групп и входящих в их состав подгрупп суммарный баланс определяется без учета объектов амортизируемого имущества, амортизация по которым начисляется линейным методом.

При изменении первоначальной стоимости основных средств в случаях достройки, дооборудования, реконструкции, модернизации, технического перевооружения, частичной ликвидации объектов суммы, на которые изменяется первоначальная стоимость указанных объектов, учитываются в суммарном балансе соответствующей амортизационной группы (подгруппы).

Суммарный баланс каждой амортизационной группы ежемесячно уменьшается на суммы начисленной по этой группе амортизации. Сумма начисленной за один месяц амортизации для каждой амортизационной группы определяется исходя из произведения суммарного баланса соответствующей амортизационной группы на начало месяца и норм амортизации, которые будут представлены ниже, по следующей формуле:

A=В · k, где

A - сумма начисленной за один месяц амортизации для соответствующей амортизационной группы (подгруппы); B - суммарный баланс соответствующей амортизационной группы (подгруппы); k - норма амортизации для соответствующей амортизационной группы (подгруппы).

В целях применения нелинейного метода начисления амортизации применяются следующие нормы амортизации.[21]

Таблица 2 Нормы амортизации для амортизационных групп

Амортизационная группа

Норма амортизации (месячная), %

Первая

14,3

Вторая

8,8

Третья

5,6

Четвертая

3,8

Пятая

2,7

Шестая

1,8

Седьмая

1,3

Восьмая

1,0

Девятая

0,8

Десятая

0,7


Кроме того, для достижения ожидаемого результата в более короткие сроки применения нелинейного метода предусмотрено использование системы повышающих коэффициентов.[14]

Налогоплательщики вправе применять к основной норме амортизации специальный коэффициент, но не выше 2.

В отношении амортизируемых основных средств, используемых для работы в условиях агрессивной среды и (или) повышенной сменности.

Под агрессивной средой понимается совокупность природных и (или) искусственных факторов, влияние которых вызывает повышенный износ (старение) основных средств в процессе их эксплуатации. К работе в агрессивной среде приравнивается также нахождение основных средств в контакте с взрыво-, пожароопасной, токсичной или иной агрессивной технологической средой, которая может послужить причиной (источником) инициирования аварийной ситуации.

При применении нелинейного метода начисления амортизации указанный специальный коэффициент не применяется к основным средствам, относящимся к первой - третьей амортизационным группам.[22]

.2. В отношении собственных амортизируемых основных средств налогоплательщиков - сельскохозяйственных организаций промышленного типа (птицефабрики, животноводческие комплексы, зверосовхозы, тепличные комбинаты).

.3. В отношении собственных амортизируемых основных средств налогоплательщиков - организаций, имеющих статус резидента промышленно-производственной особой экономической зоны или туристско-рекреационной особой экономической зоны.

.4. В отношении амортизируемых основных средств, относящихся к объектам, имеющим высокую энергетическую эффективность, в соответствии с перечнем таких объектов, установленным Правительством Российской Федерации, или к объектам, имеющим высокий класс энергетической эффективности, если в отношении таких объектов в соответствии с законодательством Российской Федерации предусмотрено определение классов их энергетической эффективности.

. Налогоплательщики вправе применять к основной норме амортизации специальный коэффициент, но не выше 3 в следующих случаях.

.1. В отношении амортизируемых основных средств, являющихся предметом договора финансовой аренды (договора лизинга), налогоплательщиков, у которых данные основные средства должны учитываться в соответствии с условиями договора финансовой аренды (договора лизинга).Указанный специальный коэффициент не применяется к основным средствам, относящимся к первой - третьей амортизационным группам.

.2. В отношении амортизируемых основных средств, используемых только для осуществления научно-технической деятельности.

Допускается начисление амортизации ниже установленных норм амортизации по решению руководителя организации-налогоплательщика, закрепленному в учетной политике для целей налогообложения в порядке, установленном для выбора применяемого метода начисления амортизации.

При реализации амортизируемого имущества налогоплательщиками, использующими пониженные нормы амортизации, остаточная стоимость реализуемых объектов амортизируемого имущества определяется исходя из фактически применяемой нормы амортизации.

Принципиальное отличие новой версии нелинейного метода начисления амортизации от предыдущих норм состоит в том, что организация не будет самостоятельно рассчитывать нормы амортизации. Они прямо установлены в статье 259.2 НК РФ.

Таким образом, изучив основные методы начисления амортизационных отчислений, применяемых в налоговом учете, следует отметить, что в отличии от методов начисления амортизации, применяемых в бухгалтерском учете, они подразумевают разбиение амортизируемого имущества на десять групп в зависимости от срока эксплуатации, а также использование установленных НК РФ норм амортизации.

Глава 2. Анализ методов начисления амортизации

2.1 Сравнительный анализ различных методов начисления амортизационных отчислений

Для проведения сравнительного анализа методов начисления амортизационных отчислений будут использованы данные ЗАО "Алексеевский Молочноконсервный комбинат".

ЗАО "Алексеевский молочноконсервный комбинат" - является крупным, многофункциональным предприятием, занимающимся производством сгущенных молочных продуктов и молочных продуктов, не включенных в другие группировки.

Данное предприятие так же является прибыльным, так как чистая прибыль за отчетный период составляет 176125тыс. рублей, что по сравнению с прошлым периодом больше на 80598 тыс.рублей.

Кроме того, ЗАО "Алексеевский молочноконсервный комбинат" является крупным предприятием. Объём совокупного капитала в н.г. составлял 1385367 т.р. В течение года более чем на 176090 т.р. вырос и к концу года составил 1561457т.р.

Чтобы провести сравнительный анализ, необходимо применить методы начисления амортизационных отчислений, применяемых бухгалтерском учете, для более подробного анализа и выявлении наиболее эффективных методов начисления.

Для исчисления амортизационных отчислений необходимо, во- первых, определить первоначальную стоимость, принятого к учету оборудования. В данном случае это будет водоочистительное оборудование, первоначальной стоимостью 200 000 рублей, во - вторых, срок полезного использования- 6 лет, при установленной норме амортизации 16,67 %.

Линейный метод.

Ежегодно по данному объекту будут начисляться амортизационные

Достоинством этого метода является простота расчетов ежегодных(ежемесячных) амортизационных отчислений.

Недостаток - при начислении амортизации не учитываются ни объем произведенной продукции, ни режим эксплуатации объекта, ни напряженность производственной программы.

.Способ уменьшаемого остатка.

Стоимость введенного объекта- 200 000 руб. Срок использования 6 лет, амортизация за год составит 16,67.Коэффициент ускорения =2.С учетом коэффициента ускорения годовая амортизация равняется 33,34 %

Таблица 3 Расчет амортизационных отчислений способ уменьшаемого остатка

Год

Остаточная стоимость на нач.года

Годовая норма амортизации

Сумма амортизац-х отчислений

Остаточная стоимость на конец года

1

200 000

16.67*2=33,34

66680

133320

2

133320

33,34

44448

88872

3

88872

33,34

29630

59242

4

59242

33,34

19 751

39491

5

39491

33,34

13166

26325

6

26325

33,34

8776

17 542

Итого



182451



Накопленная за шесть лет амортизация равна 182451 рублей

Достоинство данного метода - предполагает последовательное уменьшение годовой суммы амортизационных отчислений и достигается более высокая степень амортизации основных средств. При данном способе в первые годы списывается большая часть стоимости объекта основных средств.

Недостаток- при отнесении недоамортизированной части стоимости на затраты производства последнего, шестого года приведет к значительному снижению прибыли.

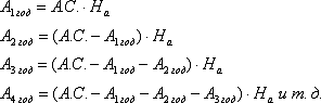
.Способ списания стоимости по сумме чисел лет срока полезного использования.

Стоимость объекта равна 200 тысяч рублей. Срок его использования полезного равен 6 годам. Сумма чисел лет использования составляет 21 ,так как складываются между собой все года полезного использования.

Таблица 4 Расчет амортизационных отчислений способом списания стоимости по сумме чисел лет

Год

Коэффициент полезного действия

Сумма аморт-х отчислений

Самортизируемая часть,%

1

6/21

57 143

28,6

2

5/21

47 619

23,8

3

4/21

38 095

19

4

3/21

28 571

14,3

5

2/21

9,5

6

1/21

9523

4,8

Итого


200 000

100


Как видно из таблицы, годовая сумма амортизационных отчислений из года в год убывает,сумма накопленного износа, наоборот, растет, достигая к концу шестого года первоначальной стоимости.

.Способ списания пропорционально объему продукции.

Выпуск продукции по годам распределяется следующим образом.

год -1700

год -1 650

год - 1600

год - 1260

год -980

год - 800

Всего- 7 990 ед.

Амортизационные отчисления на единицу продукции за весь срок полезного использования оборудования составят 25,03 % (200 000/7 990).

Таблица 5 Расчет амортизационных отчислений способом списания пропорционально объему продукции

Год

Объем выпускаемой продукции

Сумма амортизационных отчислений, руб.

Годовая сумма амортизационных отчислений,руб.

Самортизированная часть,%

1

1700

25,03=200000/7990

42 551

21,3=(42551/200000)*100

2

1650

25,03

41 300

20,7

3

1600

25,03

40 016

20

4

1260

25,03

31 512

15,8

5

980

25,03

24 509

12,2

6

800

25,03

20 024

10

Итого

7 990


200 000

100


Этот способ начисления амортизационных отчислений еще называют производственным. В отличие от раннее рассмотренных, при этом методе не осуществляется равномерное распределение амортизационных отчислений в течении года. Сумма начисленных амортизационных отчислений зависит от конкретного объема выпуска продукции.

Теперь на основе раннее проведенных расчетов сделаем выводы, о целесообразности применения методов мначисления амортизационных отчислений.

При линейном способе амортизационные отчисления распределяются равномерно по годам эксплуатации.

При способе уменьшаемого остатка организация большую часть амортизации начисляет в первые годы эксплуатации водоочистительного оборудования, а затем постепенно снижает начисления. В пользу метода уменьшающегося остатка в отличие от равномерного начисления обычно приводят два аргумента:

.затраты на содержание и ремонт объекта растут по мере увеличения его срока службы (то есть методом уменьшающегося остатка получается более точный конечный финансовый результат);

.многие активы теряют значительную часть своей рыночной стоимости уже в первые годы эксплуатации.

Для способа списания стоимости по сумме чисел лет полезного использования самые большие отчисления приходятся на первые годы эксплуатации объекта основных средств. В последующие годы сумма амортизационных отчислений довольно резко падает.

Очевидно, что при списании стоимости пропорционально объему продукции (работ) увеличение годового выпуска влечет за собой пропорциональное увеличение амортизационных отчислений.

На основе сравнительного анализа методов начисления амортизации приходим к выводу о том, экономически обоснованным будет метод, выбранный в соответствии с определением результата факторов, влияющих на объект амортизации и экономический процесс, в котором он принимает непосредственное участие. Если согласно расчетам предприятия экономически выгодно как можно быстрее списать балансовую стоимость оборудования , обоснован метод списания по сумме чисел лет полезного использования и т.п.

Таким образом, если организация стремится к интенсивному использованию основных средств, то списание их стоимости целесообразно проводить либо по сумме чисел лет полезного использования, что способствует быстрому накоплению средств на обновление и расширение производственной базы, либо пропорционально объему продукции, что позволит избежать перекосов в стоимости продукции из-за неритмичной деятельности организации.

2.2 Оценка влияния амортизационной политики на величину налога на прибыль и налога на имущество

Амортизационная политика является составной частью экономической политики государства, направленная на управление амортизационными отчислениями, которые образуются в процессе эксплуатации основных фондов.

Цель амортизационной политики является создание благоприятных условий всем субъектам хозяйствования для воспроизводства и обновления основных фондов, активизации инвестиционной деятельности и ускорения НТП. [8]

В процессе формирования амортизационной политики предприятия учитываются следующие факторы:

.Объем используемых основных фондов, подлежащих амортизации;

.Метод оценки стоимости используемых основных фондов, подлежащих амортизации;

.Реальный срок предполагаемого использования на предприятии амортизируемого актива;

.Разрешенные законодательством методы начисления амортизационных отчислений;

.Темп инфляции в стране.

Проводимая на предприятии амортизационная политика оказывает влияние не только на уровень физического и морального износа основных производственных фондов, технический уровень и эффективность производства, но и на величину налоговых платежей. В связи с этим предприятию необходимо проводить такую амортизационную политику, которая бы позволяла минимизировать налоговые платежи, увеличивать прибыль и улучшить его финансовое состояние.

На величину амортизационных отчислений оказывают влияние такие факторы, как первоначальная (восстановительная) стоимость основных фондов, срок их полезного использования, методы начисления амортизационных отчислений, применение повышающих и понижающих коэффициентов к основной норме амортизации и др.

Амортизационные отчисления включаются в себестоимость производимой продукции и отражаются на налоговых платежах организации по налогу на имущество и налогу на прибыль, а именно начисленная сумма амортизационных отчислений определяет величину налога на прибыль и налога на имущество предприятия. Причем и налог на имущество предприятия оказывает влияние на размер налога на прибыль.

Таким образом, все эти показатели находятся в тесном единстве и взаимосвязи. Изменение одного из них неизбежно вызывает цепочку последующих колебаний, оказывающих влияние на финансовые результаты деятельности предприятия.

Начисленная сумма амортизационных отчислений оказывает влияние на прибыль предприятия. Чем выше амортизационные отчисления, тем ниже прибыль и наоборот.

Уменьшая прибыль, рост амортизационных отчислений приводит к снижению налога на прибыль. Полученную экономию по налогу на прибыль называют "налоговым щитом".

Налог па имущество организации рассчитывается как произведение ставки (в настоящее время предельный уровень ставки равен 2,2%) и среднегодовой стоимости имущества. При расчете налогооблагаемой базы по этому налогу' (среднегодовой стоимости имущества) основные фонды принимаются к расчету по остаточной стоимости.

Таким образом, начисление амортизации ведет к снижению остаточной стоимости основных фондов н поэтому уменьшает платежи по налогу на имущество.

Следовательно, чем выше сумма амортизационных отчислений, тем выше налоговая защита или налоговый щит предприятия.

Таким образом, для любого предприятия очень важно, чтобы в конечном итоге научно обоснованная амортизационная политика приводила к максимизации величины: чистая прибыль плюс амортизационные отчисления.

Глава 3. Совершенствование амортизационной политики предприятия

Разработка амортизационной политики предприятия должна представлять собой комплексный процесс моделирования, при котором проводится анализ денежных потоков от начисления амортизации различными методами, динамика ввода-выбытия основных фондов, налогообложение и моделируются различные варианты состояния предприятия в зависимости применения тех или иных мер. Оптимальная амортизационная и учетная политика должны определяться на основе комплексного подхода исходя из конкретных экономических условий деятельности конкретного предприятия.

Анализ действующей системы амортизации в ЗАО "Алексеевский молочноконсервный комбинат" указывает на необходимость перехода от амортизации как средства возмещения стоимости капитала к амортизации, стимулирующей обновление основного капитала. Для этого предлагается использовать наиболее распространенные на практике регуляторы для достижения конкретных целей:

Переоценка стоимости основных средств;

Консервация основных средств;

Способы начисления амортизации.

Для формирования эффективной амортизационной политики необходимо выполнение ряда рекомендаций.

В первую очередь, на предприятии имеет место необходимость в повышении качества оценки стоимости основных производственных фондов. Другими словами, основные производственные фонды должны регулярно переоцениваться по рыночной стоимости для целей налогообложения, а также в целях определения величины амортизационных отчислений, формирующих необходимый и достаточный амортизационный фонд для их обновления.

Кроме того, предприятии одной из наиболее важных составляющих процесса управления должен быть контроль, в том числе контроль за внутренними источниками предприятия. Нередко в организациях происходит использование амортизационных средств на выплату заработной платы работникам , погашение задолженности и т.д.

Отсюда следует, что процессу усиления целевого расходования амортизационных средств в ЗАО "Алексеевский молочноконсервный комбинат" способствовало бы введение режимов контроля за внутренними средствами предприятия, из которых финансируется расширенное и техническое перевооружение производства.

Важным направлением совершенствования амортизационной политики является расширение методов начисления амортизационных отчислений. Применение разнообразных методов начисления амортизации позволяет предприятиям регулировать в пределах сроков службы средств труда объем амортизационных сумм, относимых на себестоимость продукции, и тем самым целенаправленно влиять на финансовые результаты производства, хозяйственную устойчивость предприятия.

В ЗАО "Алексеевский молочноконсервный комбинат" наряду с теми методами начисления амортизационных отчислений, которые используются в организации, наиболее используемым должен быть метод начисления амортизации в зависимости от объемов производства. Кроме того, для пассивной части объектов основных средств, то есть для зданий и сооружений, было бы целесообразно применять линейный метод амортизации. Данные рекомендации будут способствовать оптимизации амортизационной политики предприятия, заключающейся в сбалансированном бюджете амортизации.

Следующим направлением совершенствования амортизационной политики в ЗАО "Алексеевский молочноконсервный комбинат " является применение амортизационной премии, которая позволит единовременно списать на расходы от 10 до 30% стоимости капитальных вложений. В отношении дорогостоящих объектов основных средств, применение амортизационной премии позволит предприятию значительно снизить текущие платежи по налогу на прибыль в том году, в котором амортизационная премия была отнесена на расходы.

Таким образом, рассмотрев основные направления и рекомендации совершенствования амортизационной политики предприятия, следует отметить, что предприятию необходимо:

Ввести режим контроля за внутренними средствами предприятия

При расчете суммы амортизационных отчислений в большей степени пользоваться способом списания стоимости пропорционально объема производства

Использовать амортизационные премии

Повысить качество оценки стоимости основных производственных фондов

Заключение

Подводя итоги проделанной работы, отмечая выполнение поставленных в начале задач, обозначим главные выводы.

Амортизация - это процесс постепенного перенесения стоимости основных средств по мере износа на производимую продукцию, превращая ее в денежную форму и накопления финансовых ресурсов в целях последующего воспроизводства основных средств.

Амортизация играет большую роль в обновлении основных производственных фондов, так как способствует перенесению стоимости основных производственных фондов по мере износа на производимую продукцию, превращая ее в денежную форму и накопления финансовых ресурсов в целях последующего воспроизводства основных производственных фондов.

Выбор методов, по которым будет производиться расчет величин амортизационных отчислений, является ответственным шагом на пути к достижению целей по "безболезненному" формированию восстановительных фондов, представляющих собой один из главных внутренних источников финансирования деятельности любого предприятия. Сегодня наиболее распространенными являются следующие методы начисления амортизации.

Линейный метод - заключается в равномерном начислении организацией амортизации в течение всего нормативного срока службы или срока полезного использования объекта основных средств.

Метод уменьшаемого остатка - предполагает, что годовая сумма начисленной амортизации рассчитывается исходя из определяемой на начало отчетного года недоамортизированной стоимости (разности амортизируемой стоимости и суммы начисленной до начала отчетного года амортизации) и нормы амортизации, исчисленной исходя из срока полезного использования объекта и коэффициента ускорения, принятого организацией.

Метод списания стоимости пропорционально объему продукции (работ, услуг) - начисление амортизации исходя из амортизируемой стоимости объекта и отношения натуральных показателей объема продукции (работ, услуг), выпушенной в (текущем) периоде к ресурсу объекта.

Метод списания стоимости по сумме чисел лет срока полезного использования - предполагает определение годовой суммы амортизационных отчислений исходя из амортизируемой стоимости основных средств и отношения, в числителе которого - число лет, остающихся до конца срока полезного использования объекта, а в знаменателе - сумма чисел лет срока его полезного использования. Самые большие отчисления приходятся на первые годы эксплуатации объекта основных средств

Рассмотрев все основные методы начисления амортизационных отчислений, которые используются в практике российских организаций, пришли к выводу о том, что каждый метод имеет свои преимущества и недостатки. В зависимости от правильности оценки факторов, которые определяют деятельность хозяйствующего субъекта, каждый из перечисленных методов может стать как самым оптимальным, так и абсолютно не приемлемым в целях обеспечения эффективной амортизационной политики предприятия.

Список использованной литературы

Налоговый Кодекс Российской Федерации / Интернет-портал http://www.nalkodeks.ru/

Положение по бухгалтерскому учету "Учет Основных средств"

Астахов В. П. / Бухгалтерский (финансовый) учет: Учебное пособие // Издание 5-е, переработанное и дополненное. - Москва: ИКЦ "Март", 2009

Теория бухгалтерского учета. Учебник для вузов / Бабаев Ю. А. // 3-е ИЗД., перераб. и доп. - М.: ЮНИТИ-ДАНА, 2006

И.И Веретенникова -"Амортизация и амортизационная политика"

К. Волошин / Новые правила амортизации // Интернет-портал "Налоговое право. Аналитика", http://www.taxpravo.ru/analitika/

А,А Володин.Управление финансами.Финансы предприятий.Учебник-2011. Н. Ивашковский / Сравнение методов начисления амортизации // "Акинцев и партнеры"-2010

Финансы предприятий. Учебник / Ковалев В. В. // Москва, "Проспект Велби", 2010

Бухгалтерский финансовый учет- Кушнир И.В. >> Амортизация основных средств-2012

Бухгалтерский учет. Учебник для ВУЗов / Сапожникова Н. Г. // Издательство "Кнорус", 2010

Анализ хозяйственной деятельности предприятия. Учеб. / Г. В. Савицкая. - М., 2009.

Сафронова Н.А //Учебник для студентов высших учебных заведений, обучающихся по экономическим специальностям и направлениям.Экономика предприятия-2010

Экономика предприятия / Учеб. / В.М. Семенова. - М.: 2009

Соколов В.Я //Учет амортизации в России

Черва А. Амортизационная политика организации.//Главный Бухгалтер.-2009.- №30.

Чепракова Т.Н., Инанц Э.М. Актуальные вопросы амортизационной политики в современном предприятии

Финансовый менеджмент / Под ред. Е.И. Шохина. - М: ИД ФБК-ПРЕСС, 2010

Шредер Е.Г-Методы начисления амортизации-270с.-2009

Оценка стоимости предприятий (бизнеса) - учебное пособие , гл.5.3(Щербаков В.А., Щербакова Н.А.)-2012

Амортизация основных средств / Аналитический информационный портал "Клерк" // http://www.klerk.ru/

Методы начисления амортизации / Интернет-библиотека // http://www.kfmesi.ru/bibl/

Интернет-энциклопедия "Википедия" / ru.wikipedia.org/://www.faito.ru/pages/infresources/fkglossary/glossary Информационно-обозреваетльный портал. Финансовый словарь://dic.academic.ru/dic.nsf/econ_dict/2914 Экономический словарь.