Функциональные руководители
Рис.3. Матричная структура управления
При выполнении курсовой работы следует учитывать, что матричная организационная форма имеет низкую эффективность при выполнении крупных проектов, т. к. при увеличении масштабов проекта резко возрастает сложность сети коммуникаций, а это ведет к бюрократизации и замедлению процессов принятия управленческих решений.
Использование данной оргструктуры целесообразно в случае, когда доля мелких и средних объектов составляет не менее 50% производственной программы средней и более мощной строительной организации.
Одной из модификаций проектной структуры управления является так называемый бригадный тип оргструктуры. Ее основу составляет бригадная форма организации труда и производства, которая в российском строительстве применялась, в частности, в виде бригадного подряда.
При данной модификации оргструктуры из числа рабочих, специалистов и управленцев формируются бригады, обладающие производственной самостоятельностью, полностью отвечающие за результаты своей деятельности и возглавляемые освобожденным руководителем. Численность бригад обычно составляет 10 - 20 человек. Одним из требований к членам бригад является универсальность знаний и навыков, взаимозаменяемость, расширение функций работников. Взаимодействие по горизонтали бригады осуществляют самостоятельно, а для улучшения координации их деятельности возможно формирование управленческой бригады, которая выполняет штабные функции при руководителе предприятия.
Бригадный тип оргструктуры целесообразно применять при строительстве мелких объектов. Для мелких организаций формирование штаба при руководителе предприятия, как правило, не требуется, в то время как для крупных и сверхкрупных организаций штабная бригада становится необходимой.
Бригадная структура способствует широкому привлечению все большего количества работников к процессу выявления и решения проблем предприятия, принятию управленческих решений, преодоления отчужденности рабочих от управленцев, всех работников - от результатов своего труда.
При выполнении курсовой работы возможна разработка комбинированных оргструктур (совмещающих отдельные элементы описанных выше структур традиционного и программно-целевого типа). Например, для сверхкрупных организаций аппарат управления предприятием может строиться по функциональному признаку, а структура подразделений - на основе бригадного подхода.
Необходимо также учитывать, что структуры управления различаются в зависимости от организационно-правовой формы предприятий. Так, для предприятия, функционирующего в форме акционерного общества открытого типа, следует предусмотреть следующие звенья структуры: общее собрание акционеров, совет директоров и независимого аудитора. Для общества с ограниченной ответственностью этого не требуется.
Схемы основных организационных структур представлены в прил. 1.
При разработке принципов проектирования структур управления важно отойти от представления структуры как застывшего набора органов, соответствующих каждой специализированной функции управления. Организационная структура управления — понятие многостороннее. Оно, прежде всего, включает систему целей и их распределение между различными звеньями, поскольку механизм управления должен быть ориентирован на достижение целей. Сюда же относятся: состав подразделений, которые находятся в определенных связях и отношениях между собой; распределение задач и функций по всем звеньям; распределение ответственности, полномочий и прав внутри организации, отражающее соотношение централизации и децентрализации. Важными элементами структуры управления являются коммуникации, потоки информации и документооборот в организации. Наконец, организационная структура — это поведенческая система, это люди и их группы, постоянно вступающие в различные взаимоотношения для решения общих задач.
Такая многосторонность организационного механизма несовместима с использованием каких-либо однозначных методов — либо формальных, либо неформальных. Именно поэтому необходимо исходить из сочетания научных методов и принципов формирования структур (системного подхода, программно-целевого управления, организационного моделирования) с большой экспертно-аналитической работой, изучением отечественного и зарубежного опыта, тесным взаимодействием разработчиков и тех, кто практически будет внедрять и использовать проектируемый организационный механизм. В основу всей методологии проектирования структур должно быть положено четкое формулирование целей организации. Сначала — цели, а затем — механизм их достижения. При этом организация рассматривается как многоцелевая система, поскольку ориентация на одну цель не отражает ее многообразную роль в развитии экономики.
Определяют следующий подход (последовательность действий) при проектировании структуры управления:
- осуществить деление организации по горизонтам на блоки, соответствующие направленности деятельности по реализации стратегии. Определить, какие виды деятельности линейные, какие штабные;
- установить соотношение полномочий должностей. Определить уровни иерархии;
- определить должностные обязанности.
Кроме того, при проектировании организационной структуры имеет место определение следующих вопросов:
- формализация управления, то есть насколько необходимо формальное взаимодействие.
- уровень принятия решений: где, кто, когда.
- системность организационной структуры
Основные принципы хорошей организации:
- единство управления – независимо от структуры ответственность несёт за всё один человек;
- скалярный метод передачи полномочий. Полная ответственность предполагает право не только управлять, но и делегировать полномочия;
- единство подчинения – у каждого только один начальник;
- принцип соответствия: делегированные полномочия соответствующей условно ответственности;
- лимитированное число подчинённых; эффективность и надёжность коммуникативных связей;
- принцип ориентированности – организации строятся на основе задач и не зависят от субъективных факторов;
- избирательность – руководитель получает информацию, относящуюся к исключительному типу, то есть выходящую за рамки плана и требующую корректирования действий;
- дифференциация труда: линейный, штабной принцип; квалифицированный и мало квалифицированный труд;
- сегментация и специализация – разбивка структуры на простые и специализированные составляющие (специалист по налогам, специалист по учёту движения материальных средств и т. д.);
- контроль за операциями – должен быть орган, следящий за ходом дел и выполнением распоряжений;
- планирование предшествует делу;
- гибкость – структура отвечает ситуации;
- доступность уровней управления – сотрудник имеет возможность обратиться к любому руководителю по вопросам работы.
Особое значение имеет характер влияния внешней среды на построение организации и всю систему связей элементов структуры с элементами внешних воздействий. Системность самого подхода к формированию структуры проявляется в следующем: а) не упускать из виду ни одну из управленческих задач, без решения которых реализация целей окажется неполной; б) выявить и взаимоувязать применительно к этим задачам всю систему функций, прав и ответственности по вертикали управления — от генерального директора предприятия до мастера участка; в) исследовать и организационно оформить все связи и отношения по горизонтали управления, т.е. по координации деятельности разных звеньев и органов в связи с выполнением общих текущих задач и реализацией перспективных межфункциональных программ; г) обеспечить органическое сочетание вертикали и горизонтали управления, имея в виду нахождение оптимального для данных условий соотношения централизации и децентрализации в управлении.
Все это требует тщательно разработанной поэтапной процедуры проектирования структур, детального анализа и определения системы целей, продуманного выделения организационных подразделений и форм их координации.
Применявшиеся до последнего времени методы построения организационных структур управления характеризовались чрезмерно нормативным характером, недостаточным разнообразием, гипертрофированным использованием типовых решений, что приводило к механическому переносу применявшихся в прошлом организационных форм в новые условия. Нередко аппарат управления на самых разных уровнях повторял одни и те же схемы, наборы функций и состав подразделений, отличающихся только по численности. С научной точки зрения слишком узкую трактовку получали сами исходные факторы формирования структур: численность персонала вместо целей организации; постоянный набор органов вместо изменения их состава и комбинации в разных условиях; упор на исполнение неизменных функций в отрыве от менявшихся задач; устаревшие схемы и штаты как усредненные показатели существующих организаций без анализа их недостатков и пригодности.
Одним из главных недостатков применявшихся методик являлась их функциональная ориентация, строгая регламентация процессов управления, а не их результатов. Однако в условиях рыночных отношений состав и содержание функций управления становятся неустойчивыми. Поэтому цели и взаимосвязи различных звеньев системы управления приобретают зачастую более важное значение, чем строгое установление их функциональной специализации.
Системный подход, придавая важное значение научно обоснованному определению функций управления и нормативов численности как части общего процесса формирования организационно-управленческой структуры, ориентирует исследователей и разработчиков на более общие принципы проектирования организаций. Прежде всего, он предполагает исходное определение системы целей организации, которые обусловливают структуру задач и содержание функций аппарата управления.
Многообразие целей как на высшем, так и на среднем и низших уровнях организации обычно не может быть сведено к одному измерителю. Основное назначение большинства производственных организаций с точки зрения общества определяется целями удовлетворения рыночной потребности в производимой продукции и услугах, в любом случае каждая цель отражает одну из объективно необходимых сторон функционирования и развития организационной системы. Вместе с тем соответствие между системой целей и организационной структурой управления не может быть однозначным.
Приводятся основные определения, относящиеся к организационной структуре управления. Называются параметры, от которых зависит состав структуры управления.
Основными определениями являются: звено и ступень управления, оргструктура управления, нормы управляемости, виды управления (линейное и функциональное).
Состав структуры управления зависит от следующих параметров: организационно-правовой формы предприятия, его масштабов и специализации, объема выполняемых строительно-монтажных работ, рассредоточенности объектов и их величины, наличия собственных вспомогательных и иных производств и дополнительных видов деятельности, состояния экономики в целом и данного предприятия и ряда других.
Студент самостоятельно составляет «легенду» своего предприятия.
Осуществляется на основе анализа исходных данных, материалов разд. 2 пособия, а также рекомендуемой литературы.
Главной задачей, решаемой студентом при написании данного раздела проекта, является ответ на вопрос: почему выбран данный тип структуры?
В начале, определяется общая численность работников Ч, чел.:

где 0С с- объем строительно-монтажных работ, выполняемых организацией собственными силами, тыс.руб./год (прил. 2);
В - производительность (выработка) одного работника, тыс. руб. -чел. /год.
Выработка работников зависит от специализации строительной организации (прил. 2, п.З) и принимается для расчетов в следующих размерах: для организаций, осуществляющих железнодорожное строительство, - 3 млн. руб. на одного человека в год; для организаций, выполняющих общестроительные работы, - 2,5 млн. руб. - чел./год; для отделочных организаций – 1,5 млн. руб. -чел. /год.
Затем определяется численность отдельных категорий работников (инженерно-технического (ИТР) и рабочего персонала (РП). Численность категорий работников Читр и Чрп определяется на основе их соотношений. Для строительных организаций соотношение ИТР и РП принимается равным1:7, для проектно-строительных - 1:4. для проектно-производственно-строительных - 1:6. Тип организации принимается по прил. 2 (п. 3).
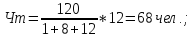
В общей численности ИТР выделяется количество руководящих Чр, инженерных Чин и технических Чт работников. Для всех типов организаций это соотношение можно принять ориентировочно следующим:
Чр: Чп : Чт = 1 : 8 : 12. В дальнейших расчетах и при осуществлении взаимоувязки звеньев в единую структуру управления численность категорий ИТР может корректироваться, но не более чем на 50%.
Например, если проектно-строительная организация, ведущая железнодорожное строительство, выполняет объем работ 1,8 млрд. рублей в год, то общая численность работников составит:

Численность инженерно-технического и рабочего персонала составит:


В составе ИТР выделяется численность отдельных групп работников:



К руководящим работникам относятся генеральный директор организации, его заместители по материально-техническому снабжению, экономике, механизации, кадровым и социальным вопросам, главный инженер и главный бухгалтер, а также руководители, занимающие аналогичные должности самостоятельных подразделений (строительных управлений) предприятия.
Необходимо учитывать, что главный бухгалтер может относиться и к инженерному составу, если он является руководителем функционального отдела.
Начальники отделов, инженеры отделов, бухгалтеры, начальники участков, прорабы, мастера, механики, начальники отдельных производств (автобазы, цеха или полигона по производству строительных материалов, УПТК, проектно-дизайнерского бюро) относятся к инженерному составу.
Техники (которые могут занимать должности мастеров, бухгалтеров и механиков), нормировщики, кладовщики, секретари, делопроизводители, курьеры, геодезисты относятся к техническому персоналу.
Следующим этапом проектирования оргструктуры является распределение ИТР и рабочего персонала по звеньям управления (отделам, прорабским участкам, бригадам и т.п.). Здесь следует учитывать нормы управляемости, соотношения объемов различных видов управленческой деятельности (прил. 3), соотношения численности аппарата управления и линейного инженерно-технического персонала, линейных ИТР и рабочих (бригад), масштаб (мощность) организации и объектов и их территориальную рассредоточенность.
При численности предприятия более 500 человек целесообразно рассмотреть возможность организации самостоятельных подразделений. Их общую численность можно принять в 100-300 чел. Самостоятельные подразделения могут создаваться при значительной территориальной разобщенности объектов (прил. 2. п.5), а также для выполнения проектных работ и производства строительных материалов (для организаций проектно-строительного и проектно-производственно-строительного профиля). Если самостоятельные подразделения создаются в виде юридического лица, то необходимо предусматривать в их структуре не менее двух руководящих работников (директора и главного бухгалтера), которые входят в число руководителей предприятия.
Численность инженерно-технического и рабочего персонала подразделений определяется пропорционально выполняемому ими собственными силами объему работ в объеме СМР всего предприятия в целом.
Если доля работ, выполняемых предприятием собственными силами, меньше 50% общего объема работ, то в аппарате управления можно предусмотреть специальную группу координации деятельности субподрядчиков. В эту группу можно выделить по одному специалисту из каждого функционального отдела.
Норма управляемости - это соотношение (по численности) между руководителями (менеджерами) и непосредственно подчиненными им исполнителями.
Для инженерно-технического персонала это соотношение считается оптимальным от 1:4 до 1:7. При этом для творческих и наиболее ответственных строительных работ (для данной курсовой работы - проектных и железнодорожного строительства) желательно придерживаться меньшей нормы управляемости (1:4 - 1:5).
Для взаимоотношений линейного инженерного персонала и рабочих можно использовать следующие соотношения: в подчинении у одного старшего прораба (начальника участка) находятся 1-2 прораба и 3-4 мастера, у прораба - 3-4 мастера, у мастера - 4-5 бригады. Можно также использовать норму загрузки мастера, в соответствии с которой у него в подчинении должны находиться 25 - 30 рабочих. Бригады формируются по 6 - 15 человек в каждой, включая бригадира. Так же существуют укрупненные бригады составом до 30 чел. под руководством выделенного бригадира из состава техников.
Возможно формирование хозрасчетных участков. В этом случае их годовой объем работ должен составлять примерно 100 – 170 млн. руб./год. В состав участка включается бухгалтер; есть возможность перераспределения численности ИТР в сторону увеличения количества линейных работников.
При строительстве мелких объектов одна бригада и один мастер могут одновременно работать на двух объектах, один прораб - на трех - четырех. При этом под мелким понимается объект, на котором объем работ, выполняемых собственными силами организации, составляет 10 - 30 млн. руб. Аналогичный объем работ для крупного объекта составляет 150 - 200 млн. рублей. На основе этих нормативов при использовании данных прил. 2, пп. 1 и 4 студентами самостоятельно определяется количество объектов строительства и производится распределение по ним прорабских участков и бригад.