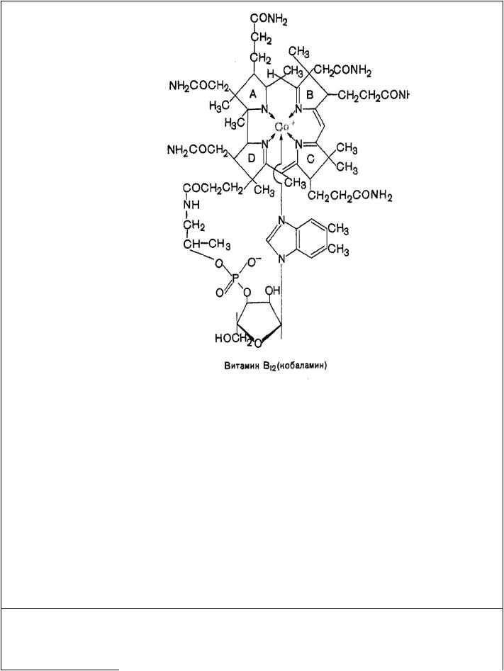
Хим.формула
Участие в обмене |
Основное значение В12 — в антианемическом действии. |
|||||||
веществ |
Оказывает существенное влияние на процессы обмена веществ |
|||||||
|
— белков, синтез аминокислот, нуклииновых кислот, пуринов. |
|||||||
|
Стимулирует рос у детей. В процессах синтеза и переноса |
|||||||
|
одноуглеродистых фрагментов наблюдается связь (механизм |
|||||||
|
которой ещё не выяснен) между фолиевыми кислотами и |
|||||||
|
группой кобаламина. Предполагают, что витамин В12 учавствует |
|||||||
|
также в ферментной системе. Невозможность использования в |
|||||||
|
организме В 12 возникает в результате атрофии железистых |
|||||||
|
клеток дна желудка, продуцирующих гастромукопротеин, |
|||||||
|
который является обязательным компанентом, обеспечивающим |
|||||||
|
усвоение |
этого |
витамина |
организмом. |
Способствует |
|||
|
производству |
эритроцитов, |
участвует |
в |
нормальном |
|||
|
функционировании нервной системы. Играет важную роль в |
|||||||
|
работе иммунной системы. |
|
|
|
|
|||
Клиническая |
Результат дефицита в рационе |
|
|
|
|
|||
картина гипо- |
Малокровие-сокращение |
количества |
|
эритроцитов, |
||||
гипер- |
лейкоцитов |
и |
|
тромбоцитов, |
что |
может |
вызывать |
|
авитаминозов |
злокачественную |
анемию. Нарушения в |
нервной |
системе — |
||||
|
|
|
|
6 |
|
|
|
|
|
возбудимость, головные боли, потеря памяти, ослабленные |
||||
|
рефлексы, головокружение, утомляемость, слабость, запоры, |
||||
|
усталость и плохой аппетит. |
|
|
|
|
|
Признаки дефицита витамина В12 (кобаламина) |
|
|||
|
Больной, красноватый язык. Несварение. Спастические, |
||||
|
судорожные подергивания конечностей. Потеря памяти. |
||||
|
Депрессия или раздражительность. Заикание. Бледность лица. |
||||
|
Головокружение. Боли в спине. Потеря аппетита. Онемение |
||||
|
кистей или ступней. Смятение или дезориентация. Апатия, |
||||
|
безразличие к жизни. Паранойя или галлюцинации. Лимонно- |
||||
|
желтый оттенок кожи. Неясное зрение. Нерегулярные |
||||
|
менструации. |
|
|
|
|
Пищевые |
Печень, говядина, курица, скумбрия, сардины, атлантическая |
||||
источники |
сельдь, моллюски, яйца, нежирный творог, молоко, сыр. |
||||
|
Синтезируется нормальной микрофлорой кишечника из |
||||
|
кобальта, поступающего с пищей. |
|
|
||
Суточная |
2 мкг |
|
|
|
|
потребность |
|
|
|
|
|
Фарм.препараты,п |
ВитаминВ12 (цианкобаламин) — порошок тёмно-красного |
||||
оказания |
цвета. Выпускают в ампулах по 1 мл раствора, содержащего 50 |
||||
|
мкг, 100 мкг, 200 мкг и 500 мкг препарата (раствор имеет |
||||
|
розовый или ярко-красный цвет); вводят впрыскиванием. В |
||||
|
небольших количествах витамин B12 содержится в лечебных |
||||
|
препаратах —камполоне (концентрированный водный экстракт |
||||
|
печени крупного |
рогатого |
скота |
или китов) и антианемине |
|
|
(экстракт из печени крупного рогатого скота с добавлением |
||||
|
сульфата кобальта).; Показания: |
|
|
||
|
Анемии вследствие B12-дефицитных состояний; в составе |
||||
|
комплексной |
терапии |
при |
железодефицитной |
и |
|
постгеморрагической анемии; апластическая анемия, вызванная |
||||
|
токсическими веществами и лекарственными препаратами; |
||||
|
заболевания печени (гепатиты, циррозы); фуникулярный миелоз; |
||||
|
полиневриты; радикулиты; невралгии; боковой амиотрофический |
||||
|
склероз; детский церебральный паралич; болезнь Дауна; травмы |
||||
|
периферических нервов; кожные заболевания (псориаз, |
||||
|
фотодерматозы, герпетиформный дерматит, нейродермиты); для |
||||
|
профилактики и лечения симптомов дефицита витамина B12 (в |
||||
|
т.ч. при применении бигуанидов, ПАСК, витамина C в высоких |
||||
|
дозах); лучевая болезнь. |
|
|
|
|
|
ВИТАМИН В6 |
|
|
|
|
характеристики |
|
|
|
|
|
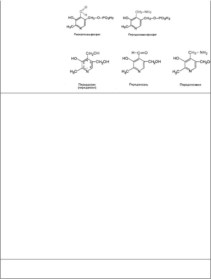
Название |
ПИРИДОКСИН, |
|
|
|
|
|
|
7 |
|
|
|
Хим.формула
Участие в обмене |
Два производных пиридоксила — пиридоксаль и |
веществ |
пиридоксамин — играют важную роль в обмене аминокислот. |
|
Фосфорилированный пиридоксаль участвует в реакции |
|
переаминирования — переносе аминогруппы с аминокислоты на |
|
кетокислоту. Другими словами, система фосфопиридоксаль- |
|
фосфопиродоксамин выполняет коферментную функцию в |
|
процессе переаминирования. Кроме того, было показано, что |
|
фосфопиридоксаль является коферментом декарбоксилаз |
|
некоторых аминокислот. Таким образом, две реакции азотистого |
|
обмена: переаминирование и декарбоксилирование аминокислот |
|
осуществляются при помощи одной и той же коферментной |
|
группы, образующейся в организме из витамина В6. Далее |
|
установлено, что фосфопиридоксаль играет коферментную роль |
|
превращения триптофана, которое, по-видимому, и ведёт к |
|
биосинтезу никотиновой кислоты, а также в превращениях ряда |
|
серусодержащих и оксиаминокислот. |
Клиническая |
Может приводить к нервозности, возбудимости, бессоннице, |
картина гипо- |
кожным высыпаниям, потере мышечного контроля. Признаки |
гипер- |
дефицита витамина В6 (пиридоксин) |
авитаминозов |
Раздражительность или нервозность. Невозможность |
|
вспомнить сны. Отек конечностей (эдема). Жирная, чешуйчатая |
|
кожа вокруг носа, глаз. Подергивание мышц. Слабость мускулов |
|
больших пальцев. Тошнота во время беременности. Cмятение. |
|
Головокружение. Невозможно сжать, распрямить кулаки. |
|
Зеленовато-желтый цвет мочи. Гиперактивность. Плохая |
|
координация при ходьбе. |
Пищевые |
Пивные дрожжи, курица, свинина, рыба, печень, почки, яйца, |
источники |
творог, картофель, соя, горох, бананы, орехи, коричневый рис, |
|
гречневой крупе, мускусная дыня, капуста.. |
|
8 |
Суточная |
1.6-2 |
|
|
|
|
потребность |
|
|
|
|
|
Фарм.препараты,п |
Витамин B6 (пиридоксин). Для лечебных целей получают |
||||
оказания |
синтетически пиридоксина гидрохлорид. Принимают препарат |
||||
|
внутрь, а также вводят подкожно и внутримышечно. Выпускают |
||||
|
в порошках, таблетках, содержащих по 0,002 г, 0,005 г и 0,01 г |
||||
|
препарата, и в ампулах по 1 мл 1%-, 2,5% и 5%-ных растворов.; |
||||
|
Алиментарная и вторичная недостаточность пиридоксина. |
||||
|
Токсикозы |
и |
рвота |
беременных. |
Постэнцефалитный |
|
паркинсонизм и другие его виды. Хорея. Миастения и |
||||
|
прогрессирующая мышечная дистрофия. Судорожный синдром у |
||||
|
новорожденных. |
|
|
|
|
|
Пеллагра (принимают в сочетании с никотиновой кислотой). |
||||
|
Язвенная болезнь желудка и двенадцатиперстной кишки. |
||||
|
Гипохромная микроцитарная анемия. Коронарный атеросклероз. |
||||
|
Заболевания периферической нервной системы (невриты и |
||||
|
радикулиты). Профилактика и лечение лучевой болезни. Острый |
||||
|
и хронический гепатит. |
|
|
||
характеристики |
ВИТАМИН Е |
|
|
|
|
Название |
ТОКОФЕРОЛ, (витамин Е, витамин размножения). |
||||
Хим.формула |
|
|
|
|
|
Участие в обмене |
Токоферолы участвуют в процессе тканевого дыхания; они |
|||
веществ |
являются эффективными антиокислителями, предохраняющими |
|||
|
организм от образования избыточного количества свободных |
|||
|
окислительных радикалов; тесно связан с состоянием и функцией |
|||
|
биологических мембран, а также препятствует разрушению |
|||
|
эритроцитов. Поскольку половые железы очень чувствительны к |
|||
|
их действию, характерным следствием Е-авитаминоза является |
|||
|
нарушение функции размножения. Витамин Е необходим для |
|||
|
поддержания нормальных процессов обм. веществ в скелетных |
|||
|
мышцах, мышце сердца, а также в печени и нервной системы. |
|||
Клиническая |
Дефицит токоферола в питании может возникнуть при |
|||
картина гипо- |
длительном отсутствии в пищевом рационе растительных масел. |
|||
гипер- |
Для Е-гиповитаминоза характерна мышечная слабость, |
|||
авитаминозов |
нарушение пол. функции, периферического кровообращения, |
|||
|
разрушение эритроцитов. Результат дефицита в в в в рационе: |
|||
|
Утомляемость, летаргия, анемия, преждевременное старение, |
|||
|
неспособность |
сосредоточиться, |
мышечная |
дистрофия, |
|
|
9 |
|
|
|
выкидыши, бесплодие. |
|
|
|
|
Пищевые |
|
|
|
|
|
источники |
|
|
|
|
|
Суточная |
5.0 мг.Суточная потребность в токофероле для взрослых |
||||
потребность |
людей составляет 12-15мг. Она пов. при тяжёлой физической |
||||
|
работе, в условиях недостатка кислорода, у спортсменов. |
||||
Фарм.препараты,п |
Витамин Е (токоферол) вводят внутрь и внутримышечно в |
||||
оказания |
масляных растворах, драже и капсулах (по 0,025 г, 0,05 г, 0,1 г, |
||||
|
0,2 г препарата). Для инъекций выпускается токоферол-ацетат в |
||||
|
ампулах (1 мл 5-, 10-, 20%-ных растворов). Препарат аевит |
||||
|
содержит масляный раствор ретинола-ацетата (витамин А) и |
||||
|
токоферола-ацетата.показания: гиповитаминоз,; гиповитаминоз |
||||
|
Е; |
|
|
|
|
|
состояние |
реконвалесценции |
после |
заболеваний, |
|
|
протекающих с лихорадочным синдромом; |
|
|||
|
мышечная дистрофия, гипотрофия (в т.ч. новорожденных), |
||||
|
посттравматическая и постинфекционная вторичная миопатия, |
||||
|
дерматомиозит, миастения, амиотрофический боковой склероз, |
||||
|
парезы; при высоких физических нагрузках; |
|
|||
|
дегенеративные |
изменения |
связочного |
аппарата, |
|
|
позвоночника, суставов; |
|
|
|
|
|
атеросклероз, гипертоническая болезнь, сердечно-сосудистая |
||||
|
недостаточность, |
стенокардия, миокардиодистрофия (для |
|||
повышения способности сердца к преодолению нагрузок); заболевания печени; дерматозы, трофические язвы, псориаз;
астенический и неврастенический синдром, неврастения при переутомлении;
красная волчанка, склеродермия, ревматоидный артрит; нарушения функции половых желез у мужчин и женщин; дисменорея (нарушения менструального цикла); период беременности, угроза прерывания беременности; климакс, климактерические нарушения;
вгерантологии: пожилой возраст, поддержание здоровья у пожилых людей;
вкомплексном лечении при многих заболеваниях (как антиоксидант).
ВИТАМИН Вс
характеристики
Название Витамин B9 (фолиевая кислота, витамин BС) N-{4'-[(2-амино-4-окси-6-птеридил)-метил]-аминобензоил}-
10