
Тогда её нормаль
.
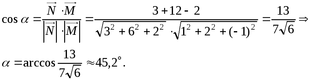
Находим косинус угла между векторами
и
:

Замечание. Угол
по определению всегда острый.
Поэтому, если косинус окажется меньше
нуля, то его значение надо взять по
модулю!
Ответ: 1)
ед.;
2)
:
;
кв.
ед.;
3)
куб.
ед.;
4)
–
уравнение высоты; длина высоты
ед.;
5)
6)![]()
Задание №8.
Определить, какая линия на плоскости задается уравнением. Сделать чертеж.
1)
;
2)
;
3)
.
Решение.
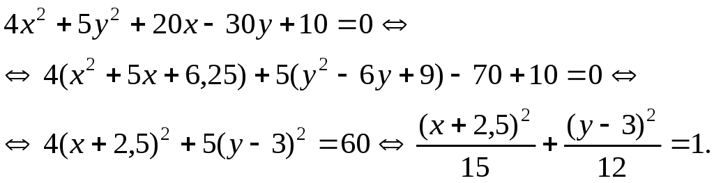
1) Преобразуем данное уравнение, выделив полные квадраты:

Получим уравнение эллипса с центром
в точке с координатами
и полуосями
(рис.1).

2) Данное уравнение
задает в полярной системе координат
кривую – кардиоиду.
Меняя
от
до
,
вычислим значения полярного радиуса
:
|
|
|
|
|
|
|
|
|
|
|
|
|
|
|
|
|
|
|
|
|
|
При изменении
от
до 2
значения
будут меняться от
до
в обратном порядке.
Построим кривую по точкам. Направим
полярную ось
вдоль оси
и поместим полюс в начало координат
(рис.2).
3) В данном случае кривая задана
параметрически:
.
Кривая называется астроидой. Её
можно построить по точкам, изменяя
параметр
от
до 2
(рис.3). Составим таблицу значений
и
для
от
до
/2
(в остальных четвертях значения будут
повторяться с учетом знака):
|
|
|
|
|
|
|
|
|
|
|
|
|
|
|
|
|
|
|
|
|
Задание №9.
Найти собственные числа и собственные
векторы матрицы
из задания №1.
Собственными называются число
и ненулевой вектор
,
удовлетворяющие уравнению:
,
где
–
матрица.
Собственные числа находятся из
характеристического уравнения:
,
где
–
единичная матрица.
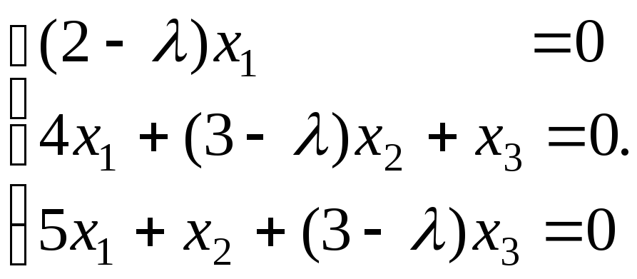
Для нахождения собственного вектора
,
соответствующего собственному числу
,
надо решить однородную систему уравнений:
.
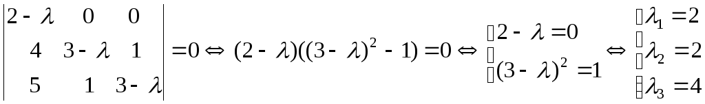
Составляем и решаем характеристическое
уравнение для матрицы
:
.
Найдем собственные векторы
из системы уравнений:

Подставляя
,
получим

Система имеет бесчисленное множество
решений. Положим
,
тогда
– собственный вектор, соответствующий
собственному числу
.
Аналогично, для
имеем

Положим
,
тогда
– собственный вектор, соответствующий
собственному числу
.
Ответ:
Замечания.
Если вектор
является собственным вектором,
соответствующим собственному числу
,
то для любого числа
вектор
–
тоже собственный вектор, соответствующий
.
Одному собственному числу может соответствовать несколько линейно независимых собственных векторов.
Собственному числу, кратности больше единицы, может соответствовать несколько линейно независимых собственных векторов (например, для симметрических матриц).