Пример решения типового расчета № 1
«Линейная алгебра и аналитическая геометрия»
Задание №1.
Даны матрицы
и
.
Найти:
матрицы
и
;
определители матриц
и
;
обратную матрицу
(сделать проверку).
;
;
![]()
Решение.
1) Транспонируем матрицу
,
заменив строки столбцами.
Получим
.
Тогда матрица
равна:
![]()
![]()

.
Теперь найдем матрицу
:
![]()
.
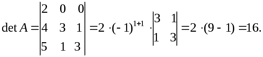
2) Будем вычислять определители матриц различными способами.
Найдем определитель матрицы
,
разложив его по элементам первой строки:

Вычислим определитель матрицы
,
используя свойства определителей
(римскими цифрами обозначены номера
строк):
Вычислим определитель матрицы
по правилу треугольников:

3) Матрица
–
неособенная (
),
следовательно, она имеет обратную.
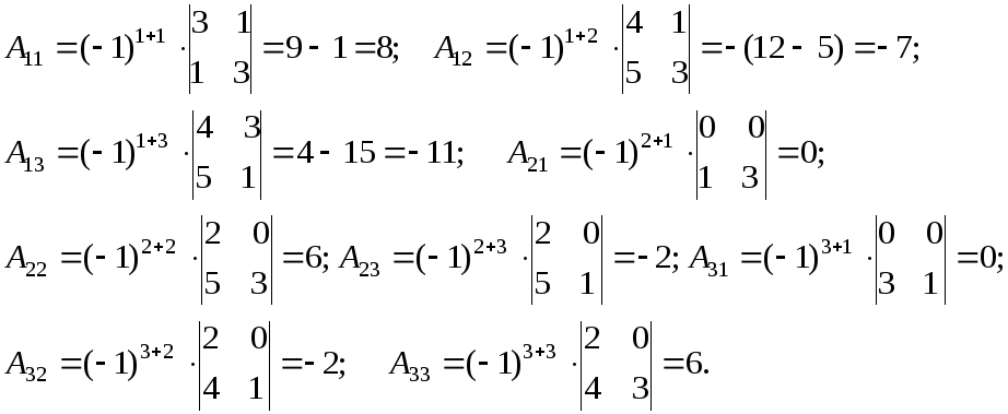
Найдем алгебраические дополнения
элементов матрицы
:

Составим из алгебраических дополнений
присоединенную матрицу и разделим ее
элементы на определитель матрицы
.
Тогда обратная матрица
окажется равной:

Сделаем проверку:

Самостоятельно проверить, что
!
Ответ: 1)
![]()
;
![]()
;
2)![]()
3)
Задание №2.
![]()
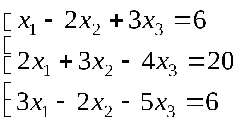
Решить систему линейных уравнений

1) методом Крамера; 2) матричным методом; 3) методом Гаусса.
Решение.
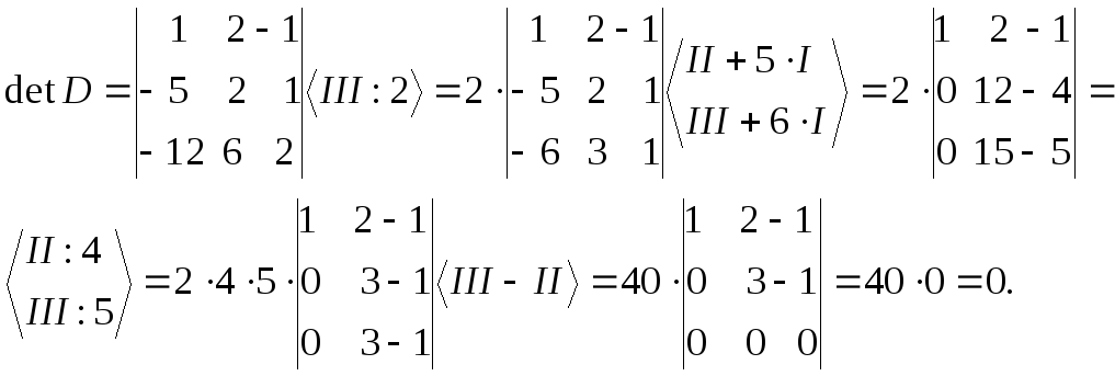
1) Выпишем матрицу системы и найдем ее определитель (например, по правилу треугольников):

Теперь найдем вспомогательные определители
,
заменяя в исходной матрице
![]()
-ый
столбец на столбец свободных членов
(
=
1,2,3).
Получим:

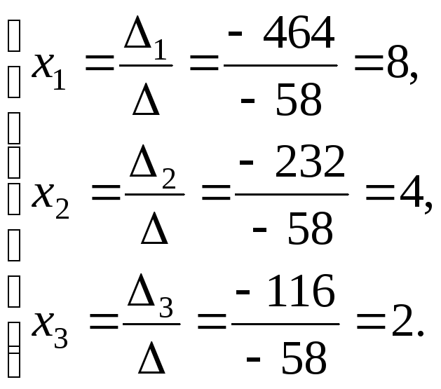
Применяя формулы Крамера, найдем решение системы:
т.е.
.
Сделаем проверку (самостоятельно!) и убедимся, что найденные значения неизвестных действительно являются решением исходной системы.
2) Матричный метод решения системы основывается на формуле:
,
где
–
столбец неизвестных,
–
обратная матрица системы,
–
столбец свободных членов.
Матрица
–
неособенная (
),
следовательно, она имеет обратную.
Найдем
(см.
задание 1).
.
Проверьте самостоятельно, что обратная матрица найдена верно!
Тогда
![]()
.
Следовательно,
.
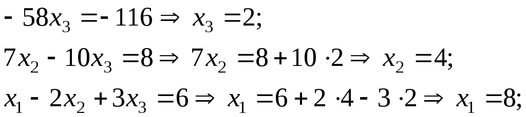
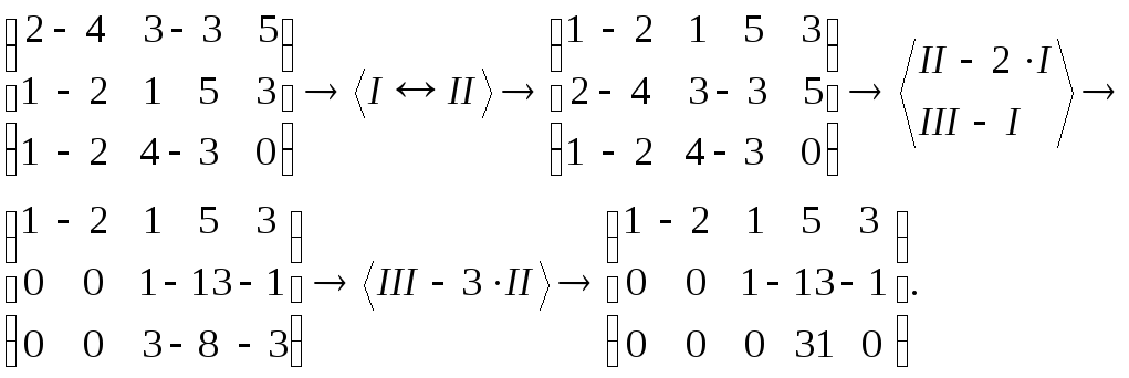
3) Метод Гаусса состоит в последовательном исключении неизвестных.
Составим расширенную матрицу, приписав справа к матрице системы столбец свободных членов. Преобразуем полученную матрицу с помощью элементарных преобразований и приведем её к трапециевидной форме («прямой ход Гаусса»). Заметим, что при решении систем, преобразуют только строки матрицы!

Получим систему, равносильную исходной:
Прочитав её снизу вверх («обратный ход Гаусса»), получим:


Ответ:
.
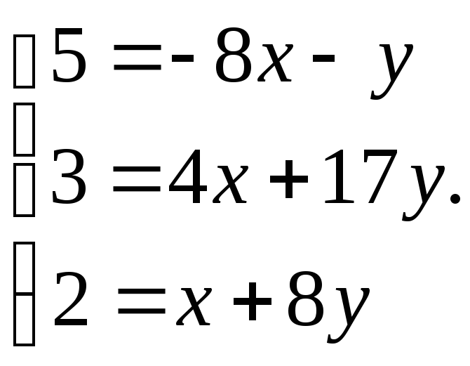
Задание №3.
Найти ранг матрицы
.
Решение.
Приведем данную матрицу с помощью элементарных преобразований к трапециевидной форме. Заметим, что, вычисляя ранг матрицы, можно преобразовывать как строки, так и столбцы!

Из второго, третьего и четвертого
столбца полученной матрицы можно
составить определитель (минор), отличный
от нуля (он выделен пунктиром). Это
наибольший по размеру ненулевой минор
(базисный минор), следовательно, его
размерность и равна рангу матрицы, т.е.
Ответ:
![]()
Задание №4.
Исследовать систему с помощью теоремы Кронекера–Капелли и найти (в случае совместности) ее решения.

Решение.
Выпишем расширенную матрицу системы и преобразуем её с помощью элементарных преобразований к трапециевидной форме.



Наибольший порядок ненулевого минора,
как матрицы системы, так и расширенной
матрицы системы равен 2:
Следовательно, согласно теореме
Кронекера-Капелли, система совместна,
т.е. имеет решения. Поскольку число
неизвестных (
)
больше ранга матрицы, то система является
неопределенной, т.е. имеет бесконечное
множество решений.
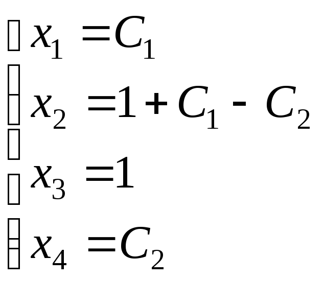
Найдем общее решение системы. Базисные
неизвестные – это
,
коэффициенты при которых входят в
ненулевой (базисный) минор. Остальные
неизвестные – параметрические или
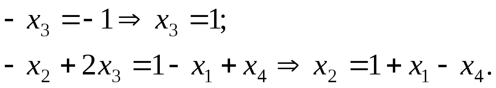
свободные. Решим систему относительно
базисных неизвестных (читаем снизу
вверх).
![]()
Итак, придавая свободным неизвестным произвольные значения, получим бесконечно много частных решений системы.
Общее решение можно записать в виде:
,
где
–
любые числа.
Подставив полученные выражения для неизвестных в исходную систему, убеждаемся в том, что решение найдено верно (сделать проверку самостоятельно!).
Ответ:
,
где
–
любые числа.
Задание №5.
Доказать, что векторы
линейно зависимы и найти эту зависимость:
Решение.
Три вектора линейно зависимы тогда и только тогда, когда их смешанное произведение равно нулю. Имеем:

Значит, векторы линейно зависимы. Найдем эту зависимость.
Выразим один из векторов, например
,
через остальные. Другими словами, найдем
коэффициенты
и
в разложении:
![]()
Распишем последнее равенство по координатам, получим систему:

Решим систему методом Гаусса:

Итак,
![]()
Ответ:
![]()
Задание №6.