Дан
![]()
Найти:
1) длину и уравнение стороны
;
2) длину и уравнение медианы
;
3) длину и уравнение высоты
;
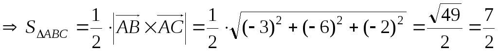
4) площадь
;
5) угол
.
Решение.
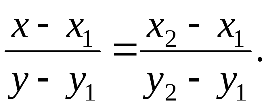
1) Используем уравнение прямой на плоскости через две точки:
![]()
Подставляя координаты точек
,
получим:
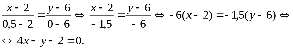
![]()
–
уравнение стороны
.
Длина стороны
равна длине вектора
.
ед.
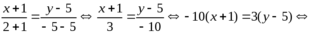
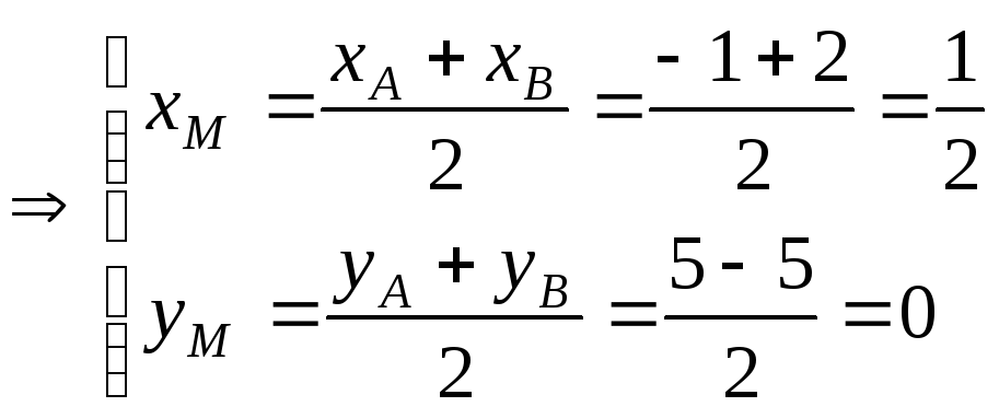
2) Точка
–
середина отрезка
.
Итак,
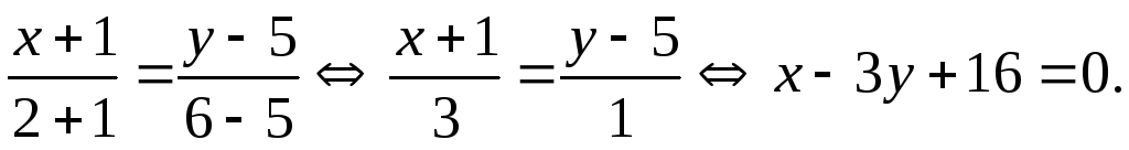
Уравнение медианы
будет
иметь вид:

Длина медианы
равна длине вектора
![]()
ед.
3) Для высоты
используем уравнение прямой на плоскости
через точку и нормаль:
,
где нормаль
–
вектор перпендикулярный прямой, а точка
принадлежит данной прямой.
Имеем
![]()
– уравнение высоты
.
Длина высоты
–
расстояние от точки
до прямой
.
Уравнение прямой
имеет
вид:
![]()
Используем формулу расстояния от точки
до прямой
:
![]()
Получим:
ед.
4) Площадь
можно найти по формуле:
,
где
–
координаты вершин треугольника.
Имеем:
кв. ед.
Замечание. Вычисленное значение площади
можно проверить по формуле:
(верно!).
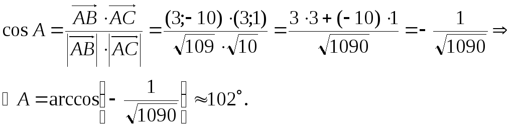
5) Угол
находим как угол между векторами
и
.

Ответ: 1) Сторона
ед.;
2) медиана
ед.;
3) высота
ед.;
4)
кв. ед.; 5)![]()
Задание №7.
Дана пирамида
![]()
Найти:
1) длину и уравнение ребра
;
2) площадь и уравнение грани
;
3) объем пирамиды;
4) длину и уравнение высоты, опущенной
из вершины
на плоскость
;
5) угол между ребром
и гранью
.
6) угол между гранями
и
![]()
Решение.
1) Используем уравнение прямой в пространстве через две точки:
Подставляя координаты точек
,
получим:
– уравнение ребра
.
Длина стороны
равна длине вектора
.
ед.
2) Площадь грани
равна площади
,
которую можно найти через векторное
произведение по формуле:
![]()

кв. ед.
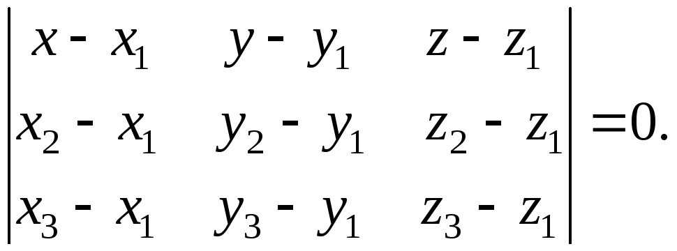
Уравнение грани – это уравнение плоскости через три точки:
Подставляя в это уравнение координаты
точек
,
получим уравнение грани
:

3) Объем пирамиды
равен
модуля смешанного произведения векторов
.
Найдем координаты векторов:
Тогда смешанное произведение равно:

куб. ед.
4) Из уравнения грани
:
найдем координаты вектора нормали
,
расположенного перпендикулярно плоскости
,
а значит параллельно высоте, опущенной
из вершины
.
Используем каноническое уравнение прямой в пространстве:
![]()
Подставляя вместо
координаты точки
,
а вместо
координаты вектора нормали
,
получим уравнение высоты:
![]()
Длина высоты
–
расстояние от точки
до плоскости
.
Используем формулу
Получим:
ед.
5) Угол
между ребром
и гранью
найдем как угол между векторами
.
Имеем:
![]()
![]()
Заметим, что угол
по определению всегда острый.
Поэтому, если
окажется меньше нуля, то его значение
надо взять по модулю!
6) Угол
между гранями
и
найдем как угол между нормалями к
этим граням. Плоскость
имеет уравнение
и, следовательно, её нормаль
.
Напишем уравнение плоскости
: