где,
- изгибающий момент от внешней нагрузки
относительно оси нормали к плоскости
действия момента и проходящий через
ц.т. сечения
- изгибающий
момент, воспринимающий нормальное
сечение элемента при образовании трещин

Так как условие не выполняется образуются трещины и необходим расчет на величину раскрытия трещин.
Ширина раскрытия трещин определяется по формуле:


– коэффициент, учитывающий продольное
действие нагрузки,
;
– коэффициент, учитывающий профиль
продольной арматуры,
;
– коэффициент, учитывающий характер
нагружения,
;
– коэффициент, учитывающий неравномерное
распределение относительных деформаций
растянутой арматуры между трещинами:

Где
– момент от суммарной нормативной
длительно действующей нагрузки.
– базовое расстояние между трещинами;

где,
– площадь сечения растянутого бетона;
,
где

должно удовлетворять следующим условиям:

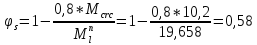
Так условие не выполняется, принимается
.
Напряжение в продольной рабочей арматуре в нормальном сечении с трещиной от соответствующей внешней нагрузки:

где,
– расстояние от центра тяжести площади
сечения арматуры до точки приложения
усилий в сжатой зоне сечения над
трещинами;

тогда,


Следовательно, условие выполнено. Ширина раскрытия трещины соответствует допустимой.
Расчет производится на действие постоянных и временных длительно действующих нагрузок. Расчет по прогибам производится из следующего условия:

предельно допустимое значение прогиба
элемента;

прогиб
элемента от действия внешней нагрузки;
Для свободно опёртых элементов прогиб можно определить по формуле:



-
моментом, от нагрузки, при которой определяется прогиб

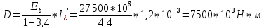
D - изгибная жесткость приведенного поперечного сечения
- приведённый
модуль упругости
– коэффициент приведения

Находим
и
– статические моменты сжатой зоны
бетона и растянутой арматуры относительно
Н.О.
Предположим,
что
.



Так как условие выполняется, то граница сжатой зоны проходит в ребре. В соответствии с этим, находится высота границы сжатой зоны:




x= 84,8 мм
Момент инерции площади сечения сжатой зоны бетона относительно центра тяжести приведенного поперечного сечения без учёта бетона в растянутой зоне:

Момент инерции площади растянутой арматуры относительно ц.т. приведенного поперечного сечения определяется по формуле:

В
результате вычисления всех моментов
инерции определяется искомый момент
инерции
:

Находится изгибная жесткость приведенного поперечного сечения с трещиной:


тогда,

значит,

следовательно,

Условие выполнено. Проверка по прогибам выполнена. Величина прогиба не превышает допустимую.
Для обеспечения запаса прочности в
расчете наиболее нагруженной колонны
(колонны первого этажа) в качестве
расчетной схемы принимается шарнирно
опертая стойка, загруженная продольной
силой со случайным эксцентриситетом
(μ=0,7).
Рис. 13. Расчетная схема ствола колонны
Принимается колонная квадратного
сечения. Ширина и высота сечения колонны
примем равными 300 мм. Высота одного этажа
по заданию 3,7 м.
Рис.14. Грузовая площадь колонны
Гибкость
< 20, условие выполняется
Расчетная грузовая площадь

Город Петрозаводск расположен в снеговом районе V категории, следовательно,
- вес снегового покрова на 1 м2
горизонтальной поверхности земли)
Нормативное значение снеговой нагрузки на горизонтальную проекцию покрытия:
,где
-
термический коэффициент (п. 10.10 [5]);
(п. 10.4 [5]);
-
коэффициент, учитывающий снос снега с
покрытия зданий под действием ветра
или иных факторов.
,
где
- средняя скорость ветра за 3 самых
холодных месяца;
– ширина покрытия;
– принимается по таблице 11.2 [5].
Таблица 2. Сбор нагрузок на 1 м2 покрытия
|
№ п/п |
Наименование нагрузок |
Нормативные, кН/м2 |
Коэффициент надежности по нагрузке, f |
Расчетные, кН/м2 |
|
|
Постоянные |
|
|
|
|
1.1 |
Конструкция кровли: |
|
|
|
|
1.1.1 |
Технониколь =5 мм, = 1200 кг/м3 |
0,06 |
1,2 |
0,072 |
|
1.1.2 |
Стяжка ЦПС М150 =40 мм, = 1800 кг/м3 |
0,72 |
1,3 |
0,936 |
|
1.1.3 |
Утеплитель минераловатный = 100 мм, = 200 кг/м3 |
0,2 |
1,2 |
0,24 |
|
1.1.4 |
Пароизоляционная пленка = 2 мм, = 150 кг/м3 |
0,003 |
1,2 |
0,0036 |
|
1.2. |
От плиты перекрытия = 120 мм, = 2500 кг/м3 |
3,00 |
1,1 |
3,3 |
|
1.3. |
Итого постоянная |
3,983 |
|
4,552 |
|
2. |
Временная |
|
|
|
|
2.1 |
Временная снеговая, в том числе: |
|
1,4 |
2,24 |
|
2.2. |
краткодействующая |
0,8 |
1,4 |
1,12 |
|
2.3 |
длительнодействующая |
0,8 |
1,4 |
1,12 |
|
3. |
Итого полная |
5,583 |
|
6,792 |
Полная расчетная нагрузка на колонну от перекрытия:

,
где

Полная расчетная нагрузка на колонну от покрытия:

Расчетная нагрузка от собственного веса колонны:

Полная расчетная нагрузка на колонну:

Длительнодействующая нагрузка на колонну:



