Материал: Neonat_s_positсii_sim_licarya_2007

Внимание! Если размещение файла нарушает Ваши авторские права, то обязательно сообщите нам

Неонатологія з позиції сімейного лікаря

L-карнитин

L-карнитин – это специфическое азотсодержащее вещество, способствующее транспорту длинноцепочечных жирных кислот в митохондрии, где происходит процесс b-оксидации. Таким образом, недостаточность L-карнитина ведет к нарушению утилизации жирных кислот.

Карнитинвнормесинтезируетсяорганизмомизлизинаиметионина, атакжесодержитсявгрудноммолоке.Уноворожденныхдетейснижена активность энзимов, отвечающих за синтез карнитина. Поэтому смеси для новорожденных и тем более недоношенных детей, находящихся на искусственном вскармливании, должны обязательно содержать карнитин. В 100 г Pre NAN с ДЦ ПНЖК содержится 11 мг L-карнитина, что способствует более полной утилизации незаменимых жирных кислот.

Углеводный компонент

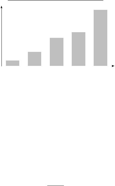
Углеводы являются важным источником энергии в питании новорожденных. Основной углевод грудного молока лактоза способствует формированию бифидофлоры, абсорбции и усвоению кальция, фосфора и других минералов. Однако у недоношенных детей интестинальная лактазная активность несколько снижена. В гестационном возрасте 30 недель она составляет 50 %, а в 20 недель развития – только 25 % (рисунок 3). Снижение количества лактозы благоприятно в случаях ее неполного усвоения, что часто наблюдается у недоношенных детей. Поэтому желательно, чтобы смесь для недоношенных детей содержала более низкое количество лактозы в сравнении со стандартными смесями.

65 % углеводного компонента Pre NAN с ДЦ ПНЖК представлено лактозой и 35 % – мальтодекстрином, углеводом с высокой энергетической плотностью и низким осмолярным эффектом, что снижает частоту возникновения диареи, синдрома мальабсорбции и некротического энтероколита.

Мальтодекстрин переваривается глюкоамилазой, ферментом, хорошо представленным в кишечнике новорожденного. В результате углеводный компонент Pre NAN с ДЦ ПНЖК способствует:

становлению интестинальной микрофлоры с превалированием бифидобактерий;

снижению осмолярности смеси, что делает ее безопасной для почек;

снижению риска возникновения некротического энтероколита.

386

Довідкова інформація

% лактазной активности

100

 

 

 

60

 

 

 

50

 

 

 

25

 

 

 

10

 

 

 

 

 

 

 

 

 

10–12

20–24

30–32

34–36

38–40

 

 

Гестационный возраст, недель

 

 

Рисунок 3. Процент лактазной активности в зависимости отгестационного возраста (Antonowicz I., Leberthal E.)

Витамины, микроэлементы и минеральные вещества

Две трети общего содержания минеральных веществ депонируется в течение последних двух месяцев гестации. Восполнение депо минеральных веществ у недоношенных детей – задача непростая. Например, абсорбциякальцияифосфораунедоношенныхдетейсоставляетвлучшем случае 50–70 %. Вместе с фосфором кальций является преобладающим минералом в организме. 99 % Са и 80 % Р содержатся в костной ткани.

Для эффективной абсорбции из питания важно не только следовать рекомендуемым количественным нормам, но и соблюдать соотношение Са и Р.

Например, высокий потребляемый уровень Са без необходимого количества Р ведет к гиперкальциурии и недостаточному депонированию Са в костной ткани. В то же время высокое потребление Р может привести к гипокальциемии и неонатальной тетании.

Согласно рекомендациям Комитета по питанию недоношенных ESPAGAN, соотношение Са и Р в питании должно составлять 1,4–2,0, тогда как оптимальное соотношение Са и Р в Pre NAN с ДЦ

387

Неонатологія з позиції сімейного лікаря

ПНЖК составляет 1,8, что способствует улучшенной минерализации костной ткани.

В 1998 году UNICEF было объявлено 4 пандемических витамин- но-минеральных дефицита: железо, йод, витамин А и цинк.

Поскольку недоношенные дети особенно подвержены риску развития подобных дефицитов, содержание витаминов, микроэлементов

иминеральных веществ, в специальных смесях, должно соответствовать специфическим потребностям недоношенных.

Pre NAN с ДЦ ПНЖК содержит все необходимые витамины и микроэлементы с учетом последних рекомендаций.

Смесь содержит витамин D в количестве, необходимом для профилактики развития рахита у недоношенных (800 МЕ в 1 литре готовой смеси).

Железо в количестве 12 мг/л готовой смеси в сочетании с витами-

ном С, фолиевой кислотой, витамином В12, обеспечивает профилактику анемии у недоношенных.

Цинк является внутриклеточным элементом, который принимает участие в более чем 100 ферментативных системах. Хорошо изучены его каталитическая, структурная, регуляторная функции. В литературе описаны случаи дефицита цинка у недоношенных детей. В основном дефицит был связан с низким содержанием Zn в молочных смесях

ис неадекватным соотношением железа к цинку (2,7). Согласно рекомендациям ESPAGAN содержание цинка в смесях для недоношенных детей должно составлять от 0,05 мг до 1,1 мг/100 ккал. Pre NAN с ДЦ ПНЖК содержит цинк в количестве 0,8 мг/100ккал (6,4 мг/л), что соответствует этим рекомендациям. Соотношение железа к цинку составляет 1,9, что не снижает абсорбции цинка.

Смесь обогащена селеном, ключевым компонентом, участвующих в системе антиоксидантной защиты клеточных мембран. Содержание йода в Pre NAN с ДЦ ПНЖК достаточно для профилактики йодной недостаточности у недоношенных детей, что важно в условиях нашего региона.

Сроки и методы кормления глубоконедоношенных детей

Глубоконедоношенные дети с массой тела 1000–1500 г обычно вскармливаются через зонд. Особую сложность представляет вскармливание глубоконедоношенных детей, родившихся с очень низкой массой тела – менее 1000 г – и гестационным возрастом 25–28 не-

388

Довідкова інформація

дель. Эти дети, как правило, нуждаются в сочетанном энтеральном и парентеральном питании, причем доля каждого из способов питания в общем объеме должна подбираться строго индивидуально. Однако независимо от гестационного возраста новорожденного и его массы тела полное парентеральное питание назначается лишь при очень тяжелом состоянии ребенка, а также при язвенно-некротическом энтероколите, некоторых аномалиях ЖКТ. При первой же возможности (стабилизация состояния, тенденция к улучшению) необходимо с большой осторожностью вводить хотя бы минимальный объем энтерального питания.

Многие неонатологи считают нефизиологичным полностью лишать энтерального питания даже очень незрелого или крайне тяжелого ребенка. Существует понятие о минимальном энтеральном питании при проведении полного парентерального питания. В результате введения небольших объемов (4–8 мл/кг/сутки) стимулируется выброс гормонов кишечника, улучшается его моторика, не страдает кишечная стенка, что способствует нормальному развитию, полноценному функционированию ЖКТ в дальнейшем.

Друкується мовою оригіналу.

Міністерство охорони здоров’я України Центральний методичний кабінет з вищої медичної освіти ВДНЗ України «Українська медична стоматологічна академія»

Інститут педіатрії, акушерства та гінекології АМН України

Т. К. Знаменська, О. М. Ковальова, В. І. Похилько, О. І. Жданович

Неонатологія з позиції сімейного лікаря

Навчально-методичний посібник для студентів медичних вузів

ІІІ–ІV рівнів акредитації, лікарів-інтернів, неонатологів і лікарів сімейної медицини за спеціальностями «неонатологія», «загальна практика та сімейна медицина»

УДК 616-053.31:614.255.3 (07)

Літературний редактор Тетяна Мачинська

Верстка, дизайн Петро Січкар

Підписано до друку . Формат 60х84/16. Папір офсетний. Друк офсетний.

Ум. друк. арк. . Обл. вид. арк. . Замовлення .

Видавництво «Агенція “Стандарт”», 03110 ГСП, Київ, вул. Солом’янська, 5, оф.1015.

Надруковано у друкарні Standart digital print м. Київ, вул. Ушинського, 40.