Федеральное государственное бюджетное образовательное учреждение высшего профессионального образования.
Петербургский государственный университет путей сообщения Императора Александра I.
Кафедра «Изыскания и проектирование железных дорог»
ПОЯСНИТЕЛЬНАЯ ЗАПИСКА
к практическим работам
по дисциплине
«Изыскание и проектирование мостового перехода»
на тему:
«Проектирование участка новой железнодорожной линии с выбором места мостового перехода»
выполнил студент Р.В. Руденко
факультет ТС группа СЖД – 504
Отчет принял Т. М. Немченко
Санкт-Петербург
2019
Определение среднего уклона реки:
i
=
=
= 0,0009
Расчёт зависимости расхода водотока от уровня воды в створе водомерного поста.
Составление морфоствора, для удобства расчётных работ, ведётся в масштабах
- горизонтальный – 1 : 10000 (1 км = 10 см)
- вертикальный – 1 : 200 (1 м = 0,5 см)
Самая высокая точка морфоствора должна возвышаться не менее чем на 2-3 м над самым высоким из наблюдавшихся уровней высокой воды.
УВВmax = 274,2 + 2÷3 = 276,0 м
Ширина реки
1,0 ∙ 250 = 250,0 м
Многолетние наблюдения за уровнем воды на пересекаемом трассой водотоке фиксировались в месте расположения стационарного водомерного поста. Построение зависимости Q(H) также следует произвести для створа водомерного поста морфометрическим способом. Для этого используется поперечный профиль долины водотока в створе водомерного поста − морфоствор.
Расход водотока Qi, м3/с, при любом рассматриваемом уровне воды Hi, определяется суммирования расходов на всех выделенных участках морфоствора,
=
∙
+
∙
+
∙
,
где
,
,
– площади, м2,
живых сечений соответственно, главного
русла, правой и левой пойм, определяются
по профилю морфоствора при уровне воды
Hi
путём суммирования элементарных площадей
треугольников и трапеций;
,
,
- средние скорости течения воды, м/с,
соответственно в главном русле, на
правой и на левой поймах, при уровне
воды Hi;
Средняя скорость течения в русле реки или на пойме определяется по эмпирической формуле:
=
∙
∙
,
где n – коэффициент шероховатости указан в задании на проектирование для каждого участка морфоствора;
-
средняя глубина воды на участке
морфоствора при уровне воды Hi,,
м;
-
уклон водной поверхности реки при
рассматриваемом уровне воды Hi;
Средняя
глубина воды
,
м, на участке морфоствора при рассматриваемом
уровне воды Hi
определяется по формуле:
=
,
где
- площадь живого сечения, м2,
соответствующего участка морфоствора
при уровне воды Hi;
-
ширина разлива воды, м, в пределах
соответствующего участка морфоствора
при уровне воды Hi;
Уклон
водной поверхности реки
при рассматриваемом уровне воды Hi,
определяется по формуле Б.Ф.Снищенко:
=
∙ (0,05 ∙
+ 0,95),
где
- средний уклон долины водотока, указанный
в Исходных данных, в рассматриваемой
работе
= 0,0003.
График зависимостей расхода водотока от уровня воды для левой поймы, правой поймы, главного русла и всего водотока в целом представлен в Приложении 1.
Нормы проектирования мостовых переходов регламентируют расчетные значения основных гидрологических характеристик пересекаемого водотока – максимального расхода Q и соответствующего ему уровня воды H – через вероятность их превышения р. Для построения эмпирической кривой распределения вероятностей имеющийся ряд гидрологической характеристики – Нi следует расположить в убывающем порядке (от большего к меньшему). В табл. 2 в убывающем порядке записаны наблюдавшиеся значения отметок уровня воды Нi (графа 2) и соответствующих значений расхода Qi, (графа 3).
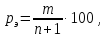
Для каждого члена ряда наблюдений за гидрологической величиной определяется эмпирическая вероятность его превышения рэ (в процентах) по формуле:

где m - порядковый номер члена ряда гидрологической характеристики, расположенного в убывающем порядке,
n - общее число членов ряда наблюдений.
Для сглаживания и экстраполяции эмпирических кривых распределения ежегодных вероятностей превышения максимальных расходов, как правило, применяют трехпараметрическое гамма-распределение.
Параметрами аналитической кривой гамма-распределения являются:
среднее
многолетнее значение максимального
расхода
;
коэффициент вариации Cv ;
отношение коэффициента асимметрии к коэффициенту вариации Cs/Cv.
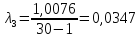
Параметры аналитической кривой гамма-распределения устанавливаются по гидрологическому ряду наблюдений ежегодных максимальных расходов методом приближенно наибольшего правдоподобия в зависимости от статистик λ2 и λ3, вычисляемых по формулам:


где ki - модульный коэффициент рассматриваемой гидрологической характеристики (расхода воды), определяемый по формуле:

где Qi - значения максимального годового значения расхода воды для i-го члена ряда;
Q - среднее арифметическое значение максимальных расходов воды, определяемое в зависимости от числа лет гидрометрических наблюдений по формуле:

м3/с.


Определение
параметров эмпирической кривой
распределения вероятностей и значений
статистик
и
представлено в Приложении 2.
По полученным значениям статистик λ2 и λ3 по номограммам определяются коэффициенты вариации Cv и отношение Cs /Cv.
Cv =0,20 и Cs = 2,0 Cv
По значениям Cv и Cs/Cv определяются ординаты (модульные коэффициенты) аналитической кривой распределения ежегодных вероятностей превышения максимальных расходов воды.
Полученные значения модульных коэффициентов kр% для каждого значения вероятности превышения р максимальных расходов записываются в таблицу:
|
р, % |
kр% |
|
0,10 |
2,73 |
|
0,33 |
2,445 |
|
1,00 |
2,165 |
|
3,00 |
1,885 |
|
5,00 |
1,74 |
|
10,00 |
1,535 |
|
25,00 |
1,23 |
|
50,00 |
0,944 |
|
75,00 |
0,709 |
|
95,00 |
0,454 |
Аналитическая кривая наносится на клетчатку вероятностей с построенной эмпирической кривой по определенным ординатам, т.е. по точкам с координатами (р, kр%).
Клетчатка вероятностей с построенными аналитической и эмпирической кривыми представлена в Приложении 3.
Значение величины расхода требуемой вероятности превышения определяется по формуле:

где kp% - модульный коэффициент, соответствующий требуемой вероятности превышения максимального расхода.
м3/с
– максимальный расход воды расчетной
вероятности превышения,
м3/с
– максимальный расход воды наибольшей
вероятности превышения.
По графику зависимости ΣQ(H) определяются уровни воды требуемой вероятности превышения в створе мостового перехода, соответствующие максимальным расходам (представлен в Приложении 4):
расчетный уровень высокой воды РУВВ1% = 274,56 м;
наибольший уровень высокой воды НУВВ0,33% = 275,13 м.
Ширина русла Вр, м, в месте расположения мостового перехода определяется по карте с учетом масштаба карты Вр. = 250 м.
Далее определяется ширина устойчивого русла Вр.уст , м, которая при выполнении курсовой работы может быть принята равной ширине русла Вр.
Вр.уст = Вр. = 250 м.
Для большинства мостовых переходов через равнинные реки рациональная величина отверстия моста Lм находится в диапазоне
Вр.уст ≤ Lм ≤ Вр.уш.
где Вр.уст – ширина устойчивого русла, м;.
Вр.уш – размер уширенного русла, м, определяется по формуле:

где
Q – расчетный расход воды, м3/с,
в створе перехода, проходивший в
естественных (бытовых) условиях в речной
долине, в рассматриваемом примере
расчетный расход – расход, определенный
с вероятностью превышения 1% , т.е. Q =
м3/с;
Qр.б. – расчетный расход воды, м3/с, в створе перехода, проходивший в бытовых условиях в русле;
x – показатель степени, принимаемый равным 0,5 для несвязных и 0,6 для связных грунтов. В курсовой работе грунт русла реки задается несвязный, поэтому в расчете принимается x = 0,5.
Величина расчетного расхода, приходящаяся на русловую часть морфоствора Qр.б., определяется путем распределения расчетного расхода Q между выделенными участках морфоствора.
Расчетному
расходу Q1%
=
м3/с
соответствует расчетный уровень воды
в створе мостового перехода РУВВ1%
= 274,56 м. При РУВВ1%
= 274,56 м площади живого сечения участков
морфоствора в месте расположения
мостового перехода составляют:
правой поймы ωпп = 1025 м2;
левой поймы ωлп = 1667 м2;
русла ωр = 2713 м2.
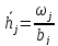
Для каждого j-го участка морфоствора (в рассматриваемом примере на морфостворе выделено 3 участка (русло, правая и левая поймы), следовательно, j = 3) вычисляется расходная характеристика kj по формуле:
,
где ωj – площадь живого сечения, м2, j-го участка морфоствора;
–
средняя
глубина, м, на j-м участке морфоствора,
определяемая по формуле:

где bj – ширина разлива воды, м, в пределах соответствующего участка морфоствора при РУВВ;
Сj – коэффициент Шези для j-го участка морфоствора, вычисляемый по формуле Н.Н.Павловского:

где nj – коэффициент шероховатости j-го участка морфоствора,
yj
– показатель степени для j-го участка
морфоствора, принимаемый в зависимости
от коэффициента шероховатости и средней
глубины
.
При выполнении курсовой работы для всех
пойменных участков морфоствора
принимается значение y = 0,3, а для руслового
участка y = 0,2.