Материал: Malinovsky_Essay_unique_rus

Внимание! Если размещение файла нарушает Ваши авторские права, то обязательно сообщите нам

* Без комплекта внешних устройств.

** Без двигателей системы охлаждения.

Программное обеспечение

ОПЕРАЦИОННАЯ СИСТЕМА

- реальный масштаб времени (РМВ), режим разделения времени (РВ), пакетная обработка;

- 4 задания РМВ, 16 заданий РВ;

- многосеансовое выполнение до 256 заданий;

- устранение последствий сбоев и резервирование.

СИСТЕМА ПРОГРАММИРОВАНИЯ И ОТЛАДКИ

- ассемблеры, Т-язык;

- алгоритмический язык высокого уровня, ориентированный на векторные вычисления;

- интерактивный режим отладки заданий РВ и РМВ в понятиях используемого языка.

ФАЙЛОВАЯ СИСТЕМА

СИСТЕМА ДОКУМЕНТИРОВАНИЯ

БИБЛИОТЕКА ТИПОВЫХ ПРОГРАММ

СИСТЕМА ТЕХНИЧЕСКОГО ОБСЛУЖИВАНИЯ

Приложение 11 ю.В. Рогачев. Биографическая справка

Рогачев Юрий Васильевич родился 18 августа 1925 года в Калининской области. В январе 1943 года был призван в Советскую Армию и направлен на Дальний Восток. В 1945 году принимал участие в войне с Японией. В 1946 году окончил курсы военных радиотехников и до 1950 года занимался обслуживанием и ремонтом радиоаппаратуры в войсках. После демобилизации в июне 1950 года поступил на работу к И.С. Бруку в лабораторию электросистем Энергетического института АН СССР им. Г.М. Кржижановского. Принимал участие в работах по созданию одной из первых ЭВМ - машины М-1. В 1952 году поступил учиться на радиотехнический факультет Московского энергетического института (МЭИ). После окончания МЭИ в марте 1958 года вернулся (по распределению) в тот же коллектив, ставший к этому времени самостоятельной организацией - Институтом электронных управляющих машин (ИНЭУМ). Работал инженером, старшим инженером, старшим конструктором, руководителем лаборатории. Принимал участие под руководством М.А. Карцева в создании машин М-4 и М-4М.

Разработка системы логических элементов, внедренная в одну из первых серийных транзисторных ЭВМ М-4М, явилась основой кандидатской диссертации, которую Ю.В. Рогачев успешно защитил в 1967 году.

С 1967 года - главный инженер созданного на базе отдела спецразработок ИНЭУМа Научно-исследовательского института вычислительных комплексов (НИИВК). Принимал участие в создании вычислительных машин М-10, М-10М, М-13 и построении вычислительных комплексов на их основе в качестве заместителя главного конструктора, а с 1983 года - в качестве главного конструктора. В 1977 году за разработку машины М-10 в составе коллектива присуждена Государственная премия СССР.

С 1983 года - директор Научно-исследовательского института вычислительных комплексов. Награжден орденами Отечественной войны, Трудового Красного Знамени, Знак почета. В настоящее время пенсионер. Передал автору многочисленные архивные документы (копии), освещающие жизнь и творчество М.А. Карцева.

Приложение 15 Вычислительная машина "Сетунь" Московского Государственного университета

Общая характеристика машины

Вычислительная машина "Сетунь" представляет собой автоматическую цифровую машину, предназначенную для решения научно-технических задач. Это одноадресная машина последовательного действия с фиксированным положением запятой.

Особенностью машины в математическом отношении является использование троичной системы счисления с коэффициентами 1, О, -1.

В инженерном отношении машина примечательна тем, что в качестве основного элемента схем в ней применен магнитный усилитель с питанием импульсами тока. Такой усилитель состоит из нелинейного трансформатора с миниатюрным ферритовым сердечником и германиевого диода. Необходимые для реализации троичного счета три устойчивых состояния получаются с помощью пары усилителей. Общее число усилителей в машине - около четырех тысяч. Электронные лампы использованы в машине для генерирования импульсов тока, питающих магнитные усилители, и импульсов записи на магнитный барабан. Полупроводниковые триоды применены в схемах, обслуживающих матрицу запоминающего устройства на ферритовых сердечниках и в усилителях сигналов, считываемых с магнитного барабана.

Внутренние устройства машины работают на частоте 200 кГц, выполняя основные команды со следующими затратами времени: сложение - 180 мксек, умножение - 325 мксек, передача управления - 100 мксек.

Длина слова в арифметическом устройстве машины - 18 троичных разрядов. Команда кодируется полусловом, т.е. девятью разрядами. В запоминающем устройстве каждая пара полуслов, составляющая полное слово, и каждое полуслово в отдельности наделены независимыми адресами. Число, представленное полусловом, воспринимается арифметическим устройством как 18-разрядное с нулями в младших разрядах.

Оперативное запоминающее устройство машины, выполненное на ферритовых сердечниках, обладает емкостью в 162 полуслова.

Запоминающее устройство на магнитном барабане вмещает 2268 полуслов. Обмен между барабаном и оперативным запоминающим устройством производится группами по 54 полуслова. Предполагается ввести дополнительное запоминающее устройство на магнитной ленте и увеличить емкость барабана до

4374 полуслов.

Ввод данных в машину производится с пятипозиционной бумажной перфоленты посредством фотоэлектрического считывающего устройства, а вывод на перфоленту и печать результатов - на стандартном рулонном телетайпе. Ввод и вывод информации осуществляется также группами по 54 полуслова.

В арифметическом устройстве машины "Сетунь" 18-разрядное троичное слово рассматривается как число, в котором запятая расположена между вторым и третьи разрядами. Это число можно выразить формулой:

n=1;0;-1

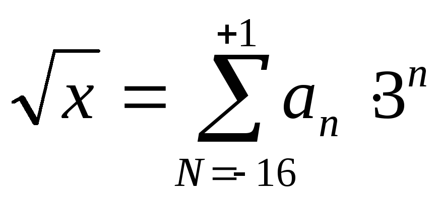
Диапазон чисел в арифметическом устройстве составляет -4,5 =< х =<+4,5 при абсолютной погрешности |х| < 0,5.3-16.

Число считается нормализованным, если оно заключено в интервале 0,5 х 1,5 или равно нулю. Порядок нормализованного числа изображается пятью старшими разрядами полуслова, хранящегося в запоминающем устройстве по отдельному адресу.

Девять разрядов полуслова, представляющего команду, распределены следующим образом: пять первых разрядов составляют адрес, три разряда - код операции, девятый разряд - признак модификации адреса. Если в этом разряде стоит 0, то команда выполняется без изменения адреса, если 1, то к адресу прибавляется число, находящееся в регистре модификации, если -1, то это число вычитается из адреса. Особое значение имеет младший (пятый) разряд адреса: у адреса полного слова в этом разряде -1, у адреса старшего полуслова 0, у адреса младшего полуслова 1.

В командах, относящихся к магнитному барабану или к устройствам ввода и вывода, первый разряд указывает, какая треть матрицы должна использоваться

для записи (считывания) передаваемой информации. Остальные четыре разряда адресной части команды либо обозначают номер зоны на барабане, либо используются для конкретизации команды: ввод или вывод.

В функциональном отношении машина разделяется на шесть устройств:

1) арифметическое устройство;

2) устройство управления;

3) оперативное запоминающее устройство;

4) устройство ввода;

5) устройство вывода;

6) запоминающее устройство на магнитном барабане.

Преимущества троичной системы счисления

Главное преимущество троичного представления чисел перед принятым в современных компьютерах двоичной состоит не в иллюзорной экономности троичного кода, а в том, что с тремя цифрами возможен натуральный код чисел со знаком, а с двумя невозможен. Несовершенство двоичной арифметики и реализующих ее цифровых машин обусловлено именно тем, что двоичным кодом естественно представимы либо только неотрицательные числа, либо только неположительные, а для представления всей необходимой для арифметики совокупности - положительных, отрицательных и нуля - приходится пользоваться искусственными приемами типа прямого, обратного или дополнительного кода, системой с отрицательным основанием или с цифрами +1, -1 и другими ухищрениями.

В троичном коде с цифрами +1, 0, -1 имеет место естественное представление чисел со знаком (так называемая симметричная, уравновешенная или сбалансированная система), и "двоичных" проблем, не имеющих удовлетворительного решения, просто нет. Это преимущество присуще всякой системе с нечетным числом цифр, но троичная система самая простая из них и доступна для технической реализации.

Арифметические операции в троичной симметричной системе практически не сложнее двоичных, а если учесть, что в случае чисел со знаком двоичная арифметика использует искусственные коды, то окажется, что троичная даже проще. Операция сложения всякой цифры с нулем дает в результате эту же цифру. Сложение +1 с -1 дает нуль. И только сумма двух +1 или двух -1 формируется путем переноса в следующий разряд цифры того же знака, что и слагаемые и установки в текущем разряде цифры противоположного знака. Пример:

111011101010

+

111011110100

101110011110

В трехвходном троичном сумматоре перенос в следующий разряд возникает в 8 ситуациях из 27, а в двоичном - в 4 из 8. В троичном сумматоре с четырьмя входами перенос также происходит только в соседний разряд.

Операция умножения еще проще: умножение на нуль дает нуль, умножение на 1 повторяет множимое, умножение на -1 инвертирует множимое (заменяет 1 на -1, а -1 на 1). Инвертирование есть операция изменения знака числа.

Следует учесть, что комбинационный троичный сумматор осуществляет сложение чисел со знаком, а вычитание выполняется им при инвертировании одного из слагаемых. Соответственно троичный счетчик автоматически является реверсивным.

Важным достоинством троичного симметричного представления чисел является то, что усечение длины числа в нем равносильно правильному округлению. Способы округления, используемые в двоичных машинах, как известно, не обеспечивают этого.

Н.П. Брусенцов