Ядерные реакции под действием нейтронов.
В зависимости от скорости (энергии) нейтроны делят на медленные и быстрые.
Медленные нейтроны:
Ультрахолодные
(≤
эВ)
Очень
холодные(≤
эВ)
Холодные
(
эВ)
Тепловые
(
)
Резонансные
(0.5+
Быстрые нейтроны:
Быстрые
нейтроны (
Высокоэнергетичные
(
Релятивистские
(≥
В веществах, называемых замедлителями (графит, тяжелая вода D2O, HDO, соединения бериллия), быстрые нейтроны рассеиваются на ядрах, и их энергия переходит в энергию теплового движения атомов вещества-замедлителя.
Медленные нейтроны эффективны для возбуждения ядерных реакций, поскольку они относительно долго могут находиться вблизи атомного ядра, а поэтому вероятность захвата нейтрона ядром очень большая.
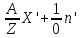
Для медленных нейтронов характерны упругое рассеяние на ядрах (реакция типа (n,n) ) и радиационный захват (реакция типа (n,γ ) приводит к образованию нового изотопа исходного вещества:
+
+y,
например,
+y
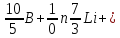
Под действием тепловых нейтронов на легких ядрах наблюдаются реакции захвата нейтронов с испусканием протонов и α -частиц (реакции типа(n, p) и (n,α) ):
,
Но главным образом реакции типа (n, p) и (n, α) происходят под действием быстрых нейтронов, т.к. в этом случае энергия достаточна для преодоления потенциального барьера, препятствующего вылету протонов и α -частиц.
Для быстрых нейтронов наблюдается неупругое рассеяние (n,n′)
+

где
вылетающий из ядра нейтрон
имеет энергию меньшую энергии налетающего
нейтрона
,
а остающееся после вылета нейтрона ядро
находится в возбужденном состоянии
, поэтому его переход в нормальное
состояние сопровождается испусканием
γ -кванта.
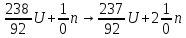
Когда энергия электронов достигает 10 МэВ, становятся реакции типа (n,2n). Например, в результате реакции

образуется β − -активный изотоп, распадающийся по схеме
>
Np
+
числу нейтронов (N/ Z ≈1), а для тяжелых
ядер число нейтронов значительно
превышает число протонов (N Z ≈1,6)
Избыточные нейтроны, испускаемые
осколками, называются нейтронами
деления. В среднем на каждый акт деления
приходится 2,5 испущенных нейтрона.
Большинство из них испускается практически
мгновенно (t ≤10−14с) — мгновенные
нейтроны, а часть (~ 0,7%) спустя некоторое
время после деления (0,05 c ≤ t ≤ 60 c) —
запаздывающие нейтроны.
Цепная реакция деления.
Каждый из мгновенных нейтронов, возникших в реакции деления, взаимодействуя с соседними ядрами делящегося вещества, вызывает в них реакцию деления.
При этом идет лавинообразное нарастание числа актов деления начинается цепная реакция деления — ядерная реакция, в которой частицы, вызывающие реакцию, образуются как продукты этой реакции.
Условием возникновения цепной реакции является наличие размножающихся нейтронов.
Коэффициентом размножения нейтронов k называется отношение числа нейтронов, возникающих в некотором звене реакции, к числу таких нейтронов в предшествующем звене.
Необходимое условие развития цепной реакции: k >1. Такая реакция называются развивающаяся реакция. При k =1 идет самоподдерживающаяся реакция. При k <1 идет затухающая реакция.
Часть вторичных нейтронов не участвует в поддержании цепной реакции захватывается неделящимися примесями, выходит из зоны реакции без захвата ядром, теряет энергию в процессах неупругого рассеяния и т. д.
Поэтому коэффициент размножения зависит от природы делящегося вещества, а для данного изотопа от его количества, а также размеров и формы активной зоны —пространства, где происходит цепная реакция.
Минимальные размеры активной зоны, при которых возможно осуществление цепной реакции, называется критическими размерами.
Минимальная масса делящегося вещества, находящегося в системе критических размеров, необходимая для осуществления цепной реакции, называется критической массой.
Цепные реакции делятся на управляемые и неуправляемые. Взрыв атомной бомбы пример неуправляемой реакции. Управляемые цепные реакции осуществляются в ядерных реакторах.
Делением атомных ядер называется процесс раскалывания ядра на две примерно равные части. Обычно такой процесс происходит, когда в тяжелое ядро попадает какая-нибудь частица – нейтрон, протон, альфа-частица и др. В таких случаях деление называется вынужденным. Но иногда деление происходит и самопроизвольно, такое деление называется спонтанным.
Механизм вынужденного деления. Когда в ядро попадает какая-то частица (например, нейтрон), то внутри ядра выделяется её энергия связи Есв. К ней добавляется значительная часть кинетической энергии частицы Е, в результате чего ядро приходит в возбужденное состояние, причем его полная энергия возбуждения оказывается равной Е*= Есв+ Е·А/(А+1).Это возбуждение проявляется в форме ускоренного движения всех нуклонов ядра, ядро «кипит», по его поверхности бегут волны и т.п. Дальше происходит одно из двух. Либо избыточная энергия уйдет из ядра с испусканием одного или нескольких гамма-квантов (т.е. произойдет радиационный захват влетевшей частицы). Либо в результате колебаний ядерной «жидкости» в ядре образуется перетяжка, ядро примет форму гантели, и под влиянием кулоновского отталкивания зарядов двух половинок этой «гантели», перетяжка лопнет, и две части бывшего ядра разлетятся в противоположные стороны с большой энергией, полученной от тех же сил кулоновского отталкивания одноименных электрических зарядов. Образовавшиеся половинки первоначального ядра называются осколками деления. Под влиянием сил поверхностного натяжения они приобретут сферическую форму и станут ядрами новых атомов с массами, равными примерно половине массы ядра урана, т.е. атомами элементов, лежащих в середине таблицы Менделеева.
Потенциальный барьер деления.
Для того чтобы ядро разделилось, ему необходимо вначале придать достаточно большую деформацию, которая возникает в результате сообщенной ядру энергии возбуждения – в противном случае ядро стянется в сферу и деление не произойдет. Минимальная энергия возбуждения, при котором деление становится возможным, называется потенциальным барьером деления и обозначается символом Uf. Деление возможно, если энергия возбуждения ядра Е*> Uf. Если же Е< Uf, то деление невозможно. У всех тяжелых ядер (тория, урана, плутония и др.) значения Uf примерно одинаковы и равны 5,1 – 5,4 МэВ. При таких условиях все тяжелые ядра должны были бы проявлять одинаковые способности к делению. Однако это не так.
Известно, что по отношению к делению нейтронами ядра делятся на две различные группы:
нечетные ядра, такие как 233U,235U,239Pu,241Pu. Они легко делятся любыми, даже тепловыми нейтронами, поэтому их часто называют «топливными» ядрами;
четно-четные ядра 232Th,234U,238U,240Pu,242Pu тепловыми нейтронами не делятся, поэтому их часто называют «сырьевыми».
Происходит это потому, что при попадании нейтрона в нечетное ядро образуется четно-четное ядро (например, 235U+ n→236U), энергия связи нейтрона в котором особенно велика, так что даже при нулевой кинетической энергии нейтрона энергия возбуждения оказывается больше высоты барьера деления, и ядро легко делится.
При попадании же нейтрона в четно-четное ядро (например, 238U + n →239U), образуется нечетное ядро, энергия связи нейтрона в котором значительно меньше, и её не хватает для преодоления барьера деления. Но если в последнем случае в ядро попадет не тепловой, а быстрый нейтрон с достаточно большой кинетической энергией, то может оказаться, что суммарная энергия возбуждения Е*>Uf, и деление произойдет. Минимальная кинетическая энергия нейтрона, при которой становится возможным деление четно-четного ядра, называется пороговой энергией деления Епор. Для ядра238U эта энергия Епор≈ 1 МэВ. Примерно такие же значения имеют пороговые энергии и для других четно-четных ядер. Так что все такие ядра тоже делятся, но только быстрыми нейтронами.
|
Форма выделения энергии |
Энергия (МэВ) |
|
|
|
|
Кинетическая энергия осколков деления |
165 |
|
Кинетическая энергия вторичных нейтронов деления |
5 |
|
Энергия мгновенного гамма-излучения при делении |
8 |
|
Энергия, уносимая электронами при бета-распаде осколков |
9 |
|
Энергия, уносимая антинейтрино при бета-распаде осколков |
10 |
|
Энергия гамма-излучения, сопровождающего бета-распад осколков |
8 |
|
Энергия, выделяющаяся при захвате нейтронов ядрами среды |
10 |
|
|
|
|
Всего |
215 |
Эффективные сечения деления.
Ядра, делящиеся тепловыми нейтронами, способны также делиться промежуточными и быстрыми нейтронами, поэтому для них, так же как и при радиационном захвате (см. выше), необходимо рассмотреть особенности поведения сечений деления во всех трех областях.
В области тепловых нейтронов сечения деления изменяются с ростом энергии также по закону «1/v». Усредненные по этой области значения сечений деления σ f приведены в табл.1.4.
Сечения деления некоторых ядер тепловыми нейтронами
|
Параметр |
Единица измерения |
Делящиеся нуклиды |
|||
|
233U |
235U |
239Pu |
241Pu |
||
|
|
|
|
|
|
|
|
σ f |
барн |
529,1 |
582,6 |
748,0 |
1011,1 |
|
σ n,γ |
барн |
45,5 |
98,3 |
269,3 |
358,2 |
|
α = σ n,γ /σ f |
- |
0,086 |
0,169 |
0,360 |
0,354 |
Спонтанное деление.
Из-за большой перегрузки протонами, которые отталкиваются друг от друга электростатическими силами и тем самым пытаются разорвать ядро, тяжелые ядра оказываются крайне неустойчивыми и поэтому способны делиться сами, без всякого воздействия извне. Такое самопроизвольное деление и называется спонтанным делением. Происходит спонтанное деление подобно альфа-распаду путем туннельного эффекта прохождения осколков через барьер деления. Но из-за большого заряда осколков, их вероятность прохождения через потенциальный барьер при делении ядер урана оказывается значительно меньше, чем для альфа-частиц, а период полураспада по отношению к спонтанному делению, соответственно, гораздо больше. Так для альфа-распада ядер урана-238 период Tα=4,5·109лет, тогда как для спонтанного деления Tf= 1016лет, т.е. в 2,5 миллиона раз больше. По мере увеличения заряда ядра значения Tf быстро уменьшаются. Так для ядер искусственных трансурановых элементов (см. ниже) с Z>100 величина Tf измеряется минутами и даже секундами, причем для некоторых нуклидов спонтанное деление становится даже более предпочтительным видом распада. Это позволяет считать спонтанное деление четвертым видом радиоактивного распада в дополнение к альфа-, бета- и гамма-распадам.
Выделение энергии при делении ядер.
Удельная энергия связи нуклонов у ядер урана (≈ 7,5 МэВ/нуклон) существенно меньше, чем у ядер с вдвое меньшей массой (≈ 8,4 МэВ/нуклон), которые получаются при делении в виде осколков. Это означает, что осколки связаны гораздо сильнее, чем ядра урана, и при их образовании за счет перегруппировки нуклонов выделяется лишняя энергия связи в количестве примерно 0,9 МэВ на нуклон. А так как в процессе деления одного ядра участвуют 236 нуклонов, то общее выделение энергии при делении одного ядра составляет 236·0,9 ≈ 212 МэВ. Основная часть этой энергии достается осколкам в виде их кинетической энергии. Но при делении ядер кроме осколков выделяется еще несколько разных частиц, которые уносят остальную энергию. Примерное распределение энергии между различными частицами при делении ядер урана тепловыми нейтронами приведено в табл.1.3. Суммарное количество энергии (215 МэВ) хорошо согласуется со сделанной выше оценкой (212 МэВ). Из этого количества энергии 10 МэВ уносятся антинейтрино в космическое пространство и являются т.о. «безвозвратными потерями». Остальная энергия поглощается в различных материалах реактора и в конечном итоге превращается в тепловую энергию, использующуюся в АЭС и АТЭЦ.