ЛАБОРАТОРНАЯ РАБОТА №5
Исследование неинвертирующего и инвертирующего усилителей
Цель:
1.Измерение коэффициента усиления неинвертирующего усилителя на ОУ.
2.Определение разности фаз между выходным и входным синусоидальным напряжением ОУ.
3.Исследование влияния коэффициента усиления усилителя на постоянную составляющую выходного напряжения.
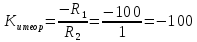
4.Измерение коэффициента усиления инвертирующего усилителя на ОУ.
5.Определение разности фаз между выходным и входным синусоидальным напряжением ОУ.
6.Исследование влияния коэффициента усиления схемы на постоянную составляющую выходного напряжения.
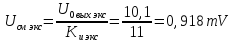
2.1 Работа неинвертирующего усилителя в режиме усиления синусоидального напряжения.

Схема 1 Инвертирующего ОП


Включаем схему







2.2 Исследование влияния параметров схемы на режим её работы.








2.3 Работа усилителя в режиме усиления синусоидального напряжения.

Схема 2 инвертирующего ОП








2.4 Исследование влияния параметров схемы на режим её работы.








Выводы
Мы исследовали неинвертирующий и инвертирующий ОУ , а именно:
1.Измеряли коэффициент усиления неинвертирующего усилителя на ОУ.
2.Определелили разности фаз между выходным и входным синусоидальным напряжением ОУ.
3.Исследовали влияние коэффициента усиления усилителя на постоянную составляющую выходного напряжения.
4.Измеряли коэффициент усиления инвертирующего усилителя на ОУ.
5.Определили разности фаз между выходным и входным синусоидальным напряжением ОУ.
6.Исследовали влияние коэффициента усиления схемы на постоянную составляющую выходного напряжения.