Материал: 4745

Внимание! Если размещение файла нарушает Ваши авторские права, то обязательно сообщите нам
yˆ b0 b1x1 ,

а) линейная б) нелинейная

Рисунок 2 - Виды регрессии Если разброс точек значительный, то регрессии не будет. Следователь-

но, методы корреляционного и регрессионного анализа тесно связаны между собой. Вид уравнения регрессии зависит от выбираемого метода приближе-

ния. Обычно используется метод наименьших квадратов.

n

n

 

F | yi f (xi ) |2 min или

F ( yi yˆi )2 min

(6)

i 1

i 1

 

где yi , yˆi - экспериментальные и расчетные значения выходного пара-

метра, соответственно. Рассмотрим различные случаи приближенной регрес-

сии.

ЛИНЕЙНАЯ СТАТИСТИЧЕСКАЯ МОДЕЛЬ

(линейная регрессия от одного параметра)

При моделировании процессов в металлургии во многих случаях связь между входными (x) и выходными (y) параметрами можно аппроксимировать линейным полиномом (зависимостью). (7)

Для получения вида математической модели необходимо определить коэф-

фициенты уравнения регрессии b0 и b1. Для этого применяется метод наи-

n

меньших квадратов. F ( yi b0 b1x )2 min (8)

i

i 1

Таким образом, процедура нахождения коэффициентов регрессии сводится к задаче определения минимума функции. Необходимое условие минимума

5

функции является равенство нулю частных производных функции по исход-

ным величинам (коэффициентам).

(9)

(10)

(11)

Решая систему уравнений, выражаем коэффициенты b0 и b1.

(12)

(13)

После вычисления коэффициентов необходимо провести статистиче-

ский анализ полученного уравнения регрессии с целью проверки модели на адекватность.

6

СТАТИСТИЧЕСКИЕ МОДЕЛИ В ВИДЕ НЕЛИНЕЙНЫХ ПОЛИНОМОВ.

Параболическая регрессия.

При составлении статистических моделей часто возникает необходи-

мость использовать уравнения нелинейной формы, в частности полином вто-

рой степени.

yˆ b

b x

b x2

min

(14)

0

1 i

2 i

 

 

Коэффициенты регрессии определяем по методу наименьших квадратов.

n

 

 

F ( yi b0 b1xi

b2 xi2 )2 min

(15)

i 1

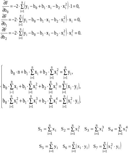
Приравняем к нулю частные производные функции по коэффициентам b0, b1, b2.

(16)

Выполнив преобразования, получим систему линейных уравнений с тремя неизвестными (b0, b1,b2).

 

 

 

 

(17)

Введем обозначения:

 

 

 

 

;

;

;

;

(18)

;

 

;

 

.

С учетом принятых обозначений система будет иметь следующий вид:

7

(19)

Определим неизвестные коэффициенты b0, b1, b2.

(20)

(21)

(22)

После решения системы уравнений и вычисления коэффициентов b0, b1, b2 проводится статистический анализ полученного уравнения регрессии.

Аналогичным образом будут определяться коэффициенты параболы любого порядка. Исследование уравнения проводится по статистическим критериям.

Однако в этом случае не требуется вычислять выборочные коэффициенты корреляции. Адекватности уравнения регрессии эксперименту можно до-

биться, повышая степень полинома. Однако при этом все коэффициенты сле-

дует вычислять заново, так как существует корреляция между коэффициен-

тами.

8

ПРИМЕР РАЗРАБОТКИ УРАВНЕНИЯ РЕГРЕССИИ Определить зависимость теплоемкости расплава от температуры. Объ-

ем выборки N = 9.

Т, К

298

300

400

500

600

700

800

900

1000

Ср,

 

 

 

 

 

 

 

 

 

кал/моль

23,29

23,40

29,60

35,34

40,30

44,55

48,23

51,44

54,22

К

 

 

 

 

 

 

 

 

 

I. Для описания зависимости теплоемкости расплава от температуры выберем полином второго порядка: yˆ b0 b1x b2 x2 . Определим коэффици-

енты уравнения по формулам (20) – (22). Для этого составим программу рас-

чета, в основе которой лежит алгоритм метода наименьших квадратов (15).

Схема алгоритма приведена на рисунке 3.

9