Материал: 4

Внимание! Если размещение файла нарушает Ваши авторские права, то обязательно сообщите нам

Классификация арматуры

1)По материалу:

стальная;

стеклопластиковая;

углепластиковая.

2)По назначению:

рабочая;

конструктивная;

анкерная;

монтажная;

распределительная.

Классификация арматуры

3)По способу изготовления:

стержневая, горячекатаная;

проволочная, холоднотянутая.

4)По виду поверхности:

гладкая;

периодического профиля (рифленая).

5)По способу применения:

напрягаемая, подвергнутая предварительному натяжению до эксплуатации;

ненапрягаемая.

Классификация арматуры

6)По изгибной жесткости:

гибкая (стержневая и проволочная);

жесткая (из прокатных профилей).

7)По способу упрочнения:

термически упрочненная, т.е. подвергнутая термической обработке;

упрочненная в холодном состоянии – вытяжкой или волочением

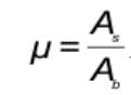
Содержание рабочей продольной арматуры в элементах железобетонных конструкций определяют отношением общей площади сечения As рабочих стержней к сечению Аb бетона.

μ – коэффициент армирования (%).