Материал: 3303

Внимание! Если размещение файла нарушает Ваши авторские права, то обязательно сообщите нам

21

заготавливается около 3,7 млн. тонн древесины общей стоимостью 222 млн. долларов. Россия, имеющая огромные площади земель, непригодных для сельского хозяйства, может задействовать их для новых древесных посадок..

Основным условием получения успешной культуры тополей является правильный выбор площадей для их выращивания, а также подбор видов и сортов, оптимальных в конкретных климатических условиях. Селекционные работы, проведенные учеными России, Швеции и Америки, направленные на выведение новых древесных пород, дали следующий результат. Культуры всех видов и сортов тополей хорошо приживаются и имеют наибольшую жизнестойкость на глубоких плодородных, преимущественно легкого или среднего механического состава, хорошо аэрируемых почвах с нейтральной реакцией (рН=5,5…8) и достаточным, но не застойным увлажнением. Наиболее подходящими являются участки с проточными грунтовыми водами, залегающими на глубине 1−1,5 м и обогащенными питательными веществами и известью. На бедных и недостаточно увлажненных почвах тополь хотя и растѐт, но продуктивность его низкая. Поэтому при планировании площадей под культуры тополя необходимо проводить их предварительное обследование.

Лучшим посадочным материалом являются однолетние укорененные черенковые саженцы, выращенные из зимних стеблевых черенков, которые заготавливают на «маточных» плантациях. Сроки и техника посадки определяются особенностями участков, на которых разбивается плантация, а также видом применяемого посадочного материала. Густота культур тополя определяется, прежде всего их целевым назначением и биологическими особенностями культивируемых сортов. При выращивании деревьев, идущих на заготовку тонкомерных сортиментов с коротким возрастом рубки, принимают густое размещение растений − 2,5×2,5 или 3×3 м.

При выращивании крупномерных сортиментов на строительное бревно, спичечный или фанерный кряж, растения размещают реже − 4×4 или 6×6 м. Наиболее целесообразным является квадратное размещение растений по площади, обеспечивающее механизированный уход за почвой в двух взаимно перпендикулярных направлениях.

Одним из важнейших условий хорошего роста и сохранности культуры Значительное влияние на усиление роста тополей и повышение их общей устойчивости оказывает внесение удобрений, в первую очередь азотных.

Для выращивания высококачественной бессучковой древесины необходимо также осуществлять уход за стволом. Обрезку сучьев на стволах начинают через 2−3 года после посадки растений. В загущенных культурах нельзя запаздывать и с рубками ухода. Во всех случаях необходимо

22

своевременно проводить санитарные рубки. Выполнение всех этих мероприятий обеспечит быстрое воссоздание больших объемов товарной тополевой древесины.

Практическая часть: презентация и обсуждение доклада «Плантации тополей и древовидных ив».

Задачи:1) Какие виды ив могут использовать для плантационного разведения?

Выбрать 1 правильный ответ – кустарниковые; для использования на лозу; древовидные.

2)Какие мероприятия проводят для получения высокачественной древесины?

Выбрать 1 правильный ответ – обесвершивование; обрезку сучьев; стрижку крон.

3) Какие почвы необходимы для получения максимального объема древесины?

Выбрать 1 правильный ответ – пойменные почвы; песчаные; горные.

Контрольные вопросы

1.Каким посадочным материалом лучше закладывать плантации тополей и ив?

2.Какие почвы необходимы для получения максимального количества древесной массы?

3.Какова густота культур наиболее предпочтительна?

Лабораторная работа № 14

Тема – Плантации ив на прут Цель занятия: изучить опыт выращивания лозовых ив для

производства плетеных изделий.

Теоретическая часть. Из всего разнообразия хозяйственного использования фитомассы ивы наибольшее значение имеет производство

23

плетеных изделий (плетеная мебель, корзины, предметы домашнего обихода, декоративные изделия и т.п.). В качестве сырья для плетеных изделий используют 1...5-летние побеги, выращенные на специальных плантациях. Основными видами, выращиваемыми на плантациях, являются ивы: трехтычинковая, прутовидная, пурпурная, американская и др. Плантации закладывают на плодородных почвах с уклоном участка не более 5°.

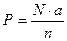
Территория плантации делится на две части - продуцирующую (предназначенную для выращивания побегов ивы) и вспомогательную (дорожная и оросительная сеть, компостник, усадьба и т.п.). Продуцирующая площадь плантации (Р) определяется по формуле:

где N- ежегодная потребность побегов ивы, т;

а - возраст сортимента, лет;

n- плановый выход сортимента, т/га.

Вплантациях ив выращивают однолетний ивовый прут (лозу) и двухпятилетнюю мебельную палку. По лозе и мебельной палке расчет продуцирующей площади производится раздельно. Вспомогательная часть составляет 15...20 % от продуцирующей площади.

Оптимальная площадь квартала составляет З...5га, ширина межквартальных дорог равна 4.. .5 м,

Для закладки плантации используют черенки, нарезанные непосредственно перед посадкой из прутьев, заготовленных после наступления зимнего покоя или ранней весной до начала сокодвижения. При осенней заготовке побегов до нарезки черенков их хранят в снежных кучах или ледниках, а в районах с бесснежными зимами - в траншеях. Черенки нарезают из 1...2-летних хорошо развитых прутьев, используя до 2/3 их длины от комля. Верхнюю часть прута отбрасывают, так как урожай с кустов, выращенных из верхушечных побегов, в 1,5...2 раза меньше, чем с кустов, выращенных из черенков средней и комлевой части побега. При закладке плантации длина черенков должна быть 25. ..30 см, в пойменных условиях -40...45 см. Густоту посадки и характер размещения посадочных мест определяют, исходя из выращиваемого сортимента, вида и сорта используемого посадочного материала, а также технологии последующих уходов. С учетом биологических особенностей ив при выращивании однолетних побегов (лозы) на 1 га можно высаживать до 100...150 тыс.

24

черенков с расстоянием между рядами 80 см и шагом посадки 8... 12 см, а при выращивании мебельной палки -до 50 тыс. черенков на га с размещением 80x25 см. Лучшим временем для посадки черенков является ранняя весна.

Уход за плантациями заключается в рыхлении почвы, уничтожении сорняков, внесении органических и минеральных удобрений, а также защите от вредителей и болезней. Внесение удобрений (органических и минеральных) и производство подкормок следует увязывать с рыхлением почвы. Необходимость внесения удобрений объясняется тем, что в процессе выращивания ивы ежегодно извлекается с 1 га почвы до 15 кг фосфора, 25 кг калия, 40 кг кальция, 10 кг натрия и 40 кг азота.

Эксплуатацию плантации начинают с первого года ее существования, хотя полученный в это время прут имеет низкие технические качества. Однако срезка прута в это время хорошо влияет на дальнейшее развитие плантации. Технически пригодный прут получают со второго года выращивания. В первый год побеги срезают у самого основания, в последующие годы на дренированных участках - на высоте 3-6 см, а в пойменных условиях- 4...8 см. Срок эксплуатации ивовых плантаций 20 лет и более. При этом производственная резка прута сочетается с периодами отдыха кустов ивы, необходимыми для восполнения пластических веществ в корневых системах и поддержания высокой производительности плантации.

Первая резка побегов проводится в год посадки поздней осенью или ранней весной следующего года. Получаемые при этом побеги для изготовления плетеных изделий, как правило, непригодны.

Цель первой резки - получить на образовавшихся пеньках большее количество побегов в последующие годы. Кроме того, вновь образуемые в последующие годы побеги отличаются лучшими техническими свойствами и увеличенной энергией роста.

Производственная резка начинается с двухлетнего возраста корневых систем.

Практическая часть: презентация и обсуждение доклада « Плантации тополей и древовидных ив».

Задачи:1) рассчитать по формуле потребность побегов ивы в объеме на год 100 тонн, возраст 2 года, выход с 1га 10тонн.

2)рассчитать по формуле потребность побегов ивы в объеме на год 175тонн, возраст 2 года, выход с 1га 7.5 тонн.

3)рассчитать по формуле потребность побегов ивы в объеме на год 275тонн, возраст 2 года, выход с 1га 12.5 тонн.

Контрольные вопросы

25

1.Назовите виды ив используемые для выращивания на лозу? 2.Назовите наиболее приемлемые условия выращивания ив? 3.Как проводится омолаживание плантаций ив?

Лабораторная работа № 15

Тема – Виды и способы реконструкции насаждений Цель занятия: знакомство с способами реконструкций различных

низкопродуктивных древостоев.

Теоретическая часть: Реконструкция — это замена низкокачественных лесных насаждений хозяйственно ценными путем создания лесных культур или проведения рубок ухода.

Под реконструкцию отводятся: а) заросли кустарников;

б) лесные насаждения, поврежденные пожарами, вредными насекомыми и болезнями, дикими животными и скотом, снегопадами и пр.;

в) молодняки мелколиственных пород в условиях местопроизрастания, благоприятных для выращивания более ценных лесообразующих древесных растений;

в) изреженные молодняки хвойных и твердолиственных пород с куртинным размещением растений по площади, а также низкопродуктивные насаждения ели, дуба, ясеня, произрастающие в бедных лесорастительных условиях;

г) малоценные насаждения в возрасте 21—40 лет порослевого происхождения с низким качеством древесины, расстроенные, с незначительным участием ценных лесообразующих пород и т. д.

Разработано пять способов реконструкции малоценных насаждений. Первый способ предусматривает реконструкцию малоценных

молодняков с помощью устройства коридоров, желательно в направлении с востока на запад, поскольку в этом случае улучшается среда произрастания введенных растений, они раньше вступают в фазу быстрого роста, а проникновение солнечной радиации возрастает в 3—4 раза по сравнению с таковым в коридорах меридиального направления. При введении теневыносливых пород (ель обыкновенная, пихта сибирская, клен остролистный, дуб северный, вяз обыкновенный и др.) коридоры прорубают на ширину 2—3 м, при посадке более светолюбивых растений (сосна обыкновенная и Муррея, лиственница европейская и сибирская, дуб