e’ = (0,15 + 0,5∙1,0)∙10-3 = 6,5∙10-4 м

Fц = 18,2∙41,872∙7,74∙10-4 = 24,7 Н
Находим реакции в опорах:
Σ МB =0
Fц∙L1–RА∙l2=0
RА=24,7∙1,51/0,65=57,38 H
Σ MА =0
Fц∙LВ–RB∙l2=0
RB = 24,7∙2,16/0,65=82,08H
Проверка: ΣY=0
RА– RB+ Fц=0
57,38-82,08+24,7=0
МА=0
МВ= –RА∙ l2= –57,38∙650=37297 Н∙мм
МС= –RА∙Lв+ RB∙L1= –57,38∙2160+82,08∙1510=0
Напряжения от крутящего момента равны:

τ ≤ [τ] ; 1,92≤20 МПа, условие прочности кручению выполняется.
Напряжения от изгибающего момента равны:

σ ≤ [σ]; 0,73≤146 МПа, условие прочности изгибу выполняется.
Эквивалентные напряжения находят:

где σэкв – эквивалентные напряжения, МПа;
σ – напряжения изгиба, МПа;
τ – напряжения кручения, МПа.

Условия прочности для вала выполняются.
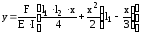
Прогибы вала в паре трения уплотнения, а также углы поворота сечений вала в опорах рассчитывают:



где y – прогиб консольной балки, м;
θ – угол поворота сечения вала в опорах, рад;
F – центробежная сила, Н;
E – модуль упругости, Па;
I – момент инерции поперечного сечения, м4;
l1 – длина консольной части вала, м;
l2 – расстояние между опорами вала, м;
x – текущая координата, м.
что меньше допускаемого, 0,03мм ≤ 0,1 мм;

что меньше допускаемого, 1,51∙10-5 рад ≤0,05 рад. Условия жесткости выполняются.
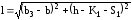
При расчете подшипников качения сначала определяют эквивалентную нагрузку:

где Р – эквивалентная нагрузка, Н;
х – коэффициент радиальной нагрузки;
v – коэффициент нагрузки, учитывающий, какое из колец вращается, при вращающемся внутреннем кольце v =1,0;
Fr – реакция в опоре вала, Н;
Y – коэффициент осевой нагрузки;
Fa – осевая сила, Н;
К – коэффициент режима работы, при работе с небольшими перегрузками, К = 1,0;
К – температурный коэффициент, при рабочей температуре подшипника 20 0С, К = 1,05.
Долговечность подшипника определяется:

где L – долговечность подшипника, млн. оборотов;
а23 – общий коэффициент условий работы, а23=0,8;
а1=1, при вероятности безотказной работы Рt=90%;
С – динамическая грузоподъемность подшипника, Н;
Р – эквивалентная нагрузка, Н;
P– коэффициент тел вращения, для шариковых подшипников P = 3,0; для роликовых подшипников P = 3,3.
Далее определяют заданную долговечность в часах, которая должна быть больше допускаемой (допускаемая долговечность 10000часов):

где Lh,расч – заданная долговечность, часы;
L – долговечность, млн. оборотов;
n – частота вращения, мин-1.
Расчётная схема:

В верхнюю опору устанавливаем под d =70мм шариковый радиальный однорядный подшипник 214 и шариковый упорный 38214.
В нижнюю опору устанавливаем под d =80мм шариковый радиальный сферический двухрядный 111216.
Опора А.
Расчёт подшипника 214.
С=61800Н, Fr = 57,38 H, x=0,56; y=1,0.


,
условие выполняется.
Расчёт подшипника 38214.
С=70000Н, Fa = 5011,1Н.


,
условие выполняется.
Опора В.
Расчёт подшипника 111616.
С=135000Н, Fr = 82,08H, Fa = 5011,1Н
е=0,16;

Х=0,65; Y=2,61


,
условие выполняется.
Тип мешалки выбирается в зависимости от свойств рабочей среды в аппарате и заданной угловой скорости перемешивающего устройства. Для обеспечения условия прочности наибольший крутящий момент на валу не должен превышать значений допустимого крутящего момента.
Для dм = 320мм подбираем: b = 64мм ; s = 4мм
Расчётный изгибающий момент лопатки М в сечении параллельном оси вала и находящимся от неё на расстоянии, равном половине диаметра диска D, определяется по формуле:
,
где N – расчётная мощность, Вт;
n – частота вращения мешалки, с-1
,
где l – длина лопатки, мм
l = 0,25∙dм=0,25∙320=80мм

D = 0,75∙dм=0,75∙320=240мм

Расчётный момент сопротивления лопатки при изгибе в расчётном сечении определяется:
,
где W – необходимый момент сопротивления, мм3;
М – изгибающий момент у основания лопасти, Н∙мм;
– допускаемые напряжения изгиба, МПа.
= 146 МПа

Номинальная расчётная толщина лопатки при изгибе в расчётном сечении определяется:
,
где b – высота лопатки, мм

Конструктивная толщина лопатки:
S = S’+Ск+Со=0,98+0,5+2,52=4мм
Для передачи вращательного движения от вала к мешалке используется шпоночное соединение. Выбираем шпонки призматические согласно ГОСТ 23360-78.
Подбираем шпонку для вала d =60мм
h =11мм
b =18мм
t1=7мм
t2=4,4мм
Длина шпонки:
lшп =hст–10=130–10=120мм
Длина шпонки по стандартному ряду 110мм
Расчетная длина шпонки:
lр = lшп –b=110–18=92мм
Напряжения смятия рассчитывают:

где σсм – напряжения смятия, МПа.
Т – крутящий момент на валу, Н∙мм;
d – диаметр вала, мм;
b – ширина шпонки, мм;
lр – расчетная длина шпонки, мм;
,
[σсм] = 146 МПа, σсм<[σсм] – условие выполняется.
Напряжения среза рассчитывают:

,
[τср] = 80 МПа, τср<[τср] – условие выполняется.
Размер опоры лапы или стойки выбирается в зависимости от внутреннего диаметра корпуса аппарата в соответствии с ОСТ 26-665-72.
Расчет опор–лап.
Выбираем опоры-лапы типа 1, исполнение 2.
1. Нагрузку на одну опору G1 рассчитывают:

где G1 – нагрузка на одну опору, Н;
Gmax – максимальный вес аппарата, Н;
n – число опор.
Gmax = g∙(mкр+mдн+mцил.об+mср. ап.+mпр+mвала+mмуфты+mмеш+ mупл.),
где Gmax – максимальный вес аппарата, Н;
g = 9,8 – ускорение свободного падения, м/с;
mкр – масса крышки аппарата, кг;
mдн – масса днища аппарата, кг;
mцил.об – масса цилиндрической обечайки, кг;
mср. ап – масса среды в аппарате при гидравлических испытаниях, кг;
mпр – масса привода, кг;
mвала – масса вала, кг;
mмуфты – масса муфты, кг;
mмеш – масса мешалки, кг;
mупл – масса уплотнения, кг.

mср.ап. = Vном∙ρср = 1,25∙1480=1850 кг;
mпр = 700 кг;
mмуфты = 50,6 кг;
mмеш = 3,72 кг;
mупл = 17,5 кг.
Gmax = 9,8∙(154,04+71,94∙2+1850+700+50,6+3,72+17,5+85,19)=29448,31Н

Проверка опоры на грузоподъёмность по условию G1 < [G]
[G]= 63кН, 7362,08 < 63000Н – условие выполняется.
2. Фактическую площадь подошвы определяют:
Афакт = а2∙b2 ,
где Афакт – фактическая площадь подкладного листа, мм2;
a2, b2 – размеры подкладного листа, мм.
Афакт = 150∙160=24000мм2
Требуемая площадь подошвы из условия прочности фундамента:
,
где Атреб – требуемая площадь подкладного листа, мм2;
G1 – нагрузка на одну опору, Н;
[q] – допускаемое удельное давление на фундамент, МПа,
[q]=14 МПа – для бетона марки 200.

Афакт > Атреб – условие выполнется.
3. Вертикальные ребра опор проверяют на сжатие и устойчивость:
,
где σ – напряжения сжатия в ребре при продольном изгибе, МПа;
G1 – нагрузка на одну опору, Н;
К1 – коэффициент гибкости ребра;
Zр = 2 – число ребер жесткости в опоре;
S1 – толщина ребра, мм;
b – вылет ребра, мм;
[σ]=100–допускаемые напряжения для материала ребер опоры, МПа;
К2 – коэффициент уменьшения допускаемых напряжений при продольном изгибе.
Коэффициент К1 определяется в зависимости от гибкости ребра λ, рассчитываемому:
,
где λ – гибкость ребра;
l – гипотенуза ребра, мм;
S1 – толщина ребра, мм.
Для опоры стойки величина l определяется из эскиза, а для опоры лапы рассчитывается:
,


По графику определяем К1 = 0,63

4,74<60 МПа – условие выполняется.
4. Проверка на срез прочности угловых сварных швов, соединяющих рёбра с корпусом аппарата выполняется исходя из:
,
где τ – напряжения сдвига в ребре, МПа;
G1 – нагрузка на опору, Н;
Δ =0,85∙S1 – катет шва, мм;
L – общая длина швов, мм;
[τ] – допускаемое напряжение в сварном шве, МПа, (не более 80 МПа)
Δ =0,85∙12 = 10,2 мм

1,49<80 МПа – условие выполняется.
Расчет опор стоек.
Расчёт производится аналогично расчёту опор-лап.
1.
,
условие прочности при заданной грузоподъёмности выполняется.
2. Афакт = a2∙b2 = 150∙160=24000 мм2
Требуемая площадь подкладного листа равна:

Таким образом, для бетона марки 200 Афакт > Атреб.
3. Проверка вертикальных ребер на сжатие и устойчивость:


