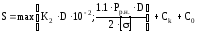
1) расчет толщины стенки цилиндрической обечайки:
Толщину стенки цилиндрической обечайки, находящуюся под внутренним давлением рассчитывают:
,
где S – толщина цилиндрической обечайки, мм;
Рр – расчетное внутреннее давление, МПа;
D – внутренний диаметр, мм;
– допускаемые напряжения, МПа;
– коэффициент сварного шва;
Ск – прибавка на коррозию, мм;
Со – прибавка на округление до стандартного размера, мм.
Т.к. корпус аппарата сварной, то необходимо учитывать влияние сварного шва. Примем =0,9 как для аппарата, сваренного ручной односторонней сваркой.

По сортаменту листовой стали выбираем толщину S=8 мм с учетом допускаемых отклонений от стандартной толщины.
2) расчет эллиптической крышки:
Для стандартных крышек исполнительная толщина стенки:

где Sэ- толщина стенки эллиптической крышки, мм

По сортаменту листовой стали выбираем толщину S=8 мм с учетом допускаемых отклонений от стандартной толщины.
1) Толщину стенки цилиндрической обечайки предварительно определяют по формуле:

где S – толщина стенки аппарата, мм;
K2 – коэффициент устойчивости;
D – внутренний диаметр обечайки, мм;
Pр.н. – расчетное наружное давление, МПа;
– допускаемое напряжение, МПа,
Ск – прибавка на коррозию, мм;
Со – прибавка на округление до стандартного размера, мм.
Коэффициент К2 находят по номограмме по вспомогательным коэффициентам К1 и К3. Коэффициент К1 находят:

где nу =2,4 - коэффициент запаса устойчивости в рабочем состоянии;
Pр.н. – расчетное наружное давление, МПа;
Е – модуль упругости, МПа.

Коэффициент К3:

где L – длина цилиндрической части оболочки, мм;
D – внутренний диаметр, мм.
Длина цилиндрической части корпуса находят:

где Н=1100 мм;
Н6=340 мм.


По номограмме находим К2=0,21.

По сортаменту листовой стали, выбираем сталь толщиной 4мм с учетом допускаемых отклонений от стандартной толщины.
После предварительного определения толщины стенки обечайки проверяют допускаемое наружное давление:

где давление из условия прочности:
,
а допускаемое давление из условия устойчивости:

Вспомогательный коэффициент B1 рассчитывают из соотношения:




Допускаемое давление равно:

Допускаемое давление больше расчетного наружного давления, 0,13≥0,05 МПа.
2) толщина стенки стандартного днища, работающего под наружным давлением, определяется:


По сортаменту листовой стали, выбираем сталь толщиной 4 мм с учетом допускаемых отклонений от стандартной толщины.
С учетом наружного и внутреннего давления выбираем толщину стенки для цилиндрической части, днища и крышки равной 8 мм.
Для вращения мешалки подбирают стандартный привод в зависимости от частоты вращения мешалки и потребляемой ею мощности, внутреннему давлению и способу установки привода на аппарате.
Мощность привода рассчитывают:

где Nэл.дв. – мощность привода, кВт;
Nвых – мощность, потребляемая мешалкой, кВт;
η1 =0,97 – КПД механической части привода;
η2 =0,99– КПД подшипников;
η3 =0,98 – потери в уплотнении;
η4 =0,99 – потери в муфте.

Подбираем тип привода 4, исполнение 1 для установки на крышке аппарата, мощностью 5,5кВт. Найдём диаметр необходимого вала.
Минимальное значение диаметра находят:

где d – диаметр вала, м;
Т‛ – крутящий момент на валу, Н∙м;
[τ] – допускаемые напряжения кручения, Па.
Крутящий момент рассчитывают:

где Т‛ – крутящий момент на валу, Н∙м;
Кσ =1,5 – коэффициент динамической нагрузки;
Nэл.дв. – мощность привода, Вт;
n – частота вращения, об/мин.


По таблице применяемости приводов типа 4 (ОСТ 26-01-1225-75) подбираем габарит 2 мощностью 5,5кВт с диаметром вала 80 мм.
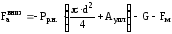
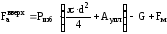
Действующее осевое усилие на вал привода аппарата определяется по формулам:
,

где Fa – осевая сила, по направлению вверх и вниз от мешалки, Н;
Ризб – избыточное давление в корпусе, МПа;
Рр.н. – расчетное наружное давление, МПа;
d – диаметр вала, мм;
Аупл – дополнительная площадь уплотнения, мм2;
G – вес вращающихся частей, Н;
Fм – осевая гидродинамическая сила мешалки, Н.
Вес вращающихся частей находят:
G = (mмеш + mмуф + mвала)∙g,
где G – вес вращающихся частей, Н;
mмеш – масса мешалки, кг;
mмуф – масса муфты, кг;
mвала – масса вала, кг;
g = 9,8 – ускорение свободного падения.
Для dм=320мм масса турбинной мешалки mмеш=3,72кг
Для d=80мм масса фланцевой муфты mмуф = 50,6кг

ρ = 7,85∙103 – плотность материала вала, кг/м3.
Длина вала равна:
Lв=Нкор-hм+l2+h1+30, мм
где Нкор – длина корпуса, мм
hм – расстояние от мешалки до днища корпуса, мм
l2 – расстояние между подшипниками, мм
hм=dм=320мм
Lв=1100-320+650+700+30=2160мм

G = (3,72+50,6+85,19) ∙9,8 = 1367,2Н
Осевая гидродинамическая сила мешалки:

где Т’ – расчётный крутящий момент, Н∙мм;
dмеш – диаметр мешалки, мм.

Аупл = 0мм2, уплотнение сальниковое
Осевая сила при избыточном давлении в корпусе равна:

Осевая сила при наружном давлении равна:

Предельная осевая нагрузка на привод F= 5300Н
F >F – предельная осевая нагрузка на привод, условие выполняется.
Сальниковые уплотнения широко применяют в аппаратах, работающих под давлением Ри ≤ 0,6 МПа и при температуре в аппарате до 2000С. Если хотя бы одно из условий не выполняется, применяется торцевое уплотнение.
Торцовое уплотнение обладает рядом преимуществ: оно работает с незначительной утечкой газа; в период нормальной работы не требует обслуживания; правильно подобранное торцовое уплотнение отличается большой устойчивостью и долговечностью.
Самый ответственный элемент торцового уплотнения- пара трения. Обычно одно кольцо изготавливают из более твёрдого материала. Наиболее широко применяются следующие материалы в различных комбинациях: кислостойкая сталь, бронза, керамика, графит, фторопласт и твердая резина. Также выбор уплотнения обусловлен относительно высоким внутренним давлением. Торцовое уплотнение подбираем по диаметру проходного вала, в нашем случае он составляет 80 мм. Основные размеры торцового вала представлены на эскизе. Все размеры указаны в миллиметрах.
В данном аппарате Ри = 1,4 МПа, следовательно уплотнение торцовое.
Схема уплотнения представлена на рисунке 3.

Рисунок 3 - Схема торцевого уплотнения
Виброустойчивость вала мешалки проверяется по условию: ω ≤ 0,7∙ω1
где ω1 – первая критическая угловая скорость вала, рад/с.
Первая
критическая скорость определяется:
,
где ω1 – первая критическая скорость, рад/с,
α – корень частотного уравнения;
L – расчетная длина вала, м;
Е – модуль упругости, Па;
I – момент инерции поперечного сечения вала, м4;
mв – масса единицы длины вала, кг/м.
Момент
инерции поперечного сечения вала
находят:

где I – момент инерции поперечного сечения вала, м4;
d – диаметр вала, м.

Масса
единицы длины вала рассчитывают:
,
где mв – масса единицы вала, кг/м;
d – диаметр вала, м;
ρ = 7,85∙103 – плотность материала вала, кг/м3.

Для определения корня частотного уравнения предварительно вычисляют:
1. Относительная координата центра тяжести мешалки:

где a1 – относительная координата центра тяжести мешалки, мм;
L1 – длина консольной части вала, мм;
Lв – длина вала, мм.
L1=
Lв-
l2=2160-650=1510мм

2.
относительная масса мешалки:

где
– приведенная масса вала;
m – масса мешалки, кг;
mв – масса единицы вала, кг/м;
L – длина вала, м.

По графику α = 2,2


Таким образом, 41,87 < 73,31, условие виброустойчивости выполняется.
2) Проверка на прочность производится из расчета на кручение и изгиб.
Напряжения от крутящего момента определяется:

где τ – напряжения кручения, МПа;
T’ – расчетный крутящий момент, Н∙мм2;
d – диаметр вала, мм.
Напряжения от изгибающего момента:
,
где σ – напряжения изгиба, МПа;
М – изгибающий момент, Н∙мм;
d – диаметр вала, мм.
Расчетный изгибающий момент М от действия приведённой центробежной силы Fц определяется из эпюры:

приведённая центробежная сила определяется:
Fц = mпр∙ω2∙r,
где Fц – центробежная сила, Н;
mпр – приведенная сосредоточенная масса вала и перемешивающего устройства, кг;
ω – круговая частота вращения вала, рад/с;
r – радиус вращения центра тяжести приведённой массы вала и перемешивающего устройства, м.
Приведенную сосредоточенную массу вала и перемешивающего устройства находят:
mпр = m + q∙mв∙Lв,
где mпр – приведенная масса вала и перемешивающего устройства, кг;
m – масса перемешивающего устройства, кг;
q – коэффициент приведения распределённой массы к сосредоточенной массе перемешивающего устройства,
mв – масса единицы длины вала, кг/м;
Lв – длина вала, м.
Коэффициент q рассчитывают в зависимости от расчетной схемы:
,
где q – коэффициент приведения;
a1 – относительная координата центра тяжести мешалки.
Радиус r определяется:

где r – радиус вращения центра тяжести приведенной массы вала и перемешивающего устройства, м;
e’ – эксцентриситет массы перемешивающего устройства с учетом биения вала, м.
ω – циклическая частота вращения вала, рад/с;
ω1 – резонансная частота, рад/с.
Эксцентриситет находят:
e’ = e + 0,5∙δ,
где e’ – эксцентриситет массы перемешивающего устройства с учетом биения вала, м.
e = 0,14…0,2 – эксцентриситет центра массы перемешивающего устройства, м;
δ =10-3 – допускаемое биение вала, м.

mпр = 3,72 + 0,17∙39,44∙2,16 = 18,2 кг