Теоретические вопросы:
Из чего состоит атомное ядро?
Какие характеристики атомных ядер являются основными?
Что такое ядерная реакция?
Что изучает дозиметрия?
Тест:
1.Число нейтронов в ядре равно:
N=A–Z
Z=2N+2
N=0,5A-Z
2. Изотопы – это:
Ядра с одинаковым N, но разными А
Ядра с одинаковым Z, но разными А
Ядра с одинаковым A, но разными Z
3. Энергию связи В можно подсчитать по формуле:
В = (Zmp + Nmn - Mя)с2
В = (Zmp + Nmn - Mя)/с2
B = (Zmp + Nmn + Mя)с2
4. Какой частицей бомбардирован дейтерий в ядерной реакции 2Н +? → 1Н +1n?
Нейтроном
Электроном
Гамма-квантом
5.Что происходит с ядром в процессе альфа-распада?
массовое число ядра уменьшается на 4 а.е.м., атомный номер элемента уменьшается на 2
массовое число не меняется, атомный номер элемента увеличивается на 1
массовое число и атомный номер элемента не меняются
6. Как изменяется полная энергия нескольких свободных покоящихся протонов и нейтронов в результате соединения их в атомное ядро?
Не изменяется
Увеличивается
Уменьшается
7. Коэффициент размножения нейтронов определяется:
захватом медленных нейтронов ядрами урана-235 с последующим делением
захватом нейтронов ядрами урана без деления
вылетом нейтронов из делящегося вещества
8. Наименьшая масса вещества, при которой возможно протекание цепной реакции, называется:
минимальной массой
цепной массой
критической массой
9. Экспозиционная доза– это:
доза внешнего жесткого рентгеновского излучения, которой соответствует по биологическому эффекту рассматриваемый вариант излучения
общее количество падающей на объект энергии излучения
сумма эффективных доз, полученных всеми членами коллектива (равна сумме индивидуальных эффективных доз)
10. В каком из перечисленных ниже приборов для регистрации ядерных излучений прохождение быстрой заряженной частицы вызывает появление импульса электрического тока в газе?
в камере Вильсона
в счетчике Гейгера
в пузырьковой камере
Задачи
№1.
Какая
часть атомов радиоактивного кобальта
распадается за 20 суток, если период
полураспада равен 72 суткам?

Дано:
СИ:

t=20 суток
T=72
суток
-
?
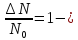
Решение:
Запишем
закон радиоактивного распада
,
где N0 – число нераспавшихся атомов в начальный момент времени; N – число нераспавшихся атомов в момент времени t;
N
=
– N – число распавшихся атомов.
N

Здесь
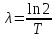
- постоянная радиоактивного распада,
равная
. Т – период полураспада.
Тогда
-
доля распавшихся атомов.
.
Ответ:
№2.
Покоившееся
ядро радона
выбросило
-частицу
(ядро
) со скоростью 16 Ммс.
Какую скорость получило оно вследствие
отдачи? Массы протона и нейтрона считать
одинаковыми и равными 1,67
кг. Ответ представьте в километрах за
секунду и округлите до целого числа.

Дано:
СИ:

=
16 Мм/c
16‧10^-3
м/c
p+=n0=1,67
кг
-?
Решение:

Ядро радона покоилось, следовательно, - частица и образовавшееся ядро полетят в разные стороны. Тогда закон сохранения импульса в скалярной форме запишем в виде
Отсюда
выразим скорость
-скорость
образовавшегося ядра.
,
где
- масса
альфа-частицы,
-
скорость альфа - частицы,
-масса
образовавшегося ядра.
Массу частицы найдем через молярную массу.
,
где М- молярная масса, NA-
число Авогадро.
(м/с).
Ответ:
км/с