Материал: 2015 [Тынчеров] Основы автоматизации ТПНП

Внимание! Если размещение файла нарушает Ваши авторские права, то обязательно сообщите нам

Расходомеры незаменимы в тех процессах автоматического регулирования, где запаздывание играет существенную роль, или при измерении быстро меняющихся расходов [27].

4.5.4. Ультразвуковые расходомеры

Принцип действия времяимпульсных ультразвуковых расхо-

домеров основан на времяимпульсном методе измерения расхода. При реализации этого метода ультразвуковые импульсы поочередно передаются вверх и вниз по течению потока. Разность времен распространения пропорциональна скорости течения потока.

В состав прибора входят (рис. 4.47):

два первичных ультразвуковых преобразователя расхода, состоящих из двух пар пьезоэлектрических преобразователей (ПЭП), установленных на трубопроводе условным диаметром 15…1800 мм;

вторичный преобразователь — электронный блок. Пьезоэлектрические преобразователи ПЭП1 и ПЭП2 работают

попеременно в режиме приемник-излучатель.

Рис. 4.47 — Схема датчика ультразвукового расходомера

Прямой цикл. Излучающий пьезопреобразователь под воздействием электрического возбуждения испускает плоскую ультразвуковую волну. Эта волна проходит сквозь поток жидкости и принимается приемным пьезопреобразователем, который преобразует полученные акустические вибрации в электрические сигналы. Расходомер анализирует принятый сигнал и регистрирует точно измеренное время прохождения акустической волны от излучающего до приемного преобразователя.

Обратный цикл. Последовательность передачи-приема сигнала предыдущего цикла повторяется, но функции излучающего и приемного преобразователей меняются местами. Таким образом, теперь поток жидкости пересекает ультразвуковую волну в противоположном

направлении. Расходомер снова регистрирует точное время прохождения импульса.

Поток материала будет влиять на измеренное время прохождения точно так же, как ветер влияет на время полета самолета, «подталкивая» его, или течение воды на скорость пловца.

Расходомер вычитает время прохождения обратного цикла из времени прохождения прямого цикла, и полученная в результате разность сигналов будет пропорциональна потоку движущейся жидкости.

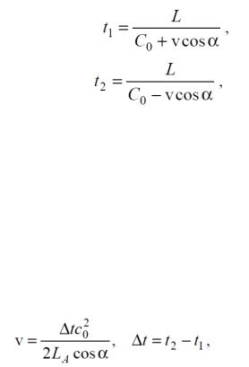
Скорость распространения ультразвукового сигнала в среде, заполняющей трубопровод, представляет собой сумму скоростей ультразвука в неподвижной воде и скорости потока воды v в проекции на рассматриваемое направление распространения ультразвука. Время распространения ультразвукового импульса от ПЭП1 к ПЭП2 и от ПЭП2 к ПЭП1 зависит от скорости движения среды в соответствии с формулами (4.35) и (4.36):

(4.35)

(4.36)

где t1, t2 — время распространения ультразвукового импульса по потоку и против потока; L — длина активной части акустического канала; С0 — скорость ультразвука в неподвижной среде; v — скорость движения воды в трубопроводе; α — угол в соответствии с рисунком

4.48.

В приборе используется метод прямого измерения времени распространения каждого индивидуального ультразвукового импульса от одного ПЭП к другому.

Из формул (4.35) и (4.36) получаем:

(4.37)

где ∆t — разность времени распространения ультразвуковых импульсов по потоку и против потока.

Умножив среднюю скорость потока v на сечение трубопровода, получим значение расхода среды Q, протекающего на месте установки ПЭП:

(4.38)

где D — внутренний диаметр трубопровода на месте установки ПЭП; K — коэффициент коррекции. Для обеспечения на всем диапазоне измерений погрешности ±2% необходимы специальные меры, требующие значительных затрат. В качестве источников ультразвуковых колебаний применимы пьезоэлектрические материалы (кварц, титанат бария, цирконат свинца).

Диапазон применяемых частот 0,5…10 МГц. Для получения точности 1% на всем диапазоне, а также при очень малых скоростях потоков (0,1…0,5 м/с) следует выбирать способ измерения, обеспечивающий независимость результатов от скорости распространения ультразвука в данной среде или использовать схемы температурной компенсации, гарантирующие высокую точность [27].

4.5.5. Расходомеры переменного уровня (щелевые расходомеры)

Щелевые расходомеры (дозаторы) основаны на зависимости уровня жидкости в сосуде от расхода при свободном истечении ее через калиброванное отверстие (щель) в дне или боковой стенке. Профиль и диаметр отверстия рассчитываются таким образом, чтобы указанная зависимость была линейной. Их используют для измерения расхода агрессивных, загрязненных или многофазных жидкостей.

Рис. 4.48 — Щелевой расходомер ДРЩ-Т (дозатор): 1 — корпус; 2 — профильная щель; 3 — пьезотрубка; 4 — регулировочная гайка; 5 — питающая линия

Щелевые дозаторы предусмотрены для измерения расхода свободно протекающих жидкостей, их нельзя устанавливать на линиях под избыточным давлением. Дозаторы типов РМ и ДРЩ-Т выпускают на максимальные расходы до 50 м3/ч, они имеют погрешность измерения расхода до 3% от номинального значения.

Дозаторы ДРЩ-Т (рис. 4.48) устанавливают в наивысшей точке трубопровода, по которому протекает жидкость без давления, в противном случае расход изменяемой среды не может быть измерен.

Корпус 1 должен быть установлен строго по уровню и отвесу, так как любое отклонение перегородки с профильной щелью 2 от вертикали вызовет погрешность в показаниях прибора, точность и линейность измерения которого определяются профилем щели и уровнем жидкости над нижней границей щели. Так как уровень измеряемой жидкости определяют с помощью пьезометрической трубки 3, то для регулирования расхода питающего воздуха должны быть предусмотрены регулятор расхода воздуха и ротаметр или другой расходомер. Питающая линия 5 должна быть врезана в систему измерения непосредственно в месте соединения пьезотрубки 3 прибора с измерительной трассой пневмопреобразователя [27].

4.5.6. Тепловые расходомеры

Тепловой расходомер основан на нагреве потока жидкости или газа посторонним источником энергии, создающим в потоке разность температур, зависящую от скорости потока и от расхода тепла в нагревателе. Разница температур между этими датчиками зависит от массового расхода. Как правило, расходомеры подобного типа состоят из двух температурных датчиков, один из которых смонтирован выше по потоку, а другой — ниже по потоку по отношению к нагревателю (рис. 4.49).

Два датчика температуры включены в соседние плечи моста Уитстона. Если расход материала в трубопроводе равен нулю, то материал в трубопроводе разогревается симметрично относительно нагревателя, и сопротивления термопреобразователей ТП1 и ТП2 одинаковы. Мостовая схема уравновешена и показания вторичного прибора равны нулю. Как только возникает движение материала в трубопроводе, равновесие нарушается. Термопреобразователь ТП1 окажется более холодным, чем ТП2. Их сопротивления также будут различаться.

Рис. 4.49 — Тепловой расходомер

Разница потенциалов разбаланса моста является мерой разности температур и, следовательно, массового расхода жидкости. Такие приборы применяются для измерения малых расходов газовых потоков и жидкостей в диапазоне 2,5×10–10 г/с...5×10–3 кг/с с точностью ±1%. Для измерения больших расходов можно использовать байпасную (обводную) линию, геометрические параметры выбирают такими, чтобы расход через датчик составлял постоянную часть от общего расхода [27].

4.5.7. Вихревые расходомеры

Вихревой расходомер — это расходомер, основанный на зависимости от расхода частоты образования вихрей, возникающих в потоке в процессе обтекания тела.

Когда поток жидкости обтекает тело, слои жидкости, прилегающие к поверхности тела, замедляются. Для обтекаемого тела эти пограничные слои следуют за контуром тела до места их встречи за объектом. В этом случае в потоке возникают небольшие возмущения. Для плохо обтекаемых тел пограничные слои отрываются от тела намного раньше и создают большие возмущения в потоке. Когда пограничный слой отходит от поверхности тела, он закручивается в вихри. Эти вихри, называемые вихрями Кармана, генерируются попеременно с верхней и нижней поверхности тела (рис. 4.50). В результате возникают два параллельных ряда вихрей, движущихся вниз по потоку с одинаковым расстоянием между вихрями в каждом ряду.