Материал: 2015 [Тынчеров] Основы автоматизации ТПНП

Внимание! Если размещение файла нарушает Ваши авторские права, то обязательно сообщите нам

(4.31)

где Q0 — объемный расход; Qм — массовый расход; α — коэффициент расхода; F0 — площадь отверстия сужающего устройства.

Коэффициент расхода газовых и жидкостных потоков α есть отношение действительного расхода к теоретически возможному и учитывает сопротивление потоку, оказываемое трубопроводом и сужающим устройством. Определяется коэффициент расхода по экспериментальным данным, теоретически он вычислен быть не может. Величина коэффициента расхода определяется многими факторами, а именно: конструкцией дроссельного устройства, значением критерия Рейнольдса, состоянием поверхности (шероховатостью) дроссельного устройства и трубопровода, свойствами протекающей жидкости и отношением диаметра отверстия в дроссельном устройстве к диаметру трубопровода. Это отношение характеризуется числом m = (d1/D)2, которое называется модулем сужающего устройства.

Число Рейнольдса Re определяется режимом течения жидкости или газа. В зависимости от режима различают ламинарное течение и турбулентное течение. Оно является безразмерным числом, зависящим от скорости потока v, вязкости m, плотности жидкости r и характерной длины элемента потока L, т. е.

Re = rvl/m.

(4.32)

Влияние числа Рейнольдса на коэффициент расхода сказывается только до некоторого его предельного значения Reпред, выше которого перестает зависеть от него и остается постоянным. Поэтому при измерении расхода необходимо, чтобы действительное значение числа Рейнольдса при данном расходе было выше предельного.

Основные типы сужающих устройств и их характеристики.

Сужающие устройства делятся на нормальные и ненормализованные. К нормальным сужающим устройствам относятся дисковые диафрагмы, сопла и трубы Вентури. Для них справедливы табличные значения коэффициента расхода α, модуля m и числа Рейнольдса предельного Reпред.

Нормальные сужающие устройства удовлетворяют требованиям

[27].

К ненормализованным (специальным) сужающим устройствам относятся устройства индивидуального изготовления, сдвоенные и сегментные диафрагмы, сопла с профилем четверти круга, диафрагмы с двойным скосом и др. Эти сужающие устройства применяются при особых случаях измерения расхода. Например, сдвоенные диафрагмы применяются для измерения расхода при малой линейной скорости потока, сегментные — при измерении расхода газов и жидкостей, содержащих взвешенные частицы. В отличие от нормальных сужающих устройств они требуют индивидуальную градуировку для тех пределов значений Re, при которых каждое из них будет применяться.

Сужающие устройства необходимо выбирать на основании следующих положений:

а) нормальные диафрагмы применяются для трубопроводов диаметром D ≥ 0,05 м; допустимый модуль диафрагмы лежит в пре-

делах 0, 05 ≤ m ≤ 0, 7;

б) сопла рекомендуется устанавливать для трубопроводов диаметром D ≤ 0,2 м при измерении расхода газа, перегретого пара или агрессивных жидкостей и газов, если m ≤ 0, 6;

в) трубы Вентури устанавливают в тех случаях, когда требуется повышенная точность измерения и когда величина остаточной потери давления имеет решающее значение.

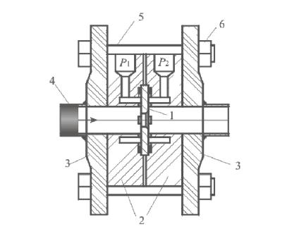
Рис. 4.41 — Устройство камерной диафрагмы

Диафрагмы. Нормальная диафрагма представляет собой тонкий металлический диск 1, имеющий круглое отверстие, расположенное концентрично оси трубы, с прямоугольной кромкой на стороне входа и со скосом на стороне выхода (при значительной толщине диска диафрагмы). Поток входит в цилиндрическую часть отверстия. Отбор давлений до и после диафрагмы осуществляется, как правило, при помощи кольцевых камер 2, как показано на рисунке 4.41. В этом случае сужающее устройство называется камерной диафрагмой. В трубопровод кольцевые камеры вместе с диафрагмой устанавливаются с использованием фланцев 3, соединенных при помощи болтов или шпилек 5 и гаек 6. Трубы 4 соединяются с фланцами при помощи сварки.

Кольцевые камеры позволяют несколько сгладить случайные изменения давления до и после сужающего устройства.

Толщина диска диафрагмы не должна превышать 0,05 D20. Наименьшая толщина диафрагмы при передаче давления ∆Р ≥ 15696 Н/м2 (1600 кгс/м2) определяется расчетным путем, исходя из условий механической прочности диска.

Втрубопроводах диаметром более 0,4 м диафрагмы могут быть установлены без кольцевых камер 2.

При отборе перепада давления через отдельные отверстия без

кольцевых камер диаметр отверстий должен быть 0,03∆20, но не менее 0,04 м и не более 0,015 м, а при измерении расхода влажного газа

не менее 0,008 м и не более 0,015 м.

Вслучае больших трубопроводов диаметром более 0,5 м отбор давления по сторонам диафрагмы производится через четыре и более пар отверстий по периметру трубопровода, соединяющих полости трубопровода с двумя усредняющими кольцевыми трубками, от которых импульсные трубки отходят к дифманометру.

Сопло. Устройство сопла показано на рисунке 4.42. Давление потока перед соплом и после него отбирается обычно при помощи кольцевых камер 1 и 2. Сопло 3 состоит из профильной входной части, цилиндрической средней части и выходного конуса. Так как сужение потока происходит плавно, то зоны вихрей перед соплом не возникают. Это приводит к меньшей потере давления в потоке за сужением по сравнению с диафрагмой. Сопло, для которого известно значение коэффициента расхода α, называется нормальным соплом.

Рис. 4.42 — Нормальное сопло (стрелкой указано направление потока)

Значительно более низкая стоимость изготовления диафрагм обусловливает их преимущественное применение в качестве сужающих устройств при измерениях расхода. Однако сопла также имеют некоторые важные преимущества:

а) в процессе эксплуатации в результате коррозии и оседания загрязнений входная кромка диафрагмы скругляется и приобретает форму входного профиля сопла. Коэффициент сжатия струи и коэффициент расхода диафрагмы увеличиваются. В соплах так же, как и в диафрагмах, загрязняющие среду частицы оседают на входе, однако основная выходная часть сопла остается длительное время чистой. В отличие от диафрагм по мере загрязнения входных отверстий сопел коэффициент расхода сопла уменьшается;

б) основные конструктивные размеры сопел в отличие от размеров диафрагмы определяются кратными значениями D или d, что соответствует требованиям геометрического подобия; основные размеры диафрагм (угол скоса кромки и длина цилиндрической части) не могут отвечать указанному требованию;

в) перепады давления, возникающие в соплах и диафрагмах, при одинаковых расходах и соотношениях размеров проходных сечений обратно пропорциональны квадрату коэффициента расхода, так что перепад давлений на соплах при одинаковом значении m составляет лишь 40% перепада давления на диафрагме. Именно поэтому сопла применяют для измерений таких расходов, при которых соотношение размеров сечений диафрагм при заданном измерителе перепада давления оказывается слишком большим, например, при измерении расхода пара высокого давления, когда вследствие необходимости экономии дорогостоящих материалов применяют трубопроводы малого диаметра и допускают высокие скорости протекания пара.

Труба Вентури. Устройство трубы Вентури показано на рисунке 4.43. Эффект Вентури — падение давления в момент, когда жидкость или газ проходит через суженную часть трубы. Этот эффект

назван в честь итальянского физика Джовани Вентури (1746–1822). Интенсивность всасывания зависит от величины перепада давления в трубке и диаметра самой трубки. Она применяется для труб диаметром 0,1…0,8 м при условии: 0,2 ≤ m ≤ 0,5.

Угол входного конуса равен 21°, угол выходного конуса должен удовлетворять условию: 5° ≤ ≤ 15°.

Отбор статических давлений осуществляется не менее чем шестью отверстиями через кольцевые камеры. Отверстия располагаются на расстоянии D/2 и d/2 от начала и конца входного конуса, их диа-

метр d ≥ 0,003 м.

Рис. 4.43 — Нормальная труба Вентури

Трубы Вентури сложнее изготовить, они имеют значительные габариты, однако их следует применять в тех случаях, когда предъявляются жесткие требования к минимизации остаточных потерь давления [27].

4.5.2. Расходомеры постоянного перепада давления

Ротаметры предназначены для измерения объемного расхода плавно меняющихся однородных потоков чистых или слабозагрязненных жидкостей и газов с дисперсными включениями.

Принцип действия ротаметров (стеклянных и металлических) основан на восприятии динамического давления потока измеряемой среды чувствительным элементом ротаметра — поплавком, помещенным в коническую трубу, по которой вверх проходит поток измеряемой среды.

При изменении положения поплавка проходное сечение между ним и внутренней стенкой конической трубы изменяется, что ведет к изменению скорости потока в проходном сечении, а следовательно, и к изменению перепада давления на поплавке. Перемещение поплавка происходит до тех пор, пока перепад давлений не станет равным мас-