2.Анализ строительных свойств грунта под подошвой фундамента стены 3
3. Определение активного и пассивного давления на подпорную стену 4
4. Определение активного давления графическим способом (построение Понселе) 6
5. Определение напряжений, действующих по подошве фундамента 7
6. Расчёт устойчивости стены против опрокидывания и сдвига по подошве фундамента 8
7. Проверка условия ограничения крена подпорной стенки 9
8. Пример программного расчета основания подпорной стенки по двум предельным состояниям с использованием сайта www.BuildCalc.ru. 11
Размер стены:
ширина по верху a = 1,4 м;
ширина подошвы стены b = 5,5 м;
высота H = 9м;
высота фундамента d = 3 м;
угол наклона задней грани к вертикали ε = - 4 ̊
Грунт засыпки:
песок пылеватый, удельный вес γзас = 19 кН/м3
угол внутреннего трения φ = 29 ̊
угол трения грунта засыпки о заднюю грань стены δ = 2 ̊
угол наклона поверхности засыпки к горизонту = 6 ̊
засыпку принимаем как рыхлый грунт с коэффициентом пористости е=0,7 и модулем общей деформации в Е0=6 мПа.
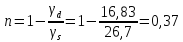
Грунт под подошвой фундамента (супесь):
удельный вес γ = 20,2 кН/м3
влажность = 0,2
удельный вес твердых частиц γs = 26,7 кН/м3
предел текучести L = 0,24
предел раскатывания = 0,19
модуль общей деформации E0 = 20,8 Мпа
угол внутреннего трения φ = 28 ̊
сцепление с = 16 кПа
Нагрузка на поверхности засыпки:
q = 30 кПа
Цели расчета. Рассчитать давление грунта на подпорную стену, сделать поверочные расчеты, дать заключение о соответствии (или несоответствии) конструкции подпорной стены требованиям расчета по первой и второй группам предельных состояний, обосновать рекомендации по необходимым изменениям
Определяем:
1)Удельный вес сухого грунта

2)Пористость

3)Коэффициент пористости

4)Показатель текучести

5)Число пластичности

По числу пластичности грунт является супесью, по показателю текучести супесь пластичная. Условное расчётное сопротивление пластичной супеси с коэффициентом пористости R0=222,5 кПа. Значение R0 получено путем интерполяции таблицы Б5 методических указаний.
6)Расчётное сопротивление грунта под подошвой фундамента
,
где k1 = 0,06 и k2 = 2,0

Второе
слагаемое
принимаем
равным нулю, так как d=3,0
м.
Заменим равномерно распределённую нагрузку q = 30 кПа слоем грунта приведённой высоты:

Рассчитаем коэффициент активного давления:



Найдём ординаты эпюры интенсивности активного давления:
На уровне верха стены

На уровне подошвы

Тогда активное давление

Равнодействующая активного давления будет приложена к задней поверхности стены в точке, отстоящей по вертикали от подошвы на расстоянии

Горизонтальная и вертикальная составляющие интенсивности активного давления следующие:




Соответственно вертикальная и горизонтальная составляющие активного давления


Интенсивность пассивного давления на отметке подошвы фундамента

Пассивное давление, действующее на переднюю грань стены

Снижаем величину отпора

Эпюры интенсивности давления представлены в Приложении 1.
Построение Понселе выполняется с целью проверки правильности нахождения активного давления аналитическим способом.
Построение представлено в Приложении 2.
В результате построения получен треугольник площадью

Активное
давление, действующее на стену высотой


Для определения доли давления, приходящегося на стену высотой H, находим ординаты эпюр интенсивности активного давления, найденного графически, на уровне подошвы фундамента и верха подпорной стены:


Тогда активное давление, найденное графически,

Расхождение с давлением, найденным аналитически, составляет

Что вполне допустимо.
Таблица 1
|
Нормативная сила, кН |
Расчётная сила, кН |
Плечо, м |
Момент, кН*м |
|
|
|
1,36 |
-711,95 |
|
|
|
0,18 |
-79,90 |
|
Eаг
=
|
Eаг
=
|
3,39 |
+1417,29 |
|
Eав
=
|
Eав
=
|
2,99 |
+43,65 |
|
Eп = 81,32 |
Eп = 81,32 * 1 = 81,32 |
1,00 |
-81,32 |
Моменты
вычисляются относительно осей, проходящих
через центр тяжести подошвы фундамента
(точка О). Равнодействующие активного
и пассивного
давления прикладываем к стене на уровне
центра тяжести эпюр интенсивности
давления. Вес стены и фундамента – в
центре тяжести соответствующего
элемента.
Сумма расчетных вертикальных сил

Сумма моментов расчетных сил

Площадь и момент сопротивления подошвы фундамента стены.

рср
=
=
= 173,24 кПа
=
= 173,24
114,79
рmaх = 289,83 кПа, рmin = 56,65 кПа.
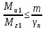
Сопоставим найденные напряжения, с расчетным сопротивлением:


- Все условия выполняются.
Таблица 2
|
Нормативная сила, кН |
Расчетная сила, кН |
Плечо, м |
Моменты, кН*м |
|||
|
Удерживающих
сил
|
Опрокидывающих
сил
|
|||||
|
|
|
4,11 |
1936,41 |
- |
||
|
|
|
2,93 |
1170,58 |
- |
||
|
|
|
3,39 |
- |
1700,77 |
||
|
|
|
5,74 |
- |
100,56 |
||
|
|
|
1,00 |
81,32 |
- |
||
|
|
3188,31 |
1801,42 |
||||
В табл. 2 моменты вычислены относительно точки О1

т.
е. условие устойчивости стены против
опрокидывания
выполняется.
Сдвигающая сила

Удерживающая сила

Здесь
коэффициент
трения кладки по грунту.

т.
е. условие устойчивости стены против
сдвига
НЕ выполняется.