Теоретические вопросы:
Суть опытов Резерфорда по рассеянию альфа-частиц.
Приведите три постулата Бора.
Опишите модель атома по Томсону.
Объясните её отличия от модели атома по Резерфорду.
Тест:
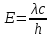
Формула энергии фотона:



Закон взаимодействия массы и энергии (Формула Эйнштейна):



Формула Ридберга для серии Бальмера:

)
Укажите массу покоя фотона:



Напишите формулу для определения импульса фотона:



Скорость света...
является постоянной независимо от среды
зависит от среды
уменьшается при удалении от источника излучения
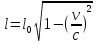
Выберите верную формулу для определения длины в движущейся системе отсчёта:



Выберите верную формулу для определения коротковолновой границы рентгеновского спектра:



Выберите верное утверждение:
Ядро атома состоит из частиц, именуемых нуклонами, и имеет положительный заряд
Нейтроны удерживаются в ядре силами электромагнитного взаимодействия
В ядре атома вперемежку располагаются электроны и протоны
Выберите неверное утверждение:
Фотон ведёт себя одновременно и как волна, и как частица
Альфа-частица представляет собой атом гелия без электронной оболочки
Релятивистская масса фотона равна нулю
Задачи:
№1. С космического корабля, удаляющегося от Земли со скоростью 0,7c, стартует ракета в направлении движения корабля. Скорость ракеты относительно Земли равна 0,96с. Чему равна скорость ракеты относительно космического корабля? (с – скорость света)
Дано:
СИ

-?
Решение:
Пусть
– скорость корабля относительно Земли,
– скорость ракеты относительно корабля,
а
-- скорость ракеты относительно Земли,
тогда
,
а

По закону релятивистского сложения скоростей --

--
получаем:
(
,
далее:
,
и
= 0,8c
Ответ: 0,8c
№2.
Определить угол θ рассеяния фотона
после соударения со свободным электроном,
если изменение длины волны (∆λ) при
рассеянии равно 3,62 пм (
)
Дано:
СИ


-?
Решение:
,
где h
– постоянная Планка, m
– масса фотона, а с – скорость света
→ θ
= 120⁰
Ответ: 120⁰