Таблица 6.2
Ведомость объемов с месячной разбивкой
№ |
|
Вид работ |
|
|
Ссылка |
|
|
Общий |
|
|
|
Объем по месяцам |
|
||||
|
|
|
|
|
|
|
|
|
|
|
|
|
|||||
п/п |
С |
на ГЭСН |
Ед.изм. |
|
объем |
|
|
|
|
|
|
|
|||||
|
май |
|
июнь |
|
июль |
август |
сентябрь |
||||||||||
|
|
|
|
|
|
|
|
|
|||||||||
|
|
|
|
|
|
|
|
|
|
|
|||||||
|
|
|
|
|
|
|
|
|
|
|
|
|
|||||
|
|
|
|
|
|
|
|
|
|
|
|
|
|
|
|
|
|
1 |
|
|
2 |
|
|
|
3 |
4 |
|
5 |
6 |
|
7 |
|
8 |
9 |
10 |
|
Строительство |
песчаного под- |
27-04- |
|
|
|
|
|
|
|
|
|
|
||||
1 |
стилающего |
слоя |
толщ ной |
001-01 |
100 м3 |
|
200 |
40 |
|
60 |
|
100 |
|
|
|||
|
18 см |
|
|
и |
|
|
|
|
|
|
|
|
|
|
|||
|
|
|
|
|
|
|
|
|
|
|
|
|
|
|
|
|
|
|
Строительство нижнего слоя ос- |
27-04- |
|
|
|
|
|
|
|
|
|
|
|||||
2 |
нования |
из |
щебня |
фракции |
007-03 |
1000 м2 |
|
90 |
|
|
27 |
|
27 |
36 |
|
||
|
40 70 мм толщиной 15 см |
б |
|
|
|
|
|
|
|
|
|||||||
|
Строительство слоя щебеночно- |
27-04- |
|
|
|
|
|
|
|
|
|
|
|||||
3 |
го основания, обработанного в |
015-01 |
1000 м2 |
|
90 |
|
|
18 |
|
27 |
35 |
10 |
|||||
|
верхней |
части |
пескоцементной |
|
|
|
|
|
|
|
|
|
|
|
|||
|
смесью при толщине слоя 18 см |
|
|
|
|
|
|
|
|
|
|
|
|||||
4 |
Устройство покрытия их черно- |
27-06- |
1000 м2 |
|
70 |
|
|
|
|
10 |
50 |
10 |
|||||
|
го щебня толщиной 6 см |
|
А |
|
|
|
|
|
|||||||||
|
|
010-01 |
|
|
|
|
|
|
|
|
|
|
|||||
|
Устройство покрытия толщиной |
27-06- |
|
|
|
|
|
|
|
|
|
|
|||||
5 |
4 см из горячей асфальтобетон- |
020-01 |
1000 м2 |
70 |
|
|
|
|
|
30 |
40 |
||||||
|
ной смеси |
|
|
|
|
|
Д |
|
|
|
|||||||
|
Примечание. В таблице приведен ограниченный перечень видов, объемов работ и интервалов строительного проекта |
||||||||||||||||
автомобильной дороги . |
|
|
|
|
|
|
И |
|
|||||||||
|
|
|
|
|
|
|
|
|
21 |
|
|||||||
|
|
|
|
|
|
|
|
|
|
|
|
|
|
|
|
||
7. |
АВТОМАТИЗИРОВАННЫЙ РАСЧЕТ РЕСУРСОВ |
ДЛЯ ВЫПОЛНЕНИЯ СТРОИТЕЛЬНОГО ПРОЕКТА |
|
В соответствии с инструкцией [6] создают объект в программе |
|
АУРС- |
ибАДИ и выполняют ввод видов и объемов работ. Наимено- |
вание объекта: фамилия и номер группы студента. Количество интер- |
|
С |
|
валов планового периода 12. |
|
Объемы работ в программе распределяют по интервалам в со- |
|
ответств |
с данными из главы 4 курсового проекта. В курсовом |
проекте осуществляют разбивку не более чем по 11-ти интервалам. В 12 интервал зап сывают объемы по каждому виду работ в целом на объект. Затем выполняют расчеты по программе. Потребность в ресурсах, необход мых для выполнения требуемых объемов работ, рас-
считываетсяработ по следующ м формулам:
по программе в физическом и стоимостном выражении.
В программе АУРС расчеты выполняются на заданные объемы
Маш ны:
|
|
|
Bijn Vin Aij , |
|
|
(7.1) |
|
где Bijn |
– |
|
в j-х машинах для i-го вида работ в n-м интер- |
||||
|
|
потребность |
|
|
|
||
|
|
|
А |
|
|
||
вале, маш.-ч; V in – о ъем i-го вида работ в n-м интервале; Aij – норма |
|||||||
потребности в маш.-ч j-го вида машин на единицу измерения i-го вида |
|||||||
работ. |
|
|
|
Д |
|
||
|
|
|
|
|
|
|
|
Материалы: |
|
|
|
|
|
||
|
|
|
Gijn Vin |
Dij , |
|
|
(7.2) |
|
|
|
|
|
И |
||
где Gijn |
– потребность в j-м материале в соответствующих единицах |
||||||
измерения для i-го вида работ в n-м интервале; Dij |
– норма в едини- |
||||||
цах измерения j-го материала для i-го вида работ. |
|
|
|||||
Трудозатраты: |
|
|
|
|
|
||
|
|
|
TOin |
Vin toi ; |
|
|
(7.3) |
|
|
|
TRin Vin tri ; |
|
|
(7.4) |
|
22
TMin Vin tmi , |
(7.5) |
где TOin ,TRin ,TM in – потребности трудозатрат соответственно общая, |
|
рабочих на ручных работах, машинистов для i-го вида работ в n-м ин- |
|
тервале, чел.-ч; toi ,tri ,tmi – нормы трудозатрат, чел.-ч, соответствен- |
|
С |
|
но общая, рабочих на ручных работах, машинистов для i-го вида ра- |
|
бот. |
|
Распечатки сводных ведомостей потребности машин, материалов, |
|
трудозатрат оформляют в виде прил. 3 к курсовому проекту. В главе |
|
6 по результатам расчета ресурсов дают пояснения и строят эпюры: |
||||||||
бивкой |
|
|
|
|
|
|
|
|
потребности маш н j-го вида в n-м месяце M jn , маш.-ч, с раз- |
||||||||
по месяцам по трем основным (максимально загруженным) |
||||||||
машинам; |
|
|
|
|
|
|
|
|
работы |
|
|
|
|
||||
потребности о щ х трудозатрат, |
чел.-ч, и потребности |
общей |
||||||
численности рабоч х ( машинистов и рабочих на ручных работах). |
||||||||
Используя данные о режиме |
|
|
|
машин по месяцам в тече- |
||||
ние года (коэфф ц ент сменности Knсм ), месячные балансы рабочего |
||||||||
|
А |
|
|
|||||
времени Бn (пр л. 2) определяют потребное количество машин дан- |
||||||||
ного вида в каждом месяце для выполнения полного комплекса работ |
||||||||
по формуле |
|
|
|
|
|
|
|
|
|
|
|
M jn |
|
|
|
|
|
|
N jn |
Д |
|
|||||
|
|
Б |
|
K см . |
|
(7.6) |
||
|
|
|
n |
n |
|
|
|
|
Расчет потребности трудовых ресурсов используют также для |
||
построения эпюр общих трудозатрат (чел.-ч) с месячной разбивкой. |
||
|
И |
|
Численность рабочих в n-м месяце Ч n определяют с учетом баланса |
||
рабочего времени в n-м месяце Бn и общей потребности трудовых ре- |
||
сурсов в n-м месяце TOn : |
|
|
|
Ч n TOn / Бn . |
(7.7) |
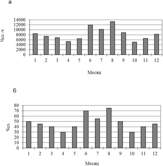
На рис. 7.1, а, б приведены: общая эпюра потребности трудозатрат (чел.-ч), эпюра потребности рабочих с месячной разбивкой.
Если календарный график в проекте составлен с другой интервальной разбивкой (не месяц, а неделя, декада), вносят соответствующие коррективы в формулы расчета ресурсов при определении баланса рабочего времени [формулы (7.6) и (7.7)].
23
Си б А
Рис. 7.1. Эпюры трудозатрат: аД– потребность чел.-ч по месяцам;
б – распределение численности рабочих по месяцам И
24
троительный проект должен быть организован таким образом, чтобы обеспечить рациональное использование всех видов ресурсов.
Ритмичная работа по проекту оказывает непосредственное влияние на рост производительности труда, улучшение использования основных и оборотных производственных фондов, повышение эффективности про зводства. Для определения ритмичности производства используют понят я «ритмичность выпуска продукции» и «ритмич-
ность про |
зводства». |
|
|
|
|
|
|
Ритм чность выпуска характеризуется сдачей готовой продукции. |
|||||||
С |
|
|
|
|
|
|
|
В завис мости от стад и производственного процесса ею могут быть |
|||||||
отдельные конструкт вные элементы сооружения в натуральных по- |
|||||||
казателях, а также законченные этапы работ. |
|
|
|||||
Р тм |
чность |
производства |
характеризуется |
использованием |
|||
хся в нал |
ч ресурсов: |
|
силы и средств механиза- |
||||
имеющ |
|
|
|
|
|||
|
рабочей |
|
|
|
|||
ции. |
|
А |
|
||||
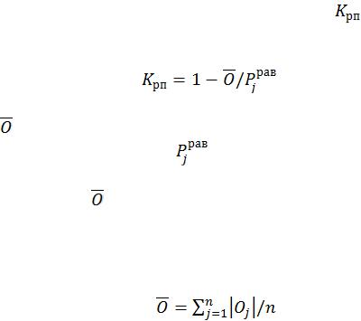
Коэфф ц ент р тмичности производства |
рассчитывают по |
||||||
формуле |
|
|
|
|
|
|
|
|
|
|
|
, |
|
|
(8.1) |
|
|
|
Д |
||||
где отклонение от равномерного уровня трудовых затрат в пе- |
|||||||
риоде производства работ; |
уровень трудовых затрат в j-м ин- |
||||||
тервале при их равномерном использовании. |
|
|
|||||
Значение |
можно |
определять как среднее арифметическое |
|||||
|
|
|
|
|
|
И |
|
значение (по модулю) или как среднее квадратическое отклонение. |
|||||||
Для расчета среднего арифметического значения используют форму- |
|||||||
лу |
|
|
|
|
|
|
|
|
|
|
|
, |
|
|
(8.2) |
где
– величина отклонения от равномерного уровня трудовых затрат в j-м интервале, определяемая как
; n количество интервалов; Pj уровень трудовых затрат в j-м интервале.
Значения
и
могут измеряться в долях единицы, в % или натуральных показателях, например, чел.-ч, маш.-ч и т.д.
25