Материал: 09 ЛК - Операционный усилитель. Четырехполюсники

Внимание! Если размещение файла нарушает Ваши авторские права, то обязательно сообщите нам

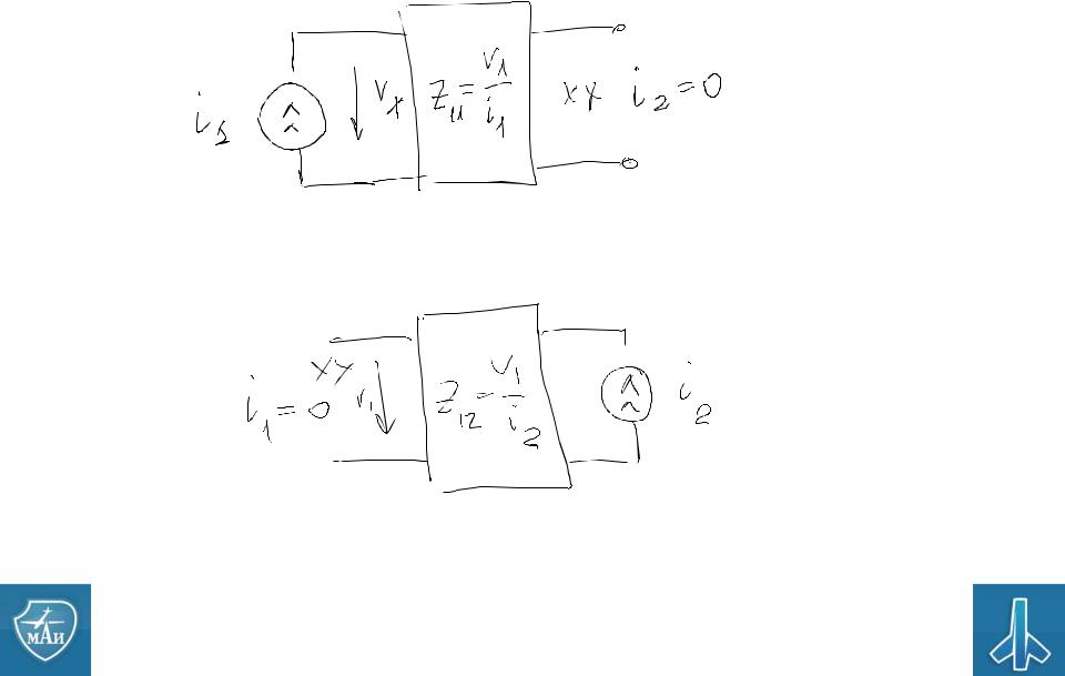
Четырехполюсники

Институт № 4 «Радиоэлектроника,

 

Кафедра «Теоретическая

инфокоммуникации и информационная

16

радиотехника»

безопасность»

 

 

 

Четырехполюсники

Институт № 4 «Радиоэлектроника,

 

Кафедра «Теоретическая

инфокоммуникации и информационная

17

радиотехника»

безопасность»

 

 

 

Четырехполюсники

Институт № 4 «Радиоэлектроника,

 

Кафедра «Теоретическая

инфокоммуникации и информационная

18

радиотехника»

безопасность»

 

 

 

Четырехполюсники

Институт № 4 «Радиоэлектроника,

 

Кафедра «Теоретическая

инфокоммуникации и информационная

19

радиотехника»

безопасность»

 

 

 

Четырехполюсники

Институт № 4 «Радиоэлектроника,

 

Кафедра «Теоретическая

инфокоммуникации и информационная

20

радиотехника»

безопасность»