Материал: 09 ЛК - Операционный усилитель. Четырехполюсники

Внимание! Если размещение файла нарушает Ваши авторские права, то обязательно сообщите нам

Кафедра «Теоретическая радиотехника»

www.mai-trt.ru

ТЕОРИЯ ЭЛЕКТРИЧЕСКИХ ЦЕПЕЙ

Лекция. Операционный усилитель. Четырехполюсники

Коновалюк М.А. konovaluk@mai-trt.ru

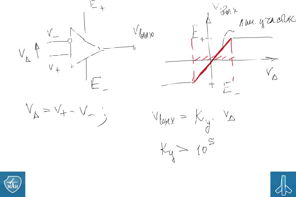
Операционный усилитель

Институт № 4 «Радиоэлектроника,

 

Кафедра «Теоретическая

инфокоммуникации и информационная

2

радиотехника»

безопасность»

 

 

 

Операционный усилитель

Институт № 4 «Радиоэлектроника,

 

Кафедра «Теоретическая

инфокоммуникации и информационная

3

радиотехника»

безопасность»

 

 

 

Операционный усилитель

Институт № 4 «Радиоэлектроника,

 

Кафедра «Теоретическая

инфокоммуникации и информационная

4

радиотехника»

безопасность»

 

 

 

Операционный усилитель

Институт № 4 «Радиоэлектроника,

 

Кафедра «Теоретическая

инфокоммуникации и информационная

5

радиотехника»

безопасность»