Преподаватель: Кузнецова Ирина Дмитриевна
Технико-экономическое обоснование – это проект, который осуществляется по укрупненным нормативам. Оно связано с проектирование нового строительства, перепроектированием, (выгодно ли строить?) реконструкция, техническое перевооружение, модернизация и т.д.
Проектирование – взаимосвязанный комплекс работ, итогом выполнения которых является техническая документация, используемая при строительстве или реконструкции зданий или сооружений.
Проектирование нового строительства, реконструкции и технического перевооружения действующих предприятий осуществляется на основании принятых или утвержденных технико-экономических обоснований (ТЭО) или технико-экономических расчетов (ТЭР) строительства.
Новые строительства, реконструкция и техническое перевооружение – это виды воспроизводства основных фондов и реализация капиталовложений, нашедших отражение в технико-экономическом обосновании.
Новые строительства – это ввод нового объекта или ввод новых производственных мощностей (максимальный выпуск продукции оборудованием).
Реконструкции – это осуществление капитальных вложений при изменении производственных зданий, пристроек, технологических линий и оборудования технического перевооружения – ввод нового оборудования или технологических линий, обеспечивающих увеличение производственных мощностей и/или улучшения качества продукции.
В состав основных участников проекта входят: заказчик, инвестор, проектировщик, подрядчик.
Заказчик – главный участник, заинтересованный в осуществлении проекта и достижении поставленной цели. Могут быть как физические лица, так и юридические лица. За счет средств заказчика осуществляется финансирование проекта.
Инвестор вкладывает свои средства в проект. Могут быть государственные и муниципальные органы, организации, юридические лица всех форм собственности, инвестиционные банки, общественные организации, иностранные юридические и физические лица. Инвестор может вкладывать инвестиционный капитал в виде финансовых ресурсов, имущества, интеллектуального продукта. Инвесторов в проекте может быть несколько, но цель одна – получение прибыли.
Проектировщик разрабатывает технико-экономическое обоснование, проектно-сметную документацию, выполняет проектно-изыскательские работы и т.д.
Подрядчик выполняет отдельные работы или комплекс работ по реализации проекта в соответствии с контрактом. Генеральный подрядчик заключает договора с субподрядчиками на выполнение отдельных работ/услуг.
Поставщик осуществляет поставку материалов, конструкций, полуфабрикатов, оборудования.
Руководитель проекта планирует, контролирует, координирует работу всех участников на протяжении всего жизненного цикла проекта. Руководитель возглавляет команду проекта, состав которой зависит от масштабов, сложности и других характеристик проекта.
Технико-экономическое обоснование – это документ, в котором представлена информация, из которой выводится целесообразность или нецелесообразность создания продукта/услуги.
Технико-экономическое обоснование – это анализ, расчет, оценка экономической целесообразности осуществления предполагаемого проекта, строительства сооружений, предприятий, создание нового технического объекта, модернизация и реконструкция существующих объектов.
Технико-экономическое обоснование – это отчет по результатам исследования, цель которого определить является ли проект выполнимым и эффективным с точки зрения затрат.
Технико-экономическое обоснование имеет основные этапы разработки:
Предпроектный этап (проводится изыскание, которое условно можно подразделить на экономическое и технологическое)
На этом этапе проводят маркетинговые исследования в целях изучения предполагаемого района строительства, его климатических и географических условий. А также установление наличия в нем предприятий и определение их положения на рынке предполагаемых ими услуг. Анализируют работу конкурентов, определяют контингент потребителей и выявляют перспективные потребности населения в товарах/услугах, определяют источники снабжения сырьем, полуфабрикатами и энергоресурсами (вода, газ и т.д.)
На основе производственной программы предприятия рассчитывают основные экономические показатели проектируемого предприятия: товарооборот, валовый доход, издержки, прибыль.
Проектный этап включает в себя разработку документации (технологической, архитектурно-строительной, ген. План, санитарно-технический, смета, экономическая инфраструктура)
Послепроектный этап. Происходит осуществление авторского надзора за строительством.
При разработке технико-экономического обоснования внимание акцентируется на следующее:
Подготовку и изложение сведений о проекте
Мотивация капиталовложений
Описание конечного продукта, получившегося при внедрении проекта и планируемой прибыли
Описание финансовых источников (финансирования) для реализации технико-экономического обоснования
Экономические показатели, подтверждающие необходимость внедрения и строительства
Технико-экономическое обоснование содержит расчетный материал, графики, таблицы, которые подтверждают хозяйственную необходимость и своевременность его реализации, а также экономическую целесообразность.
Предпринимательский проект – это проект организации производства продукции, проведения работ и оказания услуг в любой сфере деятельности, направленный на получение прибыли.
Основным стержнем предпринимательского проекта является оценка его возможности осуществления и определения степени выгодности для предпринимателя, а также определение оценки рыночной и финансовой эффективности.
Ценность технико-экономического обоснования определяется тем, что оно:
дает возможность определить жизнедеятельность будущего предприятия в условиях конкуренции
содержит ориентиры, которые позволяют предпринимателю действовать на каждом этапе становления предприятия
служит главным инструментом финансовой поддержки инвесторов.
Капиталовложения предприятия – это затраты на строительно-монтажные работы при возведении зданий и сооружений; приобретении машин и оборудования; монтаж и наладка машин; проектно-изыскательные работы; содержание дирекции строящегося предприятия; подготовка и переподготовка кадров; затраты по отводу занятых участков и переселению в связи со строительством и т.д.
В отечественной экономической литературе и на практике широкое распространение получило следующая классификация капитальных вложений:
По признаку целевого назначения будущих объектов (например, производственное строительство, строительство культурно-бытовых учреждений, административных зданий и т.д.)
По формам воспроизводства основных фондов (например, новые строительства, расширение и реконструкция действующих предприятий, модернизация оборудования, капитальный ремонт)
По источникам финансирования (централизованные и децентрализованные)
По направлению использования (производственные и непроизводственные)
В условиях рыночной экономики наиболее приемлемым понятием по сравнению с капитальными вложениями является понятие инвестиции. Определение которых дано в ФЗ от 25.02.1999 «Об инвестиционной деятельности в Российской Федерации осуществляемой в форме капитальных вложений»: инвестиции – это денежные средства, ценные бумаги, иное имущество в том числе имущественные права, имеющие денежную оценку, вкладываемые в объекты предпринимательской деятельности и иной деятельности в целях получения прибыли или достижения иного полезного эффекта.
Инвестиции = Капитальные вложения + Ценные бумаги + Интеллектуальная собственность
В состав инвестиций входят реальные (прямые) инвестиции, т.е. капитальные вложения, которые играют важную роль в экономике страны любого предприятия и является основой для:
Систематического обновления ОПФ (основных производственных фондов) предприятия и непроизводственных фондов
Ускорение научно-технического прогресса и улучшение качества продукции
Сбалансированного развития всех отраслей экономики
Создание необходимой сырьевой базы
Создание экономического потенциала страны
Рентабельность единицы продукции (Rед.прод.) = (Чистая прибыль / Себестоимость) * 100 %
Рентабельность производства (Rпроизв.) = (Чистая прибыль / (Основные производственные фонды + Нормированные оборотные средства)) * 100 %
Рентабельность продаж (Rпродаж) = (Чистая прибыль / Выручкареальная) * 100 %
Срок окупаемости (Ток) = Инвестиции / Чистая прибыль
Дисконтирование дохода – приведение дохода к моменту вложения капитала. Дисконтирующий множитель определяется по формуле

Где
– дисконтирующий множитель, En
– процентная ставка, t
– фактор времени (число лет, в течение
которых денежная сумма находится в
обороте и приносит доход)
Таким образом, дисконтирующий множитель позволяет определить современную стоимость будущей денежной суммы, которую можно определить за определенный срок по правилу сложных процентов.
В 1994 году были изданы методические указания «Оценка эффективности инвестиционных проектов и их отбору для финансирования», где заложены принципы и подходы, которые сложились в мировой практике к оценке эффективности инвестиционных проектов. Методические рекомендации ориентированы решать следующие задачи:
Оценка реализуемости и эффективности инвестиционных проектов
Обоснование целесообразности участия и реализации инвестиционных проектов заинтересованных предприятий, банков, иностранных и российских инвесторов, федеральных и региональных органов государственного управления
Сравнение вариантов проекта
Проведение различных видов экспертиз инвестиционных проектов
Чистый дисконтированный доход (ЧДД) или интегральный доход

где:
Rt – результаты, достигаемые на t шаге расчета
Зt – затраты, осуществляемые на том же шаге
T – горизонт расчета
t – номер шага расчета
ЧДД = Чистая прибыль *

Чистый дисконтированный доход инвестиционного проекта должен быть положителен, тогда проект будет эффективен. Если чистый дисконтированный доход отрицательный, то проект неэффективен, убыточен для инвестора.
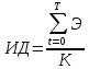
Индекс доходности (ИД)
Представляет собой отношение суммы, приведенных эффектов к величине капитальных вложений

где:
Э – сумма приведенных проектов
К – приведенные капиталовложения
Индекс доходности непосредственно связан с чистым дисконтированным доходом. Если чистый дисконтированный доход положителен, то индекс доходности больше 1 и наоборот.
Внутренняя норма доходности (ВНД)
Представляет ту норму дисконта (En) при котором величина приведенных эффектов равна приведенным капиталовложениям. ВНД определяется в процессе расчета и затем сравнивается с требуемой инвестором нормой дохода на вкладываемый капитал. Если ВНД равна или больше требуемой инвестором нормой дохода на капитал, то инвестиции оправданы. В противном случае, проект нецелесообразен.
|
|
I |
II |
III |
|
ЧП |
10 |
20 |
30 |
|
Ен 20% |
|||
|
a |
0,8 |
0,7 |
0,6 |
|
ЧДД |
8 |
14 |
18 |
ЧДД = 40 ед.
|
|
I |
II |
III |
|
ЧП |
10 |
20 |
30 |
|
Ен 10% |
|||
|
a |
0,9 |
0,8 |
0,75 |
|
ЧДД |
9 |
16 |
22,5 |
ЧДД = 47,5 ед.
Срок окупаемости (Ток)
Это время, за которое поступления от производственной деятельности предприятия покроют затраты на инвестиции
Задача 1. Проект, требующий инвестиций, предполагает получение годового дохода (чистых денежных поступлений). В 1 год – 2 980 тыс. руб., в 2 год – 3 329 тыс. руб., в 3 год – 3 820 тыс. руб., в 4 год – 3 600 тыс. руб., в 5 год – 2 150 тыс. руб., коэффициент дисконтирования 20%. Какова общая величина чистого дисконтирования денежного дохода?
|
|
I |
II |
III |
IV |
V |
|
ЧП |
2 980 |
3 329 |
3 820 |
3 600 |
2 150 |
|
a |
0,8 |
0,7 |
0,6 |
0,48 |
0,4 |
|
ЧДД |
2 384 |
2 330,3 |
2 292 |
1 728 |
860 |
ЧДД = 2 384 + 2 330,3 + 2 292 + 1 728 + 860 = 9594,3 тыс. руб.
Найти срок окупаемости, если известно, что проект требует инвестиций 15 млн. руб.
Ток = 15 000 000 / 15 879 000 = 0,94 * 12 месяцев = 11 месяцев
Ток (по ЧДД) = 15 000 000 / 9 594 300 = 1,56 * 12 месяцев = 18 месяцев
Технико-экономическое обоснование предполагает получение прибыли в год в размере 15 400 тыс. руб. Определить срок окупаемости, если израсходовано средств на:
СМР (строительно-монтажные работы) – 6 400 тыс. руб.
Оборудование – 11 200 тыс. руб.
ПИР (проектно-изыскательные работы) – 8 600 тыс. руб.
Прочие затраты – 2 300 тыс. руб.
6 400 + 11 200 + 8 600 + 2 300 / 15 400 = 28 500 / 15 400 = 1,85 * 12 месяцев = 22 месяца
Задача 3. Фирма решает вопрос о выборе проекта для инвестирования. На рассмотрение представлено 2 проекта с одинаковой суммой инвестиций. Величина прогнозируемого дохода известна в виде распределения вероятностей (В).
|
Проект 1 |
Проект 2 |
|||
|
д. у. е. |
В |
д. у. е. |
В |
|
|
7 000 |
0,5 |
6 000 |
0,7 |
|
|
8 000 |
0,3 |
10 000 |
0,2 |
|
|
12 000 |
0,2 |
13 000 |
0,1 |
|
Проект 1: 7 000 * 0,5 + 8 000 * 0,3 + 12 000 * 0,2 = 8 300
Проект 2: 6 000 * 0,7 + 10 000 * 0,2 + 13 000 * 0,1 = 7 500
Ответ: проект 1 является лучшим вариантом для инвестирования.
Задача 4. На действующем предприятии в одном из цехов работали 3 агрегата производительностью 3 000 тонн в год. После его реконструкции производственная мощность увеличилась на 3 000 тонн в год. Определите:
Производственную мощность после реконструкции
3 * 3 000 + 3000 = 12 000
Сколько агрегатов установили в цех после реконструкции, если их производительность осталось прежней
12 000 / 3 000 = 4 агрегата