Согласно п. 5.26 (СНиП 2.03.01-84) в многопустотной плите, высотой менее 300мм (в данной работе высота плиты Н=220 мм), допускается поперечную арматуру не устанавливать. При этом должны выполняться следующие условия:
Qper > Qmax
,
где
,
с=2*h0
Qper=

Qper=49,2 кН > Qmax=30,83 кН
Qper
≤ 2,5*
2,5*0.75*106*0,46*0,19=170,43 кН
49,2 кН≤170,43 кН
Qper > φb3(1+φn)*Rbt*b*h0 , где φb3 =0,6, φn = 0
φb3(1+φn)*Rbt*b*h0= 0,6*1*0,75*0,46*0,19=40,8 кН
49,2 кН > 40,8 кН
Условия выполнены, проверка прошла.
Определение расчётной схемы и размеров расчётного сечения.

рис 5. План плиты

рис 6. Расчётное сечение полки плиты

рис 7. Расчётная схема полки
Определение площади сечения арматуры
Определяется по наибольшему из моментов:
М1= ql02/11- пролётному и М2 = ql02/16 - опорному,
где
l02 - расчётный пролёт , при диаметре пустот d=159 мм - l02= 185 мм
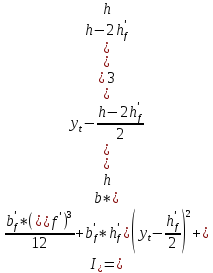
Расчёт ведём, как для прямоугольного сечения с размерами b*h (см. рис 6)
Mmax= ql02/11= 10,31*0,1852/11=0,032 (кН*м)
h0= 30,5-20=10,5 (мм)






Принимаем
5Ø3
Вр500 на 1 погонный метр с шагом 200мм (
= 0,36 см2).
Для
подъема и монтажа плита имеет четыре
подъемные петли, расположенные на
расстоянии
800 мм от торцов, на таком же расстоянии
от торцов распложены прокладки (опоры)
при перевозке плит.
рис 8. Расчётная схема плиты на монтажные нагрузки

рис 9. План плиты




Принимаем
по сортаменту арматуры 3Ø6
А240 (
= 0,86 см2)

рис 12. Схема приведённого к бетону сечения
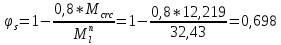
Коэффициент
приведения
= 8,333.
Площадь
приведенного сечения:

Ared=bf’+hf’+bf+hf
Статический момент площади приведенного сечения, относительно нижней грани сечения:


Расстояние от оси до центра тяжести сечения:

Момент инерции относительно центра тяжести сечения:

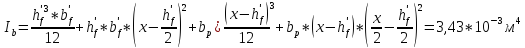
Упругий момент сопротивления приведенного сечения по растянутой зоне сечения вычисляем по формуле:

Упруго пластический момент сопротивления сечения для крайнего растянутого волокна бетона :

Проверяем условие:

где,
- изгибающий момент от внешней нагрузки
относительно оси нормали к плоскости
действия момента и проходящий через
ц.т. сечения
-3=12,219кН/м
- изгибающий момент, воспринимающий
нормальное сечение элемента при
образование трещин

Так как условие не выполняется образуются трещины и необходим расчет на величину раскрытия трещин.
Ширина раскрытия трещин определяется по формуле:

– коэффициент,
учитывающий продольное действие
нагрузки;

– коэффициент,
учитывающий профиль продольной арматуры;

– коэффициент,
учитывающий характер нагружения;

– коэффициент,
учитывающий неравномерное распределение
относительных деформаций растянутой
арматуры между трещинами;

– базовое
расстояние между трещинами;

где,
– площадь сечения растянутого бетона;

должно
удовлетворять следующим условиям:

Следовательно,
принимается
.
Расчет производится на действие постоянных и временных длительно действующих нагрузок. Расчет по прогибам производится из следующего условия:

предельно
допустимое значение прогиба элемента;

прогиб
элемента от действия внешней нагрузки;
Для свободно опёртых элементов прогиб можно определить по формуле:



моментом, от нагрузки, при которой определяется прогиб

D - изгибная жесткость приведенного поперечного сечения
-
приведённый модуль упругости


Находим
и
– статические моменты сжатой зоны
бетона и растянутой арматуры относительно
Н.О.
Предположим,
что
.



Так как условие выполняется, то граница сжатой зоны проходит в ребре. В соответствии с этим, находится высота границы сжатой зоны:

x= 91,2 мм
Момент инерции площади сечения сжатой зоны бетона относительно центра тяжести приведенного поперечного сечения без учёта бетона в растянутой зоне:

Момент инерции площади растянутой арматуры относительно ц.т. приведенного поперечного сечения определяется по формуле:
Напряжение в продольной рабочей арматуре в нормальном сечении с трещиной от соответствующей внешней нагрузки:

где,
– расстояние от центра тяжести площади
сечения арматуры до точки приложения
усилий в сжатой зоне сечения над
трещинами;

тогда,


Следовательно, условие выполнено. Ширина раскрытия трещины соответствует допустимой.