Оценим разность:
Отсюда получаем:
Что доказывает наше утверждение, если положить:
Волновое уравнение в случае одной, двух или трех пространственных переменных записывается так:
=![]()
,
=![]()
(+),
=![]()
(+ +).
Решением формул для волнового уравнения во всех трех случаях являются следующие формулы:
1. Формула Даламбера (одномерное пространство)
Ф(x,t)=
+
2. Формула Пуассона (двумерное пространство)
Ф (x,y,t) = [![]()
(
) + +
]
3. Формула Кирхгофа (трехмерное пространство)
Ф (x,y,z,t) =
[![]()
(![]()
![]()
t2![]()
d![]()
) +2![]()
d![]()
]
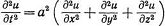
Рассмотрим волновое уравнение
(1)
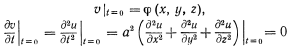
И будем искать его решение, удовлетворяющее условиям
(2)
Будем предполагать, что φ0 (х, у, z) непрерывна вместе со своими производными до третьего порядка, а φ1 (х, у, z) - до второго порядка включительно во всем пространстве.
Покажем сначала, что интеграл
(3)
Является решением волнового уравнения (1).
Заметим, что координаты точек сферы Sat могут быть выражены по формулам:
Запишем их в виде:
Где угол ![]()
меняется от 0 до ![]()
и угол ![]()
от 0 до 2??. Когда точки
(??,??,??) описывает сферу Sat, точка (α,β,γ) описывает сферу S1 радиуса, единице, с центром в начале
координат.
Приводим интеграл (3) к виду
(4)
Отсюда легко заметить, что функция u (x,y,z,t) имеет непрерывные производные до k-го порядка, если функция φ (??,??,??) непрерывна вместе со своими производными k-го порядка.
Из формулы (4) находим
Или, возвращаясь к первоначальной области интегрирования
(5)
Дифференцируя теперь выражение (4) по t, получим
(6)
Вычислим ![]()
с применением формулы Остроградского и получим
(7)
Где
D-шар радиуса r=at с центром в точке М (x,y,z).
Полагая
Будем иметь
Дифференцируя это выражение по t будем иметь
Нетрудно видеть, что
(8)
В самом деле, переходя в интеграле I к сферическим координатам (ρ,θ,?) с центром в точке M (x,y,z), имеем
Дифференцируя по t, получим
Сравнивая равенства (5), (7) и (8), мы видим, что функция u (x,y,z,t) удовлетворяет волновому уравнению (1).
Из формул (4) и (6) непосредственно следует, что функция u удовлетворяет начальным условиям
(9)
Если u есть решение волнового уравнения, то
легко видеть, что функция
Будет также решением уравнения (1) с начальными данными условиями
(10)
Взяв теперь в случае начальных условий (9) за φ (x,y,z) функцию φ1 (x,y,z), а в случае начальных условий (10) - функцию φ0 (x,y,z) и сложив построенные таким образом решения, получим решение уравнения (1), удовлетворяющее начальным условиям (2).
Таким образом, решение волнового уравнения (1), удовлетворяющее
начальным условиям (2), запишем в виде
(11)
Это называется формулой Пуассона.
Формула Кирхгофа - аналитическое выражение для решения гоперболического уравнения во всем трехмерном пространстве. Методом спуска из него моно получить решение двумерного (Формула Пуассона) и одномерного (Формула Даламбера) уравнения.
Рассмотрим уравнение
где u=u (x,t) и f=f (x,t) определены на (x,t) ![]()
Rn х R+, а
- оператор Лапласа.
Это уравнение определяет распространение бегущей волны в n-мерной
однородной среде со скоростью a в моменты времени t>0. Для
того, что бы решение было однозначным, необходимо определить начальные условия.
Начальные условия определяют состояние пространства в момент времени t=0.
Тогда обобщенная формула Кирхгофа дает решение этой задачи в
трехмерном случае:
Где поверхностные интегралы берутся по сфере S: |x-y| = at.
В работе приведены некоторые примеры применения дифференциальных уравнений для моделирования таких реальных процессов, как колебания струны.
Работа начинается с рассмотрения методов распространения волн, формула Даламбера однородного и неоднородного уравнения, задача Коши и выведение и применение формул Пуассона и Кирхгофа. Вследствие большого объема теории по применению дифференциальных уравнений для моделирования реальных процессов в данной работе не мог быть рассмотрен весь материал.
В заключение хотелось бы отметить особую роль
дифференциальных уравнений при решении многих задач математики, физики и
техники, так как часто не всегда удается установить функциональную зависимость
между искомыми и данными переменными величинами, но зато удается вывести
дифференциальное уравнение, позволяющее точно предсказать протекание
определенного процесса при определенных условиях.
1. А.Н. Тихонов, А.А. Самарский "Уравнения математической физики", Москва, 1966 г.
. Н.С. Кошляков, Э.Б. Глинер, М.М. Смирнов "Уравнения в честных производных математической физики", Москва, 1970 г.
. Владимиров В.С. "Уравнения математической физики", Физматлит. 2000 г.
4. А.М. Ильин "Уравнения математической физики: учебное пособие", Москва, Физматлит, 2009
5. С.К. Годунов "Уравнения математической физики" Москва, "Наука" 1971 г.
7. http://umf. kmf. usu.ru/index. php? id=18&id1=0 <http://umf.kmf.usu.ru/index.php?id=18&id1=0>