Содержание
Введение
1. Метод распространяющихся волн
1.1 Формула Даламбера
1.2 Неоднородное уравнение
2. Задача Коши. Двумерное волновое уравнение
3. Теорема устойчивости решения задачи Коши
4. Формулы волнового уравнения
4.1 Формула Пуассона
4.2 Формула Кирхгофа
Заключение
Список литературы
Когда речь заходит о построении математической модели какого-либо явления, принадлежащего к математике, физике, социологии, экономике или другой области знаний, встаёт вопрос о правильном построении системы дифференциальных уравнений и её решения, исходя из начальных или граничных условий.
Математическая физика (МФ) развивалась со времён Ньютона, параллельно развитию физики и математики. В конце 17 в. Было открыто дифференциальное и интегральное исчисление и сформулированы основные законы классической механики и закон всемирного тяготения. В 18 в. Методы МФ начали формироваться при изучении колебаний струн и стержней, а так же задач, связанных с акустикой и гидродинамикой. В 19 в. Идеи МФ получили новое развитие в связи с задачами теплопроводности, диффузии, упругости, оптики, электродинамики. В 20 в. в МФ включаются задачи квантовой физики и теории относительности, а так же новые проблемы газовой динамики и переноса частиц.
В настоящем реферате рассмотрено уравнение гиперболического типа - волновое уравнение. Волновое уравнение в математике <https://ru.wikipedia.org/wiki/%D0%9C%D0%B0%D1%82%D0%B5%D0%BC%D0%B0%D1%82%D0%B8%D0%BA%D0%B0> - линейное гиперболическое <https://ru.wikipedia.org/wiki/%D0%93%D0%B8%D0%BF%D0%B5%D1%80%D0%B1%D0%BE%D0%BB%D0%B8%D1%87%D0%B5%D1%81%D0%BA%D0%B8%D0%B5_%D1%83%D1%80%D0%B0%D0%B2%D0%BD%D0%B5%D0%BD%D0%B8%D1%8F> дифференциальное уравнение в частных производных <https://ru.wikipedia.org/wiki/%D0%94%D0%B8%D1%84%D1%84%D0%B5%D1%80%D0%B5%D0%BD%D1%86%D0%B8%D0%B0%D0%BB%D1%8C%D0%BD%D0%BE%D0%B5_%D1%83%D1%80%D0%B0%D0%B2%D0%BD%D0%B5%D0%BD%D0%B8%D0%B5_%D0%B2_%D1%87%D0%B0%D1%81%D1%82%D0%BD%D1%8B%D1%85_%D0%BF%D1%80%D0%BE%D0%B8%D0%B7%D0%B2%D0%BE%D0%B4%D0%BD%D1%8B%D1%85>, задающее малые поперечные колебания тонкой мембраны <https://ru.wikipedia.org/w/index.php?title=%D0%9C%D0%B5%D1%85%D0%B0%D0%BD%D0%B8%D1%87%D0%B5%D1%81%D0%BA%D0%B0%D1%8F_%D0%BC%D0%B5%D0%BC%D0%B1%D1%80%D0%B0%D0%BD%D0%B0&action=edit&redlink=1> или струны <https://ru.wikipedia.org/wiki/%D0%A1%D1%82%D1%80%D1%83%D0%BD%D0%B0_(%D0%BC%D1%83%D0%B7%D1%8B%D0%BA%D0%B0)>. К исследованию этого уравнения приводят рассмотрение процессов поперечных колебаний струны, продольных колебаний стержня, электрических колебаний в проводе, крутильных колебаний вала, колебаний газа и т.д. Приведены формулы Даламбера, Пуассона, Кирхгофа и рассмотрено решение задачи Коши.
волновое уравнение гиперболический формула
В математической физике под струной понимают гибкую, упругую нить. Напряжения, возникающие в струне в любой момент времени направлены по касательной к ее профилю. Пусть струна длины l в начальный момент направлена по отрезку оси 0x от 0 до l.
Предположим, что концы струны закреплены в точках x=0 и x=l. Если струну отклонить от ее первоначального положения, а потом предоставить самой себе или, не отклоняя струны, придать в начальный момент ее точкам некоторую скорость, или отклонить струну и придать ее точкам некоторую скорость, то точки струны будут совершать движения - говорят, струна начнет колебаться.
Задача заключается в определении формы струны в любой момент времени и определении закона движения каждой точки струны в зависимости от времени.
Изучение методов построения решений краевых задач для уравнений
гиперболического типа мы начинаем с задачи с начальными условиями для
неограниченной струны (задача Коши).
utt - a2 uxx = 0, - ∞<х<∞, t>0 (1)
, t > 0 (2)
Преобразуем это уравнение к каноническому виду, содержащему смешанную производную.
Уравнение характеристик: dx2 - a2
dt2 = 0 распадается на два уравнения:
dx - adt = 0, dx + adt = 0
интегралами которых являются прямые
- at = c1, x + at = c2.
Вводим, как обычно новые переменные:
ξ = x + at, η = x - at.
Уравнение колебаний струны преобразуем к виду:
ξ η = 0 (3)
Найдем общий интеграл последнего уравнения. Очевидно, что для всякого решения уравнения (3)
un (ξ, η) = f* (η)
где f* (η) - некоторая функция только переменного η. Интегрируя это равенство по η при фиксированном ξ, получим:
(ξ, η) = f1 (ξ) + f2 (η) (4)
Возвращаясь к исходным переменным (x,t), получаем:
u (x,t) = f1
(x + at) + f2 (x - at) (5)
данная функция является общим интегралом уравнения (1)
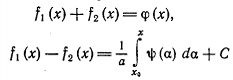
Определим функции f1 и f2 таким образом, чтобы
удовлетворялись начальные условия. Для этого подставим общее решение в
начальные условия (2):
(6)
(7)
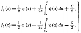
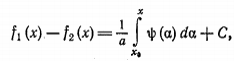
Интегрируя второе равенство, получим:
где х0 и С-постоянные.
Из полученных равенств находим:
(8)
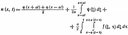
Таким образом, мы определили функции f1 и f2 через заданные функции φ и ψ. Подставляя в (5) найденные значения получим:
(x,t) = f1 (x + at) + f2 (x - at)
(9)
Формула (9) называется формулой Даламбера.
Она определяет решение задачи Коши для волнового уравнения.
Рассмотрим задачу Коши для неоднородного уравнения колебаний
tt=uxx+f (x,t), - ∞<х<∞, t>0 t>0
-∞<х<∞, (1)
Пусть wf (x,t,![]()
) - решение
вспомогательной задачи Коши.
(2)
(3)
Формула Даламбера (9. пункт 1) дает:
(4)
Перепишем формулу Даламбера (9. Пункт 1) в виде
(5) где
являются решениями задачи (2), (3) при ![]()
= 0 и f = ψ (х), f = φ (х) соответственно, так как непосредственное дифференцирование
показывает, что

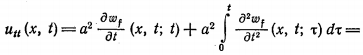
Решение неоднородного уравнения (1) с нулевыми начальными данными ut (x,0) - 0, u (x,0) =0 имеет вид
u (х, t) = a2 ![]()
f (x, t; ![]()
) d![]()
(6)
Дифференцируя функцию (6) и учитывая условия (3), находим
(7)
Отсюда видно, что функция (6) удовлетворяет уравнению (1). Решение
задачи (1) можно представить в виде
(8)
Пользуясь выражением (4), получим:
(9)
Прямая подстановка (9) в (1) показывает, что функция (9) в самом деле является решением задачи (1), если существуют производные φ’’ (х), ψ’ (х) и df/dx.
Из формулы (4) следует, что функция wf удовлетворяет
уравнению при t = ![]()
, если f дифференцируема по х, т.е. представление (8) возможно при
тех же условиях, при которых решение задачи Коши существует.
Формула (8) показывает, что решение общей задачи (1) может быть
сразу написано, если имеется решение вспомогательной задачи (2) (3).
Аналогичная формула имеет место и для решения задачи Коши в неограниченном
пространстве.
Решим задачу Коши для уравнения
(1)
с начальными условиями
(2)
Идея решения (метод спуска) очень проста: введём дополнительную
переменную x3 и решим задачу Коши для трёхмерного волнового
уравнения 
, но с начальными условиями (2), не зависящими от x3.
Тогда решение u (t,x1,x2,x3) фактически не будет зависеть от x3 поскольку
функция uz (t,x1,x2,x3) = u (t1,x1,x2,x3+z) является
решением того же уравнения и ![]()
при любом z и удовлетворяет тем же начальным условиям (2);
следовательно, по теореме единственности решения задачи Коши для трёхмерного
волнового уравнения uz не зависит от z, т.е. u не зависит от x3. Таким образом, решение задачи Коши (1) существует. Оно
единственно просто по теореме единственности, относящейся к трёхмерному случаю,
так как решение задачи (1) - (2) можно рассматривать и как решение трёхмерной
задачи Коши.
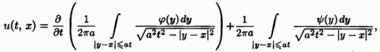
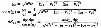
Теперь запишем u (t,x1,x2) по формуле Кирхгофа. Имеем:
(3)
Преобразуем второе слагаемое в формуле (3), которое мы обозначим и
(4)
Рассмотрим сферу в пространстве ![]()
по которой происходит интегрирование в (4). Это сфера с центром в
точке x и с радиусом at (см.
рис. 1). Мы должны проинтегрировать по сфере функцию, не зависящую от y3
Фактически это означает, что мы дважды интегрируем по проекции сферы на
плоскость y3=0.
Пусть dy1 d y2 - мера Лебега на этой плоскости, dSat
- элемент площади сферы в точке у, проектирующийся в элемент площади dy1
d y2. Ясно, что dy1 d y2=|cos α (y) | dSat, где α
(y) - угол между нормалью
к сфере и осью y3. Но нормаль к сфере пропорциональна вектору y-x=
(y1-x1, y2-x2, y3) имеющему
длину at. Будем интегрировать по верхней половине сферы и затем удвоим
результат.
Рис. 1
Тогда из условия |y-x|=at следует, что
Поэтому формулу (4) можно переписать в виде
Решение задачи Коши (1) - (2) задается формулой Пуассона
(5)
Из формулы Пуассона видно, что значение решения u (t,x) в
точке x: при n=2 зависит от начальных данных φ (y),???? (x) в круге {y: |y-x|![]()
, а не только вблизи его границы. В частности, если ????,φ сосредоточены вблизи точки О, то решение
в какой-либо окрестности точки x будет отлично от нуля всё время, начиная с
некоторого момента. Таким образом, локализованное возмущение уже не видно как
локализованное из другой точки, т.е. волна не проходит бесследно, а оставляет
последействие. Иными словами, принцип Гюйгенса при n=2 не имеет места. Найдем
ещё фундаментальное решение для двумерного волнового оператора. Аналогично
трёхмерному случаю надо решить задачу Коши с начальными данными
Но из формулы Пуассона ясно, что такое решение ![]()
2 (t,x) имеет вид
(6)
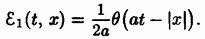
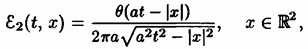
где θ (t) - функция Хевисайда.
Легко непосредственно проверить теперь, что функция ![]()
2 (t,x) локально интегрируема и является фундаментальным решением
двумерного волнового оператора. Последнее проверяется так же, как в трёхмерном
случае и мы оставляем это читателю в качестве упражнения. Наконец, из формулы
Даламбера ясно, что фундаментальное решение для одномерного волнового оператора
![]()
имеет вид
Для любого промежутка времени [0, t0] и ε>0. Найдется δ (ε, t0), такое что любые два решения уравнения utt
= a2uxx, u1 (x,t) и u2 (x,t) будут
отличаться меньше, чем на ε:
,
если только начальные данные
и
отличаются меньше, чем
на δ:
;
Доказательство: