Материал: ufe lab 1

Внимание! Если размещение файла нарушает Ваши авторские права, то обязательно сообщите нам

МИНИСТЕРСТВО НАУКИ И ВЫСШЕГО ОБРАЗОВАНИЯ РОССИЙСКОЙ ФЕДЕРАЦИИ

федеральное государственное бюджетное образовательное учреждения

высшего образования

УЛЬЯНОВСКИЙ ГОСУДАРСТВЕННЫЙ ТЕХНИЧЕСКИЙ УНИВЕРСИТЕТ Кафедра «Проектирование и технология электронных средств»

Дисциплина «Устройства функциональной электроники»

Отчет по лабораторной работе №1

«Проектирование акустоэлектронного фильтра на ПАВ»

Выполнили: студенты гр. Рбд-31

-

-

Проверил:

доцент, к. ф.-м. н.

Климовский А.Б

Ульяновск

2021

1. Цель работы.

Исходя из исходных данных и заданных требований в соответствии с назначенным вариантом работы, произвести расчеты параметров входного и выходного встречно-штыревых преобразователей, получить амплитудно-частотную характеристику фильтра на поверхностных акустических волнах, проанализировать ее и построить топологический чертеж фильтра.

Сравнив полученные значения для данных, которые были заданы, с исходными данными сделать вывод о качестве выполненного проектирования. В случае недостижения заданных параметров предложить, какие изменения при проектировании целесообразно сделать для повышения качества проектирования фильтра на ПАВ.

2.1 Континуальные среды, используемые в акустоэлектронике. Примеры таких материалов.

В качестве носителей информации в изделиях функциональной акустоэлектроники используются динамические неоднородности акустической природы в виде объемных или поверхностных волн.

В качестве континуальных сред в акустоэлектронике используются в основном пьезоэлектрики, пьезополупроводники и сложные среды из пьезоэлектрика и полупроводника. Основные требования к этим материалам заключаются в минимальном уровне потерь для прохождения динамических неоднородностей и максимальной температурной стабильности времени прохождения сигнала через среду. Остальные требования формируются конкретными условиями создания приборов и устройств акустоэлектроники.

Наиболее эффективно возбуждение динамических неоднородностей в виде акустической волны в пьезоэлектрике осуществляется с помощью вложенных друг в друга групп электродов. Такая система электродов получила название встречно-штыревых преобразователей (ВШП). Другое название такой системы электродов - двухфазный преобразователь ПАВ. Две группы чередующихся электродов соединены шинами, которые, в свою очередь, подключены к источнику напряжения (рис.1.1).

Если период преобразователя равен длине ПАВ, возникает явление акустического синхронизма. В этом случае волны, возбуждаемые каждой парой электродов, имеют одинаковую фазу и происходит когерентное сложение волн.

Суммирование происходит за счет локальных деформаций, образующихся под промежутками между электродами. Так, деформация, образовавшаяся под одним из промежутков, начинает перемещаться в противоположных направлениях и достигает следующих промежутков как раз в тот момент, когда полуволна внешнего напряжения достигнет максимума и вызовет деформацию под своими электродами. Для двухфазного преобразователя условие сложения деформации выглядит так:

где λa - длина акустической волны; va - скорость акустической волны; fo - частота акустической волны (центральная частота устройства); a, b, d - топологические параметры структуры преобразователя; обычно a = b, но это не обязательно. Толщина электродов h определяется технологией, и обычно h ≤ a .

Большое значение имеет топологический параметр W или апертура, определяющая степень перекрытия ВШП. Обычно выбирают величину

Апертура определяет форму импульсного отклика ВШП.

Рис.1.1. Возбуждение ПАВ с помощью ВШП: а - топология ВШП; б - схема возникновения акустических волн

Представленный на рис. 1.1 двухфазный преобразователь является двунаправленным и позволяет генерировать ПАВ в обе стороны. Есть и однонаправленные преобразователи, но они конструктивно сложнее. Эффективность генерации ПАВ определяется конструкцией ВШП, а также подбором материалов. Мерой эффективности взаимодействия ПАВс ВШП является коэффициент электромеханической связи

где - относительное изменение скорости волны, связанное с наличием и величиной пьезоэффекта в данном материале. Отрицательная величина свидетельствует о падении скорости. Коэффициент электромеханической связи является технологическим параметром и зависит от параметров материала звукопровода, направления распространения волны, связанной с ориентацией звукопровода относительно кристаллографических осей пьезоматериала.

Генерация ПАВ и их распространение осуществляется в ВШП и звукопроводе, имеющих технологические и топологические параметры. Управление этими параметрами позволяет управлять динамическими неоднородностями.

2.2 Параметры, от которых зависит амплитудно-частотная характеристика встречно-штыревого преобразователя.

Pис.1.2. Базовая конструкция фильтра на ПАВ: 1- входной ВШП; 2- выходной ВШП; 3- поглотитель ПАВ; 4- пьезоэлектрический звукопровод; 5- электростатический экран

На рис.1.2. приведена широко распространенная конструкция полосового фильтра на ПАВ. Фильтр состоит из пьезоэлектрической подложки и двух преобразователей. Заземленный электрод служит для уменьшения прямой электромагнитной наводки. В качестве преобразователей обычно используются наиболее эффективные встречно-штыревые системы электродов. Недостатком ВШП является то, что возбуждаемые ими поверхностные волны распространяются в обе стороны, что приводит к увеличению потерь и искажению амплитудно-частотной характеристики (АЧХ) фильтра. Для устранения волн, распространяющихся в нежелательном направлении, служат поглотители, располагаемые на концах пьезоэлектрической подложки.

АЧХ фильтра полностью определяется характеристиками преобразователей, так как пьезоэлектрическая подложка частотно-зависимыми свойствами обычно не обладает. АЧХ ВШП однозначно связано с числом, расположением и взаимным перекрытием излучающих электродов. Изменяя топологию преобразователей, можно формировать разнообразные АЧХ. Изменение степени перекрытия электродов преобразователя называется аподизацией; ВШП с одинаковым расстоянием между штырями - эквидистантными, с неодинаковым расстоянием - неэквидистантными преобразователями. На рис. 1.3 показаны возможности управления импульсным откликом фильтра с помощью изменения топологии ВШП.

Рис.1.3. Управление генерацией импульсов топологией ВШП: а - эквидистантный, неаподизованный; б, в,- неэквидистантный, аподизованный; г - эквидистантный, аподизованный по закону (sin x) /x.

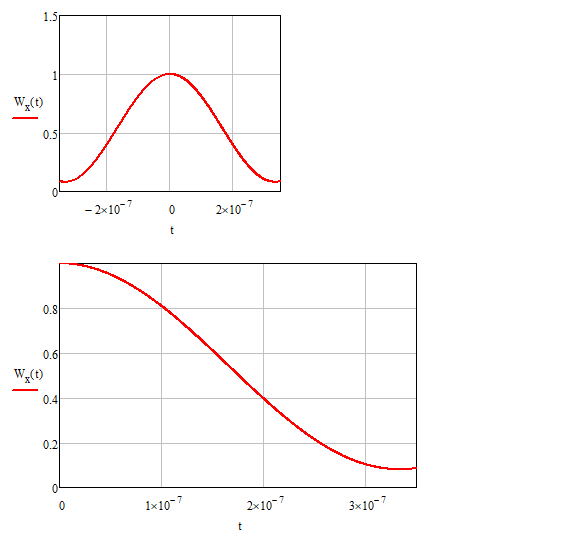
3. Расчетная часть.

Рис. 1.4. Эскиз фильтра на ПАВ.

4. Вывод.

На основе исходных данных и заданных требований в соответствии с назначенным вариантом работы, получены параметры входного и выходного ВШП, АЧХ фильтра на ПАВ. Исходя из сравнения заданных и рассчитанных параметров фильтра можно сделать вывод, что полученный фильтр не соответствует заданным требованиям. Необходимо выбрать другой материал и другую функцию аподизации.