Курсовая работа
Стандартизация и
применение корня женьшеня
фармакология женьшень лекарственный
Как в нетрадиционной, так и в официальной медицине женьшень применяют в качестве тонизирующего, стимулирующего средства. Препараты из женьшеня повышают работоспособность и общую сопротивляемость организма различным заболеваниям, восстанавливают жизненные силы при утомлении, усталости, истощении, а при регулярном употреблении способствуют долголетию. В китайской медицине средства, изготовленные из корня и надземных частей этого растения, применяют для улучшения обмена веществ, зрения, а также при атеросклерозе. Кроме того, препараты из женьшеня показаны при заболеваниях нервной и сердечно-сосудистой систем, анемии, импотенции.
Женьшень это одно из самых известных лекарственных растений восточной медицины. На протяжении нескольких тысячелетий используется людьми для лечения различных заболеваний, а также в качестве тонизирующего средства. И если в прошлом препараты этого целебного растения применяли лишь при узком круге болезней, то в настоящее время, когда наши представления о механизме действия женьшеня легли на прочную основу знаний о его химическом составе, дикие и культивируемые формы, биотехнологическое сырье и промышленные препараты данного растения вошли в необозримый арсенал женьшеневой терапии.
Помимо научного Panax ginsens s.a. meyer, существует
еще много названий женьшеня: настоящий женьшень, корень жизни, человек-корень и
др.
Отдел: Magnoliophyta / Цветковые
Класс: Magnoliopsida / Двудольные
Порядок: Araliales / Зонтикоцветные
Семейство: Araliaceae / Аралиевые
Род: Panax / Женьшень
Вид: ginseng C.A. Mey / обыкновенный
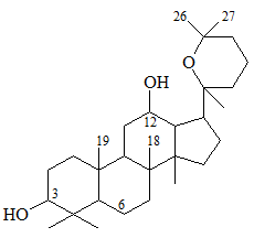
Женьшень настоящий - многолетнее травянистое растение семейства аралиевых (Araliaceae), высотой до 80 см., редко выше. (заканчивающимся мутовкой из 2 - 6 пальчатосложных листьев на черешках до 10 см длиной.) 1* Подземные органы - корневище и утолщенный главный корень.
Корень стержневой, продолговато-цилиндрический, обычно с 2-6 утолщенными боковыми ответвлениями (отростками) и с тонкими скелетными корнями (мочками), имеет общую длину 60 см., и более; толщина главного корня до 3 см. На главном и боковых корнях весной развиваются и к осени отмирают многочисленные очень хрупкие сезонные всасывающие корешки, по отмирании которых на корнях остаются характерные клубеньковидные бугорки.
Корень мясистый (содержит до 75% воды), ароматный, на срезе серовато-желтый.
Корневище у дикорастущих растений обычно тонкое, длиной до 10 см., и более, с четко выраженными, расположенными по спирали рубцами, образующимися ежегодно при отмирании надземных побегов. Годовой прирост корня составляет в среднем 1 г., или немного больше. (Что касается культивируемых растений, то их корневище может быть сильно редуцировано, но у некоторых экземпляров оно все же сохраняется и имеет до 7-8 стеблевых следов.) [1]
Цветонос поднимается из середины мутовки и имеет, как правило, один терминальный зонтик. У растений с хорошо развитым корнем ему зачастую сопутствуют еще несколько боковых зонтиков. В зонтике насчитывается в среднем 16 цветков, но встречаются и многоцветковые экземпляры, 40 и более цветков [1]
Надземный побег женьшеня обычно одиночный, значительно реже бывают растения многостебельные - с 2 (иногда до 6-7) побегами. Стебель прямой, тонкий, цилиндрический, зеленый или буро-красный, голый, внутри полый.
Плод - ярко-красная, нижняя, обычно двухкосточковая,
часто однокосточковая, редко трехкосточковая костянка. Цветет в июле, плоды
созревают в августе - сентябре. Размножается только семенами. Семена прорастают
лишь через 18-22 месяца после осеннего сева, часть семян только на 3-й или 4-й
год, что связано с недоразвитием в них зародыша. Живет до 150 лет. (Плоды
женьшеня сжаты сверху и с боков и содержат две светло-желтые косточки. Семя
плоское, дисковидное, имеет тонкую кожицу.)
Листьев у молодых растений 1-2, у взрослых 4-5 (редко до 7); они длинночерешковые, обычно пятипальчато-сложные, длиной до 40 см., располагающиеся розеткой на вершине стебля.
Черешки листьев с фиолетово-красным оттенком. У зрелых растений из центра листовой розетки развивается цветонос высотой до 25 см., с одним простым зонтиком; ниже его нередко имеются более мелкие боковые зонтики.
Цветки мелкие, невзрачные, с белым венчиком. [2]
1.3 Биологические характеристики
Одной из биологических особенностей женьшеня, которая долгое время служила поводом для суеверий, при повреждении почки возобновления надземный побег женьшеня в текущем году не образуется, и про такое растение говорят, что оно заснуло. На самом деле данное состояние женьшеня вызвано тем, что спящая почка второго года недостаточно дифференцирована и не может сформировать новый побег в текущем году. Когда дифференциация почки завершается, появляется новый надземный побег. В состоянии так называемого сна, женьшень может находиться в течение нескольких лет. Однако чаще всего растение «спит» не более года.
Продолжительность жизни женьшеня. Определить возраст старых растений можно только приблизительно. Однако зарегистрированы растения, корневища которых несли на себе более 140 стеблевых следов, то есть этим растениям было не меньше 140 лет. Некоторые исследователи считают, что женьшень способен дожить до 400-летнего возраста. [1]
В природных условиях семена женьшеня, попавшие в почву, дают всходы через 18-22 месяца. Это объясняется тем, что в созревшем семени зачатковый росток еще недоразвит. Его дальнейшее развитие может проходить лишь при определенных условиях теплового режима, умеренной влажности. В естественных условиях необходимый тепловой режим создается в первое лето после осеннего осыпания семян и во вторую зиму. Искусственной подготовке семян к посадке, то есть стратификации, будет посвящен специальный раздел.
К биологическим особенностям женьшеня относится и то, что растущий корень закладывает ростковую почку, в которой уже формируются зачатки будущего надземного растения следующего года, за два года вперед. Сформированная почка также должна пройти полный цикл тепловой выдержки. Только в таком случае она даст полноценный, здоровый восход.
В двухлетнем возрасте и старше растения закладывают резервные, так называемые спящие почки. В случае же гибели ростковой почки корень не отмирает, а, находясь как бы в спящем состоянии, готовит к следующему вегетационному сезону новую почку из числа спящих.
Случается, что при умелом уходе и достаточно удобренной почве у отдельных растений женьшеня пробуждаются несколько покоящихся почек, разумеется не поврежденных. Такие растения называют многостебельными. В спящем состоянии корень может находиться в земле несколько лет, конечно, при условии хорошего ухода за ним.
Корни женьшеня не имеют твердых тканей и при заболевании могут быстро полностью разрушаться. Плотность корня и всего растения создается за счет высокого внутриклеточного давления сока, так называемого тургора. Особенно велика роль мелких всасывающих корешков, которые питают растение. При переувлажнении почвы они загнивают, при недостатке влаги - теряют тургор и засыхают, что немедленно сказывается на общем развитии растения и служит показателем его физического состояния. Особого внимания к себе и надлежащего ухода требуют растения первого и второго годов роста, когда у них еще недостаточно развита система мелких корешков. Неокрепшие растения первых двух лет более всего подвержены заболеваниям, быстро реагируют на изменения влажности и температуры воздуха.
Женьшень относится к теневыносливым растениям, но это не означает, что его нужно сажать только в тени. Режим освещенности имеет большое значение и для роста растения, и для борьбы с заболеваниями, а также для общего физического состояния растений всех возрастов. В природных условиях женьшень растет под прикрытием высокой лесной растительности, которая ограничивает доступ к нему прямых солнечных лучей. При культурном выращивании на приусадебных участках и промышленных плантациях прикрытием могут служить яблони, высокий кустарник и другие садовые растения. При отсутствии естественного прикрытия женьшене воды устраивают искусственное, что помогает растению. [3]
Растет главным образом в кедрово-широколиственных лесах, иногда с примесью пихты и ели, реже - в дубовых или грабовых лесах с примесью осины, клена, ясеня и липы. Предпочитает рыхлые, богатые перегноем, умеренной влажности почвы. Не переносит прямых солнечных лучей и поэтому никогда не встречается на открытых местах. [2]
В РФ женьшень произрастает на Дальнем Востоке, в Приморском крае (распространяясь от Владивостока на запад до реки Хор, притока Уссури, не достигая Хабаровска). В диком виде встречается также в Китае, Корее, Японии. Женьшень растет разреженно (поэтому его трудно находить) в глухой тайге, в тенистых кедрово-широколиственных лесах. Близ Владивостока заложена государственная плантация культивируемого женьшеня, который по фармакологическим свойствам аналогичен дикому женьшеню.
За рубежом возделывается в Северо-восточном Китае, Монголии,
Болгарии, Корее, Японии, США. [7]
Сырьем являются цельные корневые системы: Женьшеня Корни / Ginseng Radices.
Семена женьшеня нужно перед посевом подготовить так, чтобы у них развился зародыш. Для этого производят теплую и холодную стратификацию. Вначале смешивают «семена» с песком в соотношении 1:3, смесь увлажняют и оставляют в помещении при температуре 15-20° на 4 месяца (с октября до января). По мере испарения воду добавляют. Затем смесь переносят в холодильник, где выдерживают в течение 4 месяцев (с февраля по май). Влажность смеси в обоих случаях должна быть примерно 15%.
Перед посевом стратифицированные «семена» с раскрывшейся косточкой дезинфицируют в 1%-ной суспензии (взвеси) хлорокиси меди или в 0,5%-ном растворе перманганата калия в течение 15 мин. Высевают весной при температуре почвы около 15°С и влажности не более 10%. Всходы появляются в тот же год на 20 - 25-й день. На зиму их укрывают лапками ели или другим не гниющим материалом, а через 1 - 2 года пересаживают на предварительно подготовленные и расположенные с запада на восток гряды шириной 1 м, высотой 25 - 35 см. Расстояние между рядами - 1 м. Почву готовят из листового перегноя или перепревшего компоста и земли, в качестве минеральных удобрений вносят калия сульфат (15 г./м2) и суперфосфат (37,5 г/м2).
Сажают рассаду рядами через 20 см при ширине строк 25 см, располагая корень наклонно, а верхушку корневища с почкой прикрывая землей (4-5 см). Гряды с рассадой и пересаженными растениями затеняют деревянными щитами высотой 1 -1,5 м, сбитыми из тонких дощечек шириной в 5 см и проемами между ними в 2-3 см, так как сплошные значительно снижают температуру почвы и воздуха. Щиты устанавливают на столбиках наклонно. Осенью, когда стебли отмирают, их собирают и сжигают, а щиты снимают и убирают до следующей весны.
В первые годы жизни женьшень подвержен грибковым заболеваниям и его изредка следует опрыскивать суспензией хлорокиси меди, а поливать периодически розовым раствором перманганата калия. Влажность почвы должна быть умеренной - около 50-60%, так как даже кратковременное переувлажнение или пересыхание женьшень не переносит.
Кроме этого, корень женьшеня без стебля и листьев «выращивают» на особых питательных средах. Такой необычный способ называют культурой изолированных тканей. К сожалению, корень, выращенный в таких условиях, не всегда стандартен по содержанию биологически активных веществ как в качественном, так и в количественном отношениях по сравнению с корнем, выросшим на грядах, но можно думать, что со временем ученые заставят его продуцировать нужные вещества в необходимых количествах. Пока же такой корень используют для изготовления парфюмерно-косметических изделий, например, женьшеневого крема.
После сбора и проверки, проводят сушку корни женьшеня.
Перед употреблением лишний раз убедятся, что Женьшень правильно хранился. При открытии упаковки (места хранения) не должно быть посторонних запахов (только характерный лекарственному растению), на вид сырье должно соответствовать заявленному (характерного вида и цвета), не в коем случае не допустимо присутствие насекомых или грызунов, или фактов их жизнедеятельности. При наличии отрицательных факторов описанных выше качеств, не стоит употреблять данный продукт, так как его свойства уже изменились. [4]
Корень женьшеня содержит несколько панаксозидов
(тритерпеновые сапонины). Советским ученым удалось выделить 7 соединений,
которые обозначали латинскими буквами A, B, C, D, E, F и O. У панаксозидов A, B, C
агликоном является панаксотриол (C30H54O4), а у панаксозидов D, E, F и G агликоном является
панаксодиол (C30H54O3).

Одновременно с выяснением структуры агликонов было установлено, что гликозиды женьшеня содержат в углеводных цепах от 3 до 6 моносахаридных остатков (глюкозы, рамнозы, арабинозы, ксилозы). Почти все гликозиды имеют по 2 углеводные цепы, соединенные с агликоном обычными гликозидными связями. Это их отличает от типичных пентациклических тритерпеновых сапонинов, в которых (при наличии двух углеводных цепей) одна присоединяется О-ацил-гликозидной связью. [5]
Корень женьшеня содержит еще линолевую, олеиновую,
стеариновую и пальмитиновую кислоты, эфирное масло (панаксен), в состав
которого входят сесквитерпены; фитостерины, аскорбиновую кислоту, витамины B1 и
B2, слизь, крахмал (до 20%), дубильные, пектиновые вещества (до 23%), смолы,
тростниковый сахар и физиологически активные вещества (панаксин, панаквилон,
гликозид и гинзенин). В корнях женьшеня также содержатся:
Таблица 2.1 - Содержание макро- и микро - элементы в корнях
женьшеня
макроэлементы
мг/г
микроэлементы
мкг/г
K
21.40
Mg
14.30
Ca
7.06
Cu
6.30
Mn
1.74
Zn
23.40
Fe
0.25
Mo Cr
2.87
Al
40.96
Se
0.05
Ni
0.48
Sr
4.46
Pb
2.95
B
37.40
I
0.09
Ag
0.32
При сравнении описаний и методов анализа (на подлинность,
испытания, количественное определение и хранение) государственной фармакопеи
республики Беларусь (далее - ГФ РБ) с британской фармакопеи (далее - БФ) и
японской фармакопеи (далее - ЯФ), были сделаны следующие выводы:
ГФ РБ и БФ имели практически идентичную описанию сырья, но ЯФ
отличалась тем, что требовала, чтобы корешки были удалены, и содержала
дополнительное описание о корне, который был обработан в горячей воде.
Насчет содержания, ГФ РБ в отличии от БФ, не допускала менее
1% суммы панаксозидов Rb1. С другой стороны, ЯФ допускала до 0,1% суммы
панаксозидов Rg1 и до 0,2% суммы панаксозидов Rb1. (таблица 2.2)
Итак, можно прийти к выводу, что описание ГФ РБ требует
наиболее качественного сырья чем БФ и ЯФ.
Таблица 2.2 - Описания
ГФ РБ
БФ
ЯФ
Описания
Цельные или разрезанные на части высушенные корни (белый
женьшень) или обработанные паром и затем высушенные корни (красный женьшень)
Panax ginseng C.A. Meyer.
Целый или нарезанный высушенный корень, обозначенный белый
женьшень; или обработанный паром, а затем сушеный, обозначенный красный
женьшень, из женьшеня C.A. Meyer.
Женьшень является корнем женьшеня C.A. Meyer, из которого
корешки были удалены, или корень, который был быстро пройден через горячую
воду.
Содержание
Содержат не менее 0,4% суммы панаксозидов Rg1 (C42H72O14·2H2O)
и Rb1 (C54H92O23·3H2O). В
пересчете на сухое сырье, или не менее 1% суммы панаксозидов в
пересчете на панаксозид Rb1 (C54H92O23·3H2O)
в сухом сырье.
Минимум 0,4% на сумму панаксозидов Rg1 (C42H72O14·2H2O)
и Rb1 (C54H92O23·3H2O) (сухое
средство).
Содержит не менее 0,1% от панаксозидов Rg1 (C42H72O14)
и не менее 0,2% от панаксозидов Rb1 C54H92O23),
в пересчете на сухом сырье.
Подлинность
Содержа не большие разницы, ГФ РБ, БФ и ЯФ имели следующие
требования:
Внешние признаки
Отличие заключала в том, что ЯФ содержала описания вкуса и
запаха, которые отсутствовали в БФ, а в ГФ РБ отсутствовало лишь описание
вкуса. (таблица 2.3)
Немаловажный момент что все три фармакопеи рассказали про
специфическую характеристику белого женьшеня, отличающая его от красного
женьшеня: «В нижней части белого женьшеня имеются многочисленные мелкие
корешки, которые обычно отсутствуют в красном женьшене».
Таблица 2.3 - Внешние признаки
ГФ РБ
БФ
ЯФ
Форма
Цилиндрические. Могут быть изогнутыми.
Веретенообразный или цилиндрический, иногда разветвленный. Могут
быть изогнутыми.
Тонкий и длинный цилиндрический или веретенообразный
Размеры
Длина до 20 см, диаметр до 2,5 см.
Длина до 20 см, диаметр до 2,5 см.
Длина 5 - 20 см, диаметр 0,5 - 3 см.
Характер поверхности
Имеется продольные морщины и ответвления.
Имеется продольные морщины.
Имеется продольные морщины и шрамы корешков с короткими
остатками корневищем
Характер излома
Ровный.
Короткий.
Поверхность практически плоская, светло-желто-коричневого цвета,
и коричневый в окрестности камбия.
Цвет
От бледно-желтого до белого с желтоватым оттенком цвета или
коричневато-красного цвета.
Поверхность светло-желтого до кремового, или красно-коричневый.
Светло-желто-коричневого до светло-серо-коричневого цвета.
Запах
Специфический
-
Специфический
Вкус
-
- Микроскопия
Микроскопическая методика отсутствовала в ЯФ, а ГФ РБ и БФ
имели одну и ту же методику. (таблица 2.4)
Таблица 2.4 - Микроскопия
ГФ РБ и БФ
ЯФ
При использовании раствора хлоралгидрата Р видны:
· Многочисленные фрагменты тонкостенных паренхиматозных клеток. · Фрагменты крупных секреторных каналов,
содержащих смолу желтовато-коричневого цвета. · Нелигнифицированные трахеиды. · Частично лигнифицированные сосуды со спиральной или сетчатой
утолщенностью по отдельности, или группами. · Рассеянные друзы оксалата кальция.
При использовании 50% раствора глицерина Р в измельченном сырье
видны:
· многочисленные крахмальные зерна, простые или 2-6-сложные,
диаметром от 1 мкм до 10 мкм.
Тонкослойная хроматография
Методика ГФ РБ и БФ отличала от методики ЯФ, так как методики
приготовили разные испытуемые растворы, разные растворы сравнения и разные
подвижные фазы, и естественно имели разные результаты.
Результаты ГФ РБ и БФ: переведены на рисунке 2.3
Результаты ЯФ: один из пятен из раствора образца имеет тот же
цветовой тон и значение Rf с пятном из стандартного раствора.
Таблица 2.5 - Тонкослойная хроматография
ГФ РБ и БФ
ЯФ
Испытуемый раствор
К 1,0 г измельченного сырья прибавляют 10 мл 70% раствора
метанола Р. Кипятят с обратным холодильником в течение 15 мин. Охлаждают,
фильтруют и доводят метанолом Р до объема 10,0 мл.
К 2,0 г измельченного сырья прибавляют 10 мл воды и 10 мл
1-бутанола, встряхивают в течение 15 минут, центрифуги, и используют
надосадочную жидкость в качестве раствора образца.
Раствор сравнения
5,0 мг эсцина Р и 5,0 мг арбутина Р растворяют в 1 мл метанола
Р.
Отдельно растворяют 1 мг панаксозида Rg1 в 1 мл метанола
Пластинка
ТСХ пластинка со слоем силикагеля Р (5-40 мкм) или [(2-10 мкм)].
ТСХ пластинка со слоем силикагеля Р
Подвижная фаза
этилацетат Р - вода Р - бутанол Р (25:50:100), используют
верхний слой после отстаивания в течение 10 мин. Камеру не насыщают парами
подвижной фазы.
Этилацетат Р - метанол Р - вода Р (14:05:04) до расстоянии
примерно 10 см,
Наносимый объем пробы
по 20 мкл [4 мкл] в виде полос.
-
Фронт подвижной фазы
не менее 10 см [5 см] от линии старта.
-
Высушивание
на воздухе.
на воздухе.
Проявление
пластинку опрыскивают раствором анисового альдегида Р. Нагревают
при температуре от 105°С до 110°С в течение 5-10 мин. Просматривают при дневном
свете.
Спрей равномерно ванилин-серной кислоты-этанол TS для распыления
на тарелке, и нагревают при 105°C в течение 10 минут.
Испытания
Единственное отличие между ГФ РБ и БФ было про Допустимые
примеси, так как в БФ это требование отсутствовала. А если сравнить оба
фармакопеи с ЯФ, то последняя имела дополнительные требования при Очищенности и
извлечение содержимого, с другой стороны, в нее отсутствовала требования «Panax
quinquefolium» а также требования золы, нерастворимой в хлористоводородной кислоте.
(таблица 2.6)
Таблица 2.6 - Испытания
ГФ РБ
БФ
ЯФ
Допустимые примеси
не более 2%.
-
не более 2%.
Очищенность
-
· Тяжелые металлы: не более 15 ppm. 1,0 г измельченного сырья
готовить по способу 4. Подготовка контрольного раствора с 1,5 мл Стандартное
раствором ·
Мышьяк: не более 2 ppm. 1,0
г измельченного сырья готовить по способу 4. · Сумма BHC’s, и сумма
DDT’s: не более 2 ppm соответственно.
Panax quinquefolium
Просматривают хроматограмму, полученную в разделе
«Количественное определение. Определение содержания суммы панаксозидов Rg1 и
Rb1». В случае замены корней Panax ginseng на корни Panax quinquefolium на
хроматограмме испытуемого раствора отсутствует пик, соответствующий
панаксозиду Rf (рисунок 2.4).
-
Потеря в массе при высушивании
Не более 10,0%. 1,0г измельченного сырья сушат при температуре
от 100°С до 105°С.
не более 14.0% (6 часов).
Общая зола
Не более 7,0%.
не более 4.2%.
Зола, нерастворимая в HCl
Не более 1,0%.
-
Извлечение содержимого
-
не менее 14.0%. Разбавляют этанолом растворимый экстракт. Определение содержания панаксозидов Rg1 и Rb1
Методика жидкостной хроматографии ГФ РБ и БФ отличала от
методики ЯФ в том, что методики приготовили разные испытуемые растворы, разные
растворы сравнения и разные подвижные фазы, и естественно имели разные
результаты. (таблица 2.7)
Таблица 2.7 - Определение содержания панаксозидов Rg1 и Rb1.
Жидкая хроматография. (1)
ГФ РБ и БФ
ЯФ
Испытуемый раствор
-1,0 г измельченного сырья помещают в круглодонную колбу
вместимостью 250 мл, прибавляют 70 мл 50% раствора метанола Р, добавляют
несколько кусочков пемзы и кипятят с обратным холодильником на водяной бане в
течение 1 ч. - Охлаждают, центрифугируют и собирают надосадочную жидкость.
Остаток переносят в ту же круглодонную колбу и повторяют экстракцию. -
Надосадочные жидкости объединяют и выпаривают досуха при пониженном давлении
при температуре не выше 60°С. - Остаток растворяют в 20,0 мл смеси из
ацетонитрила Р и воды Р (20:80). -2,0 мл полученного раствора разводят смесью
из ацетонитрила Р и воды Р (20:80) до объема 10,0 мл и фильтруют через
мембранный фильтр с диаметром пор 0,45 мкм.
-1,0 г измельченного сырья помещают в стеклянную пробкую
пробирку центрифуги, добавляют 30 мл разведенного метаноле (3:5), встряхивают
в течение 15 минут, центрифугируют, и отделяют верхний слой жидкости. -
Повторяют процедуру с остатка с 15 мл разведенного метаноле (3:5), объединяют
надосадочную жидкость, добавляют разбавленный метанолом (3:5), до 50 мл. -
Внесут 10 мл этого раствора, добавляют 3 мл разбавленного гидроксида натрия
TS, дать постоять в течение 30 минут, добавляют 3 мл 0,1 М соляной кислоты TS
и разбавленного метанола (3:5), до 20 мл.
Раствор сравнения
3,0 мг панаксозида Rg1 Р, 3,0 мг панаксозида Re Р, 3,0 мг
панаксозида Rf Р и 3,0 мг панаксозида Rb1 Р растворяют в метаноле Р и доводят
до объема 10,0 мл этим же растворителем.
10 мг панаксозида Rg1 РС растворяют в метаноле (3:5), до 100 мл
и используют этот раствор в качестве стандартного раствора. Выполните
проверку с 10 мл раствора.
Условия хроматографирования
· спектрофотометрический детектор: длина волны 203 нм. · Колонка: длиной 0,125 м и внутренним
диаметром 4,6 мм, заполненная силикагелем октадецилсилильным для
хроматографии Р с размером частиц 5 мкм. · Температура: 35°С. · Подвижная фаза: o Подвижная фаза А: вода Р, доведенная кислотой фосфорной Р до рН
2. o Подвижная
фаза B: ацетонитрил Р. · Скорость
подвижной фазы: 1,0 мл/мин. · Время
уравновешивания системы: 20 мин перед каждым вводом. · Объем вводимой пробы: 20 мкл. Порядок
выхода пиков: панаксозид Rg1, панаксозид Re, панаксозид Rf и панаксозид Rb1.
Пригодность хроматографической системы: раствор сравнения.
· Детектор: ультрафиолетовый спектрофотометр (длина волны: 203
нм). · Колонка: длиной 0,15 м и внутренним
диаметром 4,6 мм, заполненная силикагелем октадецилсилильным для
хроматографии Р с размером частиц 5 мкм. · Температура: постоянная температура около 30°С. · Подвижная фаза: смесь воды и
ацетонитрила (4:1). · Время
удерживания панаксозида Rg1: около 25 минут. · пригодность Системы: o Производительность системы: Растворите 1 мг панаксозида
RG1 РС и 1 мг панаксозида Re в разбавленном метаноле (3:5) до 10 мл.
Процедура выполняется с 10 мл этого раствора. o Воспроизводимость системы: Испытание
повторяют 6 раз с 10 мл стандартного раствора.
Результаты ГФ РБ и БФ: Разрешение между пиками панаксозида
Rg1 и панаксозида Re не менее 1,0. (рисунок 2.4)
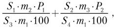
Содержание панаксозида Rg1 и панаксозида Rb1 в процентах
рассчитывают по формуле 2.3
где:- площадь пика панаксозида Rb1 на хроматограмме
испытуемого раствора;- площадь пика панаксозида Rg1 на хроматограмме
испытуемого раствора;- площадь пика панаксозида Rb1 на хроматограмме раствора
сравнения;- площадь пика панаксозида Rg1 на хроматограмме раствора сравнения;-
масса навески испытуемого сырья, г;- масса навески панаксозида Rb1 в растворе
сравнения, мг;- масса навески панаксозида Rg1 в растворе сравнения, мг;
Р1 - содержание панаксозида Rb1 в реактиве, %;
Р2 - содержание панаксозида Rg1 в реактиве, %.
Результаты ЯФ: панаксозида Rg1 и панаксозида Re элюируют с
разрешением между этими пиками составляет не менее 1,5.
Относительное стандартное отклонение площади пика панаксозида
Rg1 составляет не более 1,5%.
Содержание панаксозида Rg1 рассчитывают по формуле 2.4
Где:
MS - Количество (мг) панаксозида Rg1 RS, в расчете
на безводную основу.
AT - площадь пика
панаксозида Rg1 на хроматограмме испытуемого раствора.S - площадь
пика панаксозида Rg1 на хроматограмме раствора сравнения.
Определение содержания суммы панаксозида Rb1
В отличие от БФ, ГФ РБ и ЯФ имели дополнительное определение
содержания суммы панаксозида Rb1. И точно также оба методики приготовили разные
испытуемые растворы, разные растворы сравнения и разные подвижные фазы, и
естественно имели разные результаты. (таблица 2.8)
Таблица 2.8 - Определение содержания суммы панаксозида Rb1.
Жидкая хроматография. (2)
ГФ РБ
ЯФ
раствор А
1,0 г измельченного сырья помещают в колбу со шлифом
вместимостью 250 мл, прибавляют 50,0 мл спирта (40%) Р, взвешивают с
точностью до 0,01 г. и нагревают с обратным холодильником в водяной бане в
течение 60 мин. Охлаждают, доводят массу до первоначальной спиртом (40%) Р и
фильтруют.
10 мг панаксозида Rb1 RS, растворяют в разбавленном метаноле
(3:5) до 100 мл.
Испытуемый раствор
2,0 мл раствора А помещают в колбу со шлифом вместимостью 50 мл,
прибавляют 1,0 мл раствора 50 г./л кислоты фосфорномолибденовой Р в 96%
спирте Р, 10 мл воды Р и нагревают с обратным холодильником в водяной бане в
течение 2 часа. Быстро охлаждают до комнатной температуры. Полученный раствор
количественно переносят в мерную колбу вместимостью 50 мл, используя воду Р,
и доводят до объема 50,0 мл этим же растворителем.
Используйте образец раствора, полученного в (1) в качестве
раствора образца.
Компенсационный раствор
2,0 мл спирта (40%) Р помещают в колбу со шлифом вместимостью 50
мл, прибавляют 1,0 мл раствора 50 г./л кислоты фосфорномолибденовой Р в 96%
спирте Р, 10 мл воды Р и нагревают с обратным холодильником в водяной бане в
течение 2 часа. Быстро охлаждают до комнатной температуры. Полученный раствор
количественно переносят в мерную колбу вместимостью 50 мл, используя воду Р,
и доводят до объема 50,0 мл этим же растворителем.
-
Условия хроматогра-фирования
· спектрофотометрический детектор: длина волны 730 нм.
· Детектор: ультрафиолетовый спектрофотометр (длина волны: 203
нм). · Колонка: длиной 0,15 м и внутренним
диаметром 4,6 мм, заполненная силикагелем октадецилсилильным для
хроматографии Р с размером частиц 5 мкм. · Температура: постоянная температура около 40°С. · Подвижная фаза: смесь воды и
ацетонитрила (7:3). · Время
удерживания панаксозида Rb1: около 20
минут. ·
пригодность Системы: o Производительность системы: Растворите 1
мг панаксозида Rb1 РС и 1 мг панаксозида Rc в разбавленном метаноле (3:5) до 10 мл.
Процедура выполняется с 10 мл этого раствора. o Воспроизводимость системы: Испытание
повторяют 6 раз с 10 мл стандартного раствора.
Результаты ГФ РБ: Содержание панаксозида Rb1 в процентах
рассчитывают по формуле 2.5
где:
- удельный показатель поглощения продуктов реакции
панаксозида Rb1 с кислотой фосфорномолибденовой;
А - оптическая плотность испытуемого раствора;- масса навески
испытуемого сырья, г.
Результаты ЯФ: панаксозида Rb1 и панаксозида Rc элюируют с
разрешением между этими пиками составляет не менее 3.
Относительное стандартное отклонение площади пика панаксозида
Rb1 составляет не более 1,5%.
Содержание панаксозида Rg1 рассчитывают по формуле 2.6
Где:
MS - Количество (мг) панаксозида Rb1 Rc, в расчете
на безводную основу.
AT - площадь пика
панаксозида Rb1 на хроматограмме испытуемого раствора.S - площадь
пика панаксозида Rb1 на хроматограмме раствора сравнения.
Хранение
БФ не содержала требование к хранение. ЯФ содержала легкое
требование, а ГФ РБ требовала довольно строгие условия к хранение. (таблица
2.9)
Таблица 2.9 - Хранение
ГФ РБ
БФ
ЯФ
В защищенном от влаги и света месте при температуре от 15°С до
25°С.
-
В плотно закрытых контейнерах.
Женьшень является знаменитым тонизирующим, общеукрепляющим и
стимулирующим средством. Препараты этого растения активно влияют на центральную
нервную систему, повышают работоспособность, снижают физическую и умственную
усталость, улучшают аппетит и стимулируют половые функции.
Научно доказано положительное влияние женьшеня при
депрессивных состояниях, неврастении. Кроме того, корень жизни улучшает функциональную
деятельность сердечно-сосудистой системы и регулирует уровень артериального
давления. Препараты женьшеня принимают:
как тонизирующее, общеукрепляющее средство, повышающее
работоспособность и сопротивляемость организма к стрессовым ситуациям, физическим
нагрузкам, неблагоприятным воздействиям внешней среды;
в период восстановления организма после тяжелых заболеваний,
операций; при неврозах;
при бессоннице;
при половых расстройствах;
для стимуляции деятельности желез внутренней секреции;
при нарушении обмена веществ;
для снижения уровня сахара в крови;
для усиления репаративных процессов в организме;
в качестве кровоостанавливающего средства. [1]
Главные действующие вещества женьшеня - гликозиды - по
отдельным признакам и свойствам имеют сходство с гормонами коры надпочечников,
выполняющими в организме роль регуляторов обмена веществ. Известно, что
стресс-реакция организма сопровождается образованием липидных перекисей путем
неферментативного свободнорадикального окисления липидов. Свободные радикалы
являются повреждающим фактором для клеточных мембран. В биологическом действии
препаратов женьшеня, элеутерококка и других адаптогенов определенную роль
играют антиокислительные и антирадикальные свойства этих растений. Активация
гликозидами женьшеня и элеутерококка утилизации глюкозы и
глюкозо-6-фосфатдегндрогеназы повышает уровень НАДФ•Н-донора водорода,
необходимого для гашения свободнорадикальных процессов. Настойка корня в
фармакологических опытах оказалась более эффективной, чем отдельно применяемые
сапонин и смесь панаксозидов.
Препараты женьшеня обладают широким спектром
фармакологического действия, нетоксичны, поэтому их можно применять длительное
время. Они являются очень сильными возбудителями центральной нервной системы. В
отличие от фенамина препараты женьшеня не обладают фазностью действия и
побочным влиянием, не нарушают сна, повышают работоспособность в условиях
ночного бодрствования. Женьшень стимулирует функции и развитие половых желез.
В последнее время изучается фармакологическое действие не
только корня, но и листьев женьшеня. Настойку листьев женьшеня можно
рассматривать как новое адаптогенное фитотерапевтическое средство, содержащее
те же тритерпеновые гликозиды, что и настойка корня женьшеня. При
иммобилизационном стрессе настойка листьев женьшеня достоверно снижала у крыс
повышенный уровень 11-оксикортикостероидов и сахара крови, предупреждала
уменьшение массы печени в условиях экспериментального гепатита, вызываемого
четырех хлористым углеродом, проявляла гепатозащитное действие. Концентрацию
сахара в крови настойка листьев женьшеня снижала не только при стрессе, но и в
эксперименте на модели аллоксанового диабета средней тяжести. Гипогликемическое
действие экстракта элеутерококка на моделях гипергликемией было выражено в
меньшей степени (50% и 79% от эффекта настойки листьев женьшеня). Аналогичный
эффект получен и на адреналиновой модели гипергликемии у крыс.
Гипогликемическое действие гинзенозидов обусловлено повышением синтеза инсулина
в B-клетках поджелудочной железы. Гипогликемический эффект препаратов женьшеня
объясняется также влиянием их на трофику инкреторного аппарата поджелудочной
железы и включением компенсаторных механизмов при разных типах гипергликемии.
Таким образом, подобно другим типичным адаптогенам, настойка листьев женьшеня
оказывает стресс-протективное, гепатозащитное и панкреозащитное действие,
которое можно рассматривать как частное появление состояния неспецифической
повышенной резистентности организма.
И.В. ГРУШВИЦКИЙ И соавторы (1983) установили, что
деалкоголизированная настойка листьев женьшеня на 40% этиловом спирте при
семидневном введении ограничивает объем повреждений секреторной части желудка у
крыс при введении бутадиона, агофана или при иммобилизации животных. Защитное
действие в отношении слизистой оболочки желудка настойка Листьев женьшеня
оказывала и при введении резерпина мышам и их иммобилизации. Настойка и порошок
листьев женьшеня уменьшали альтерацию преджелудка у крыс с перевязанным
привратником. На основании данных проведенных фармакологических исследований
авторы пришли к выводу, что настойку листьев женьшеня можно поставить в один
ряд с классическими адаптогенами: настойкой корня женьшеня, аралии маньчжурской,
экстрактом корня элеутерококка колючего. Она проявляет Свойства типичного
адаптогена, оказывая активирующее влияние на центральную нервную систему и
повышая резистентность тканей к альтерации. [7]
Несомненным показанием к приему препаратов женьшеня является
общее истощение организма. При этом должна быть ликвидирована основная причина
истощения (недостаток питания, глистная инвазия, хроническое отравление,
кровопотеря, стресс и т.д.). Крепкий чай, кофе повышают работоспособность лишь
на короткое время (часы). Сильно возбуждающие напитки мешают заснуть, когда
необходимость в бодрствовании исчезает. Женьшень и другие адаптогены повышают
работоспособность, не оказывая такого возбуждающего действия на нервную систему,
так что при желании прервать бодрствование человек без труда засыпает. Настойку
женьшеня используют как лечебное средство после тяжелых травм, изнуряющих
болезней, при гипотонии, неврастении, миастении, импотенции, анемии. Считают,
что наиболее выраженное лечебное и общеукрепляющее действ не женьшень оказывает
в зимний период. В Китае женьшень как общеукрепляющее средство не рекомендуют
применять в жаркие летние месяцы. На основании литературных данных и
результатов многочисленных наблюдений напрашивается вывод о том, что влияние
женьшеня на организм скорее можно рассматривать как стимулирующее и
общетонизирующее, а не как лечебное, специфическое.
Препараты женьшеня превосходят все другие средства
растительного происхождения, стимулирующие деятельность нервной системы (колу,
чай, кофе). Установлено, что женьшень повышает умственную активность больше,
чем физическую. Под его влиянием одновременно усиливаются как процессы
возбуждения, так и процессы торможения в коре большого мозга. Действие
препаратов женьшеня продолжается больше месяца после прекращения их приема.
Длительный прием препаратов женьшеня стимулирует кровообращение - этот факт был
известен еще в древней китайской медицине. Препараты женьшеня увеличивают
содержание гемоглобина и эритроцитов в крови. Они усиливают обмен газов в
легких, стимулируют дыхание тканей, в частности нервной ткани, увеличивают
амплитуду сердечных сокращений и способствуют нормализации функциональных и
органических нарушений деятельности сердечной мышцы.
Подтвердил ось мнение древних ученых о свойствах женьшеня
помогать при сахарном диабете. В результате его приема у больных не наблюдается
резкого снижения уровня сахара в крови и полного исчезновения из мочи, однако
проходят слабость, жажда, зуд, сонливость, возвращается трудоспособность. В
противодиабетическом действии препаратов женьшеня и элеутерококка существенную
роль играет их способность препятствовать ингибирующему влиянию диабетического
B-липопротеида на проникновение глюкозы через мембраны в клетки и на ее
фосфорилирование гексокиназой. Не исключена их способность оказывать
благоприятное влияние на регенерацию островкового аппарата поджелудочной железы
за счет регуляции в нем процессов метаболизма.
Народная медицина Китая, Тибета, Кореи, Индии, Приморского
края применяет препараты корня женьшеня как общеукрепляющее средство против
переутомления, полового бессилия, анемии, сахарного дна бета, туберкулеза,
болезней почек, печени, сердца, нервной системы, головной боли, бессонницы и
др. Китайская народная медицина объясняет многостороннюю эффективность женьшеня
прежде всего его общетонизирующим действием на весь организм. В медицине
восточных стран (Китая, Кореи, Японии) корню женьшеня приписывают способность
продлевать жизнь и молодость, поэтому его рекомендуют использовать не только
больным, но и здоровым людям, начиная с сорокалетнего возраста.
В Китае настойку женьшеня применяют иногда с целью
профилактики различных инфекционных заболеваний у детей вместо прививочных
вакцин.
П.С. Чиков, Ю.П. Лаптев (1976) указывают, что к применению
женьшеня практически нет противопоказаний. Однако необходимо воздерживаться от
лечения его препаратами в случаях тяжелой формы гипертензии с выраженными
склеротическими изменениями сосудов сердца и головного мозга, при лихорадочных
состояниях или кровотечении.
В острых опытах на мышах сумма панаксозидов характеризуется
ЛД50, равной 1,4 г/кг. Токсичность жидкого экстракта женьшеня - 16,5 г/кг (И.И.
Брехман, 1957). Следовательно, токсичность суммы панаксозидов превосходит
таковую экстракта женьшеня примерно в 12 раз. Если принять минимальную
(стимулирующую мышечную работоспособность) дозу для суммарных фракций
гликозидов женьшеня (В опытах на мышах) приблизительно равной 5 мг/кг, то
широта терапевтического действия панаксозидов будет равна 1:240. Это значит,
что превышение разовой дозы гликозидов в десятки раз не будет опасно для жизни
больного.
Известны случаи смертельного отравления при одновременном
приеме 150-200 мл настойки женьшеня. [7]
Не рекомендуется принимать препараты женьшеня при острых
инфекционных заболеваниях и другой остротекущей патологии. Для многих больных
применение женьшеня противопоказано весной и летом. При лечении женьшенем
необходимо полностью исключить употребление спиртных напитков.
Употребление женьшеня в рекомендованных дозах обычно не
сопровождается побочными явлениями, однако прием препаратов может вызвать
некоторые неприятные ощущения, тошноту и рвоту, повышение артериального
давления, головную боль. Прекращение приема препарата или уменьшение его дозы
приводит к исчезновению побочных явлений.
Явления интоксикации наблюдались у людей после приема 200 мл.
настойки или употребления целого корня средней величины. Отравление женьшенем
характеризуется появлением сыпи на теле, головокружением, головной болью,
повышением температуры тела. [2]
Настойки
Настойка из сухого корня. Для приготовления
настойки сухой корень измельчают до порошкообразного состояния, затем заливают
водкой из расчета 30 г. корня на 1 л водки, настаивают в течение 3-4 недель,
периодически взбалтывая. Готовую настойку фильтруют.
В профилактических целях 20 капель на стойки принимают 1-2
раза в день за 30 минут до еды. Курс лечения - 1,5 месяца. После 30-дневного
перерыва проводят повторный курс.
Для лечения различных заболеваний настой ку женьшеня
принимают в дозах, установленных врачом (как правило, 30-40 капель).
Настойка из свежего корня. Для приготовления
настойки корень промывают холодной водой, просушивают, измельчают, заливают
водкой из расчета 100 г. корня на 1 л водки, настаивают в течение 3-4 недель,
периодически взбалтывая. Готовую настойку фильтруют.
В профилактических целях 15-20 капель настойки принимают 3
раза в день за 20-30 минут до еды. После месяца лечения делают перерыв на 10
дней, затем курс повторяют.
Вместо водки для приготовления настойки можно использовать
40-50% спирт. Подготовленный корень женьшеня заливают спиртом в соотношении
1:10, настаивают в течение 2 недель, затем фильтруют.
В профилактических целях настойку принимают по 10-15 капель 3
раза в день за 20-30 минут до еды. Курс лечения - 1 месяц. При необходимости
после 30-дневного перерыва курс лечения повторяют.
«Китайская пропись». Данное лекарство
изготавливается на основе спиртовой настойки корня женьшеня. Последнюю
смешивают с сахаром и держат в полости рта до полного растворения. Препарат
принимают за 20-30 минут до еды, не запивая водой.
Прием «китайской прописи» проводится по следующей схеме: в
первый день принимают 1 каплю, а в последующие их количество увеличивается на
одну в день. Когда число капель достигнет значения возраста человека, их
количество уменьшают на одну в день. По завершении курса лечения делают перерыв
на 1 месяц, после чего лечение продолжают по той же схеме.
Экстракт
Для приготовления экстракта подготовленный корень женьшеня
пропускают через мясорубку, смешивают с разогретым медом (100 г. корня на 900
г. меда) и оставляют на 3-4 недели, периодически размешивая деревянной ложкой.
Экстракт принимают по 1/2 чайной ложки утром за 30 минут до
еды, не запивая водой. Курс лечения - 2-3 месяца.
Медово-женьшеневое желе
Для приготовления желе измельченный сухой корень женьшеня
смешивают с медом (25 г. корня на 700 г. меда) и настаивают в течение 10 дней.
Препарат принимают по 1 чайной ложке 3 раза в день за 20-30 минут до еды. Курс
лечения - 2 месяца.
Женьшеневая паста
Для приготовления пасты корень женьшеня измельчают, заливают
горячей водой (2 столовые ложки измельченного корня на 2-3 столовые ложки
воды), оставляют на 2-3 часа, затем, помешивая, нагревают на водяной бане до
60-70°С и остужают до 40°С.
Готовую пасту используют для лечения кожных заболеваний, а
также в косметических целях.
Отвар
Для приготовления отвара 2-3 столовые ложки измельченного
корня женьшеня заливают 1-2 стаканами холодной воды, кипятят на слабом огне в
течение 3-5 минут, затем процеживают и остужают до 37-40°С.
Чай
Для приготовления чая порошок из сухого корня женьшеня
заливают кипящей водой в со отношении 1:10, настаивают в течение 10 минут,
затем процеживают. Чай пьют по 1 столовой ложке 3 раза в день за 20 минут до
еды в течение 30 дней. После 30-дневного перерыва курс профилактического
лечения повторяют.
Простокваша с женьшенем
Для приготовления данного препарата, популярного в Китае, в
горячем кипяченом молоке разводят 1 чайную ложку медового экстракта женьшеня,
остужают смесь до 38-40°С и добавляют кисломолочную закваску. После получения
простокваши смесь взбалтывают. Препарат принимают по 250 мл 2 раза в день за 30
минут до еды.
Женьшень с виноградным соком
Для приготовления лекарства 1 столовую ложку измельченного
свежего корня женьшеня смешивают с 2 столовыми ложками виноградного сока. Доза
приема данного препарата зависит от характера заболевания.
Женьшень (Ginseng)
Экстракт из корня женьшеня. Препарат обладает адаптогенным
действием и применяется при гипотонии, усталости, неврастении, сниженной
способности к концентрации внимания у пожилых людей, а также при бессоннице.
Лекарство выпускается в капсулах по 1 г. Препарат принимают
по 1 капсуле 1 раз в день за 20-30 ми нут до еды.
Женьшень плюс (Ginseng plus)
Концентрированный экстракт корня женьшеня с лиофилизированным
маточным молочком и витаминами А и Е.
Препарат оказывает адаптогенное действие и применяется при
гипотонии, усталости, переутомлении, неврастении, сниженной способности к
концентрации внимания у пожилых людей, бессоннице. Лекарство выпускается в
капсулах по 0,75 г. Препарат принимают по 1 капсуле 1 раз в день за 30 минут до
еды.
Женьшень с витаминами и минеральными добавками
(Ginseng cunt vitamino et mineralo).
В состав препарата входят экстракт женьшеня, витамины B1, В2,
В6, В12, С, никотинамид, D-пантотенат кальция, фолиевая кислота, сульфат цинка,
сульфат кальция, фосфор, йодид калия и йодожелезный фумарат.
Лекарство оказывает адаптогенное и общеукрепляющее действие и
применяется при стрессовых состояниях (астения, физический и психический
стресс, хроническое злоупотребление алкоголем), снижении физической и
умственной работоспособности, утомлении, витаминной и минеральной
недостаточности. Выпускается в капсулах. Препарат принимают по 1 капсуле 1 раз
в день за 30 минут до еды. Курс лечения - 1-3 месяца.
Настойка биоженьшеня (Tinctura Bioginseng)
Оказывает адаптогенное действие и применяется при умственном
и физическом напряжении, переутомлении, гипотонии, неврастении, астенических
состояниях. Лекарство принимают по 30-50 капель 2-3 раза в день за 30-40 минут
до еды. Курс лечения - 25-30 дней. После 14-дневного перерыва лечение
повторяют. [1]
Курсовая работа, изучающая лекарственную растению «женьшень -
ginseng C.A. Mey» и ее лекарственное растительное сырье «корни женьшеня -
Ginseng Radices», рассматривает государственные фармакопеи разных стран,
медицинские учебники и журналы, и указывает что:
При сравнении описаний и методов анализа (на подлинность,
испытания, количественное определение и хранение) государственной фармакопеи
республики Беларусь с британской фармакопеи и японской фармакопеи, были сделаны
следующие выводы:
· описание ГФ РБ требует наиболее
качественного сырья чем БФ и ЯФ.
· Методика тонкослойная хроматография, как и
жидкостная хроматография ГФ РБ и БФ отличала от методики ЯФ, так как методики
приготовили разные испытуемые растворы, разные растворы сравнения и разные
подвижные фазы, и естественно имели разные результаты.
Растение обладает очень широкое медицинское применение как:
· тонизирующим, болеутоляющим действием.
· стимулирует кору головного мозга,
подкорковые центры, тканевое дыхание, окислительные процессы.
· повышает работоспособность.
· снимает усталость.
· обладает адаптогенными и
иммуностимулирующими свойствами. · увеличивает амплитуду сердечных
сокращений.
· газообмен в легких.
· регулирует углеводный обмен.
· способствует снижению сахара в крови.
· повышает функцию эндокринной системы.
· нормализует артериальное давление.
Из корня женьшеня изготавливают порошки, настои, отвары,
мази, экстракты, таблетки и пилюли.
1. Женьшень
- корень жизни. - М: РИПОЛ классик, 2005. - 64 с. - (Здоровье и красота).
. ФИТУМ
/ лекарственные растения / женьшень настоящий - K&K Group [Электронный
ресурс]. - 2014 г. - Режим доступа: http://phytum.com/ - Дата доступа: . . Astromeridian
- 2006-2014 . . . .
2.3
Стандартизация лекарственного растительного сырья
3. Медицинское
применение
.1
Фармакологические свойства
3.2
Лечебно-профилактическое применение
3.3
Побочное действие и противопоказания
.4
Лекарственные средства
.5
Аптечные препараты женьшеня
Заключение
Список
использованных источников