Материал: Синтез (-)-каиновой кислоты

Внимание! Если размещение файла нарушает Ваши авторские права, то обязательно сообщите нам

Синтез (-)-каиновой кислоты

Белорусский государственный университет

Химический факультет











Курсовая работа

по теме

«Синтез (-)-каиновой кислоты»

Выполнила студентка

курса 3 группы Демидова Д.Д.

Преподаватель Шклярук Д. Г.





МИНСК 2013

Список сокращений

1.      LiHMDS - оксаметилдисилазан лития.

2.      KHMDS - оксаметилдисилазан калия.

3.      NaHMDS - оксаметилдисилазан натрия.

4.      DEPC - диэтилпирокарбонат.

5.      DPPA - дифенилфосфоразид.

6.      Cbz - карбобензоксильная защитная группа.

7.      Boc - трет-бутилоксикарбонильная защитная группа.

8.      Boc2O - ди-трет-бутилдикарбонат.

9.      DBU - диазабициклоундецен.

10.    THF - тетрагидрофуран.

12.    TMSCl - триметилсилилхлорид.

13.    TFA - трифторуксусная кислота.

14.    DMAP - диметиламинопиридин.

15.    DMF - диметилформамид.

16.    DMS - диметилсульфид.

17.    PhNTf2 - N-фенил-бис (трифторметансульфонимид).

Введение


Каиновая кислота является прирордным пирролидином с функциональными заместителями при С2, С3, С4 в цис и транс положениях. Эта кислота впервые была получена из морской водоросли с японским названием «Каинин-соу» (Digenea simplex). Первоначально каинат употреблялся как глистогонное средство. В настоящее время используется в нейронаучных экспериментах для исследования нейродегенеративных процессов, моделирования эпилепсии, болезни Альцгеймера. В 1999 году была прекращена коммерческая добыча каината из вышеуказанной водоросли. В связи с этим, химики начали искать синтетические способы получения этого, на первый взгляд простого, продукта. И даже сейчас, синтез каиновой кислоты является затратным и состоит из значительного количества стадий. Далее будут рассмотрены некоторые способы синтеза каиновой кислоты.

Методы синтеза

эпоксид азетидинон карвон синтез

Синтез из (+)-карвона


Данный синтез основан на использовании 2-пропенильной группы у природных терпенов (Схема 1).

Схема 1: план синтеза (-)-каиновой кислоты

(+)-Карвон является представителем терпенов, и, как известно, подвергается окислительной деструкции, что, в итоге, даёт универсальный синтетический промежуточный продукт(3). Предположили, что продукт(3) имеет пригодные функциональные возможности для стереоселективного введения заместителя по положению С2, внедрения атома азота, а также для формирования кольца пирролидина.

Этот синтез начинается с эпоксидирования (+)-карвона(2), с использованием NaOH(в.) для получения эпоксида(4) с 89% выходом (Схема 2).

Схема 2: синтез йодолактона(6)

После того как был разработан эффективный способ получения йодолактона(6), было уделено большее внимание внедрению атома азота, с последующим стереоселективным алкилированием (Схема 3).

Схема 3: полный синтез (-)-каиновой кислоты(1)

Окислением альдегида(6), с использованием NaClO2, получают карбоновую кислоту(7) с выходом 87% . Курциусовой перегруппировкой карбоновой кислоты(7), с использованием DPPA и Et3N , с последующей обработкой метанолом , получали метилкарбамат(8) с выходом в 78%. Последующее депротонирование соединения(8) с 2,5 экв LiHMDS, с дальнейшим добавлением к трет-бутиловому эфиру бромуксусной кислоты при -78 °C, повлекло за собой получение эфира(9) с выходом 82% . Как и ожидалось, алкилирование происходит от противоположной стороны заместителя к β -положению к карбонильной группе, конфигурация в γ -положении лактона не влияет на селективность при алкилировании . Реакция восстановительного раскрытия кольца из йодолактона(9) была осуществлена ​​путем обработки Zn в присутствии уксусной кислоты с получением карбоновой кислоты(10), которая , при обработке DEPC и триэтиламина при температуре окружающей среды , подвергся циклизации с получением желаемого цис-замещенного лактама(11) с 60 % выходом из продукта(9).

Наконец, ввели заместитель по положению С1. Лактам(11) селективно восстанавливают LiAlH(Ot-Bu)3 при 0 °C, и полученную смесь обрабатывают ППТС в метаноле с получением соединения(12) с 79% выходом в виде одного изомера. Обработка вещества(12) в TMSCN и BF3*OEt2 дала аминонитрил(13) в виде смеси диастереомеров (3:1). К счастью, эпимеризация нежелательного изомера произошла в ходе щелочного гидролиза. Таким образом, диастереомерная смесь нитрила(13) подаётся к гидролизу NaOH, затем, после перекристаллизации получают чистую (-)-каиновой кислоту (1) с 69% выходом. Этот синтетический маршрут позволило получить 14,6 г (-)-каиновой кислоты (1) из 100 г (ю)-карвон (2) в 13 шагов и 10,3% общего выхода. Этот синтетический путь позволил получить 14,6 г (-)-каиновой кислоты(1) из 100 г (+)-карвона(2) в 13 стадий и с 10,3% выхода от общего.

Методы синтеза

Синтез из азетидинона

Схема 4: полный синтез (-)-каиновой кислоты(1)

Оксазолидинон Эванса(14) обробатывают LDA в ТГФ при -78 °С, это даёт продукт(15). Обработка продукта(15) даёт соединение альдольной конденсации(16) в виде одного изомера , который преобразуется в акрилата(17) через шесть стадий. Пирролидиновое кольцо(19) с полностью замещёнными функциональными группами было получено по внутримолекулярной реакции Михаэля из ненасыщенного лактона(18) с высокой диастереоселективностью. Наконец, формирование изопропенила и манипуляции с функциональными группами привели к получению каиновой кислоты(1). Использование внутримолекулярной реакции Михаэля оказалось весьма эффективным для формирования полностью разработанного кольца пирролидина. В этом методе синтеза раскрывается более удобный способ получения каиновой кислоты с учётом недостатков получения продукта(17). Это синтез второго поколения позволил получить (-)- каиновую кислоту в 12 стадий с 14 % выходом из коммерчески доступного и недорогого азетидинона(25).

Схема 5: синтез второго поколения

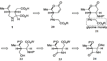
Если к промежуточному соединению(20) добавляется аминогруппа, то образуется соединение(21), которое может быть легко получено из азетидинона(25) путём восстановительного раскрытия кольца β-лактама, с последующей установкой глицина и формирования лактона. Соединение(23) может быть получено из коммерчески доступного азетидинона, производное(24), которое было изготовлено в промышленных масштабах, в качестве исходного материала для антибиотиков на основе β-лактам, таких как имипенем.

Синтез начался с введения карбоксиметилирующей группы по [3R(1R, 4R)-4-ацетокси-3-[1 - (трет-бутилдиметилсилилокси) этил]-2-азетидинона с помощью трет-бутилбромоацетата цинка (Схема 6).

Схема 6: синтез интермедиата(33)

Активация кольца β-лактама с группой Cbz (карбобензоксильная защитная группа) с последующим восстановлением с помощью NaBH4 дает аминоспирт(29). Вводится глицин, затем проводится реакция по Мицунобу с нозил(Ns)-активированным сложным эфиром(30) для получения вещества(31). При обработке трифторуксусной кислотой происходит циклизация соединения(31) с последующим образованем вещества(32). Наконец, происходит переход из нозильной группы в Boc-группу, что в итоге даёт желаемый продукт(33) с 46% общим выходом из соединения(25).

После удаления группы Cbz из соединения(33) путём гидрогенолиза, полученный первичный амин обрабатывали 10-кратным молярным избытком йодистого метила в присутствии карбоната цезия. Затем идёт удаление группы NH2, вследствие чего образуется желаемый α,β-ненасыщенный лактон(18) с 64% выходом (Схема 7).

Схема 7: синтез кольца пирролидина

Этот метод синтеза обеспечивает 14% выход каиновой кислоты в 12 стадий из недорого и доступного азетидинона(25). Данный синтез существенно лучше, чем синтез первого поколения, представленный на схеме 4.

Методы синтеза

Синтез из транс-4-гидрокси-L-пролина.

Данный синтез основан на реакции Дильса-Альдера. Реакция Дильса-Альдера из дегидропролина(36) с электроннобогатым диеном(37) может привести к енону(38) (Схема 8) .

Схема 8: ретросинтетический анализ синтеза (-)-каиновой кислоты

Этот продукт затем может быть быстро преобразован в каиновую кислоту через последовательность , которая включала бы сопряженное добавление метильной группой и захвата енолята для получения(39) , с последующим окислительным расщеплением , образование двойной связи , и гидролиза .

Трифлат(41) был подготовлен, чтобы служить в качестве прямого предшественника дегидропролин производного от продукта(36) (Схема 9).

Схема 9: синтез дегидропролинов

Транс-4-гидрокси-L-пролина был преобразован с выходом 93% в N-Вос-производное метилового эфира(40), который был окислен до соответствующего кетона с выходом 85%. Затем был получен региоселективно трифталат (41) и с высоким выходом из этого кетона с NaHMDS-PhNTf2.

При обработке продукта(41) Et3SiH в присутствии Pd-(PPh3)4 приводит к 3,4-дегидропролина(42) с выходом 85%. Желаемое производное акрилата(44) с выходом 60% и с энантиомерной частотой в 94% получается при гидроксикарбонилировании продукта(41). Как и ожидалось, однако, рацемизации этого соединения происходит довольно легко: после 10 дней при 20°С, энантиомерная частота была только 20%. Предположили, что если проводить реакцию при низких давлениях, то степень рацемизации значительно уменьшится и реакцию можно будет проводить при комнатной температуре. Омыление продукта(45), с последующей перекристаллизацией сырого продукта, даёт двухосновную кислоту(46) с 80% выходом. Эта кислота этерифицируется даизаметаном, что дает енон(47) с 83% выходом (Схема 10).

Схема 10: декарбометокслирование продукат(45)

Трансформация продукта(47) в сопряженный енон была осуществлена с DBU в дихлорметане. После присоединения метильной группы к енону(48), за счет использования более высокого порядка цианокупрата в триметилсилилхлориде, получают указанное триметилсилил эфирное производное(49) в енольной форме, которое было подвергнуто озонолизу. После обработки продукта(49) диметилсульфидом и диазометаном получается альдегид(50) с 70% выходом (Схема 11).

Схема 11: финальные стадии синтеза

Далее происходило преобразование этого альдегида(50) в олефин(51) с 60% выходом. После омыление соединения(51) и удаления Вос-группы с помощью TFA получается каиновая кислота с 75%-ным выходом после перекристаллизации. Синтетически полученный материал был хроматографически неотличим от аутентичного образца натурального продукта. Таким образом, была получена (-)-каиновая кислота из 4-гидроксипролина с почти 10% общим выходом.

Заключение

Каждый из этих синтезов состоит из довльно большого числа стадий (12-14). В среднем общий выход (-)-каиновой кислоты состовляет 10-13%. Во всех синтезах используются довльно доступные и сравнительно недорогие реагенты. Все стадии в данных синтезах были довольно простыми, но всё равно требуется достаточно много времени, чтобы получить каинат. Думаю в будущем будут найдены новые методы синтеза, которые будут менее затратными и более быстрыми.


1.   High-pressure Diels-Alder approach to natural kainic acid/ S. K. Pandey// Organic Letters. - 2006. - Vol.8, - No.24, - p.5665-5668

2.      Total Synthesis of (−)-Kainic Acid via Intramolecular Michael Addition: A Second-Generation Route/ Hiroshi Sakaguchi// Organic Letters. - 2008. - Vol.10, No.9, - p.1711-1714

.        A Practical Synthesis of (−)-Kainic Acid/ Satoshi Takita// Organic Letters. - 2011. - Vol.13, - No.8, - p.2068-2070