В нашем процессе мы выделили шесть задач, которые имеют структуру состояний. Это - задачи управления скоростью. В общем случае, в движении выходного звена можно выделить три состояния: ускорение, равномерное движение, торможение. Рассмотрим каждую задачу.
Как уже говорилось, задача Sled_X ответственна за расчет временных характеристик и координат движения ШД1. Так как Привод с ШД не имеет обратной связи, вся траектория должна рассчитываться до начала движения. Расчет характеристик движения осуществляется при помощи мгновенного значения времени и независящего от него параметра. Так как по заданию ускорение изменяется по треугольному закону, то этим параметром можно считать модуль производной от ускорения k.
В задаче Sled_X можно выделить следующие состояния:
). STOP. Состояние ожидания действий. В это состояние задача переходит при инициализации. В нем проверяется выполнение выхода в ноль по обеим координатам. Если выход в ноль сделан, то проверяется условие движения, а именно разница между текущей и целевой координатами по оси X. Если условие выполняется, то задача переходит в состояние освобождения тормоза BRAKE.
). BRAKE. В этом состоянии задача выжидает время действия тормоза, которое задано по условию, и затем переходит в состояние ускорения либо останова.
). ACCEL. Состояние ускорения. В этом состоянии происходит разгон, то есть увеличение текущей скорости до максимальной. Так как система следящая, и пользователь может в любой момент времени изменить координаты целевой точки, то мы должны учитывать эти изменения введенные пользователем. В данном состоянии мы рассчитываем разницу между текущей и целевой координатами по оси X (dx).
Далее проверяются условия перехода в другие состояния.
Если перемещение dx не совпадает по направлению с текущей скоростью или dx по модулю меньше или равно пути, требуемого для снижения текущей скорости до нуля, то происходит переход в состоянии DEACCEL. Если же уже набрана максимальная скорость и не выполняется условия перехода в состояние DEACCEL, то происходит переход в состояние движения на постоянной скорости CONST. Если же не происходит переходов в состояния DEACCEL и CONST, то мы остаемся в текущем состоянии и рассчитываем следующие параметры:
интервал времени между импульсами, то есть время необходимое для того чтобы
произошло перемещение, равное одному шагу двигателя.

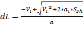
, (1.1)
где
![]()
-
текущая скорость;
![]()
-ускорение;
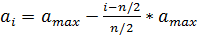
Ускорение
изменяется по треугольному закону. Мы задаем количество шагов необходимых для
достижения заданной максимальной скорости n. Тогда
ускорение растет, пока не наступит шаг номер n/2, затем
происходит снижение ускорения до нуля.
![]()
, если i≤n/2
![]()
, если i>n/2
![]()
- длина
шага.
значение
текущей скорости, по истечении времени dt
![]()
(1.2)
-
тормозной путь- путь необходимый для снижения текущей скорости до нуля. St=![]()
время
окончания dt
TendStep=Ttek+dt
Затем устанавливаются сигналы на шаговый двигатель BSM_x[4] и задача ждет пока пройдет время dt, рассчитанное раннее.
). CONST. Состояние движения на постоянной скорости. В этом состоянии мы вычисляем dx, и проверяем нужно ли переходить в состояние снижения скорости. Если этого не требуется, то мы рассчитываем параметры: dt,Vt,St и т.д. Формируем сигналы на шаговый двигатель и ожидаем окончания рассчитанного времени dt.
). DECCEL. Состояние торможения. В этом состоянии рассчитываем dx и проверяем условия переходов в состояния ACCEL, CONST. Если направления скорости и перемещения совпадают, перемещение по модулю больше тормозного пути и текущая скорость меньше максимальной, то переходим в состояние наращивания скорости, если же скорость равна максимальной, то переходим в состояние движения на постоянной скорости.
Если не выполняются предыдущие условия, то если текущая скорость равна нулю, переходим в состояние блокировки тормоза BRAKE.
В
противном случае рассчитываем параметры движения, формируем сигналы на порты
управления шаговым двигателем и ожидаем окончания времени dt.
В
результате описания структуры получим конечный автомат состояний задачи Sled_x,
представленный на рисунке 2.2.
Рисунок
2.2 - Структура состояний задачи Sled_X
Таблица 2.1. Состояния задачи Sled_X
|
№ |
Имя |
Вход |
Действие |
Выход |
|
0 |
InitState |
- |
- |
sost=STOP_SX |
|
1 |
STOP_SX |
- |
Xt,Yt=0 |
sost=BRAKE_SX |
|
2 |
BRAKE_SX |
- |
TendT=Tt+Ttormoz |
sost=STOP_SX sost=ACCEl_SX |
|
3 |
ACCEL_SX |
Vi, A, Xt ,Xc |
Vi+1=Vi+ai*dt |
sost=CONST_SX sost=DEACCEL_SX sost=ACCEL_SX |
|
4 |
CONST_SX |
Xt ,Xc Ai Ssh |
dx=Xc-Xt
St=Ssh*i |
sost=DEACCEL_SX |
|
5 |
DEACCEL_SX |
Xc Xt |
dx=Xc-Xt
Vt=Vi-ai**dt |
sost=BRAKE_SX sost=DEACCEL_SX |
|
6 |
STEP_SX |
Tt Vi Ai Ssh |
TendStep=Tt+dt |
sost=CONST_SX sost=DEACCEL_SX sost=ACCEL_SX |
Где Vt - текущая скорость перемещения манипулятора по координате Y;
Dx - расстояние до целевой координаты Xс;
St - тормозной путь, требуемый для снижения текущей скорости до нуля;
Vm - максимальная скорость;
sost - переменная указывающая предыдущее состояние задачи.
Задача GotoX основана на том же алгоритме, что и Sled_X, и имеет подобную структуру состояний. Отличаются лишь условия переходов из одного состояния в другое. Дело в том, что на этапе калибровки не известно, где конкретно находится выходное звено и сколько нужно пройти до начала координат. А значит рассчитать временные интервалы мы можем только для состояния ускорения, и при дальнейшем движении ориентироваться по сигналам, полученным с датчика снижения скорости и датчика начального положения.
Таким образом, задача принимает следующую структуру:
). STOP. Состояние останова. В это состояние задача переходит при инициализации. Если была дана команда выхода в ноль, то задача переходит в состояние освобождения тормоза BRAKE.
). BRAKE. В этом состоянии задача выжидает время действия тормоза, которое задано по условию. Если предыдущее состояние было STOP(то есть мы начинаем движение), то проверяются сигналы с датчиков, для того чтобы бы определить следующее состояние задачи.
Если сработал датчик снижения скорости (ДСС) и еще не сработал датчик начального положения(ДНП), то задача переходит в состояние движения на малой скорости, которая должна быть задана пользователем.
Если ни один из датчиков не сработал, то задача переходит в состояние разгона ACCEL.
Если оба датчика сработали, то задача переходит в состояние дожима DOGE.
Если же переход в текущее состояние произошел для блокировки тормоза, то переходим в состояние останова.
). ACCEL. Состояние разгона. В этом состоянии происходит наращивание скорости, пока не сработает ДСС или не будет достигнута максимальная скорость. В первом случае произойдет переход в состояние торможения DEACCEL, во втором - в состояние движения на постоянной скорости CONST.
). SMALL_V. В этом состоянии происходит движение на заданной малой скорости, пока не сработает датчик начального положения. Как только сработает датчик, задача перейдет в состояние дожима DOGE.
). DOGE. Дожим. Здесь мы делаем m импульсов на 1-ой скорости и переходим в состояние BACK.
). CONST. В данном состоянии происходит движение на постоянной скорости пока не сработает ДСС, а затем происходит переход в состояние торможения DEACCEL.
). DEACCEL. Состояние торможения. Здесь происходит снижение скорости до заданного минимального значения , а затем переход в состояние SMALL_V.
). BACK. Выход в нулевую позицию. В данном состоянии мы делаем n импульсов назад, для выхода в заданную позицию, устанавливаем значение текущей координаты равной нулю и переходим в состояние блокировки тормоза BRAKE.
В результате получим структуру состояний задачи Goto0_X,
представленную на рисунке 2.3.
Рисунок 2.3 - Структура состояний задачи GotoX
Таблица 2.2 Состояния задачи GotoX
|
№ |
Имя |
Вход |
Действие |
Выход |
|
0 |
InitState |
- |
- |
Ostanovka=1=>sost=STOP |
|
1 |
STOP |
Ostanovka=1 |
- |
sost=BRAKE |
|
2 |
BRAKE |
sost=1 do T_x=1 else T_x=0 Tt |
T=Tt+T_x |
DSS_X=0 or (DSS_X=1&(DSP_X=1orDSP_X=1) |
|
3 |
ACCEL |
Vt,Tt, Vm,A,Xc, Xt |
|
Vt,dt,Ttek |
|
4 |
SMALL_V |
Xt ,Xc Ai Ssh,Tt,Vt |
dx=Xc-Xt
St=Ssh*i |
DSP=1=>sost=DOGE |
|
5 |
DOGE |
DSP=1 |
Stcount=m |
sost=BACK |
|
6 |
CONST |
Xt ,Xc Ai Ssh |
dx=Xc-Xt
St=Ssh*i |
DSS=1 =>sost=DEACCEL |
|
7 |
DEACCEL |
Xc Xt |
dx=Xc-Xt
Vt=Vi-ai**dt |
Vt=Vmin Sost=SMALL_V |
|
8 |
BACK |
Xt sost=DOGE |
Stcount=n |
Xt=0 sost=BRAKE |
Где Vt - текущая скорость перемещения манипулятора по координате Y;
Dx - расстояние до целевой координаты Xс;
St - тормозной путь, требуемый для снижения текущей скорости до нуля;
Vm - максимальная скорость;
sost - переменная указывающая предыдущее состояние задачи.
Как уже говорилось, задача Sled_Y ответственна за расчет временных характеристик и координат движения ШД2. Так как Привод с ШД не имеет обратной связи, вся траектория должна рассчитываться до начала движения. Расчет характеристик движения осуществляется при помощи мгновенного значения времени и независящего от него параметра. Так как по заданию ускорение изменяется по треугольному закону, то этим параметром можно считать модуль производной от ускорения k.
В задаче Sled_Y можно выделить следующие состояния:
). READY. Состояние ожидания действий. В это
состояние задача переходит при инициализации. В нем проверяется условие
движения, а именно разница между текущей и целевой координатами по оси Y. Если условие выполняется,
рассчитываются временные интервалы для каждого состояния движения:
T2=Tr/2=T2*Vm=(S-2*Sr)/Vm=Vm/T2/T2,
где Tr - время разгона/торможения (устанавливается в соответствии с оборудованием);
T2 - период времени, по истечении которого k поменяет знак в ускоренном режиме;
Sr - путь, который пройдет выходное звено на этапе ускорения/торможения;
S - общий путь;
Vm - заданная максимальная скорость на пути;
k - производная ускорения.
Рассчитав данные характеристики, задача переходит в состояние освобождения тормоза BRAKE.
). BRAKE. В этом состоянии задача выжидает время действия тормоза, которое задано по условию, и затем переходит в состояние ускорения либо останова.
). ACCEL. Состояние ускорения. В этом
состоянии ускорение в течение первого периода T2 растет, в течение второго - уменьшается до нуля. Расчет
ускорения, скорости и координаты ведется по итерационным формулам:
a=k*t, если t<=T2
a=-k*t+Tr*k, если
t>T2=v0+(a+a0)/2*(t-t0)=y0+(v0+a*(t-t0)/2)*(t-t0),
где a - мгновенное ускорение;
t - время от начала состояния;
t0 - момент времени прошлого расчета;
v - мгновенная скорость;
v0 - начальная скорость;
y - расчетное значение текущей координаты;
y0 - начальная координата.
При достижении очередного целого значения y задача производит шаг выходного звена в нужном направлении. По истечении времени Tr задача переходит в состояние CONST.
). CONST. В этом состоянии параметр k и ускорение равны нулю, а скорость
постоянная, что соответствует равномерному движению. Поэтому в этом состоянии
рассчитывается только текущая координата:
y=y0+v0*(t-t0).
При достижении очередного целого значения x задача производит шаг выходного звена в нужном направлении. По истечении времени Tconst с момента вхождения в состояние задача переходит в состояние DECCEL.
При малых перемещениях выходного звена данное состояние должно было бы игнорироваться. Однако для упрощения условий перехода между состояниями задача обязательно пройдет через данное состояние, возможно и не сделав ни одного шага в нём.
). DECCEL. Состояние торможения. В этом
состоянии ускорение в течение первого периода T2 уменьшается, в течение второго - растет до нуля. Расчет
ускорения, скорости и координаты ведется по следующим итерационным формулам:
a=-k*t, если
t<=T2=k*t-Tr*k, если
t>T2=v0+(a+a0)/2*(t-t0)=y0+(v0+a*(t-t0)/2)*(t-t0)
где t - время с момента перехода в состояние.
При достижении очередного целого значения y задача производит шаг выходного звена в нужном направлении. По истечении времени Tr с момента перехода в состояние задача переходит в состояние блокировки тормоза BRAKE.
). WAIT. Состояние останова. В этом состоянии задача выдерживает заданное время остановки Tstop и переходит в состояние READY.
В результате описания структуры получим конечный автомат состояний задачи
Sled_Y, представленный на рисунке 2.4.
Рисунок 2.4 - Структура состояний задачи Sled_Y
Таблица 2.3. Состояния задачи Sled_Y
|
№ |
Имя |
Вход |
Действие |
Выход |
|
0 |
InitState |
- |
- |
sost=STOP_SY |
|
1 |
STOP_SY |
- |
Yt=0 |
sost=BRAKE_SY |
|
2 |
BRAKE_SY |
- |
TendT=Tt+ Ttormoz |
sost=STOP_SY sost=ACCEl_SY |
|
3 |
ACCEL_SY |
Vi, Ai, Yt ,Yc |
Vi+1=Vi+ai*dt |
sost=CONST_SY sost=DEACCEL_SY sost=ACCEL_SY |
|
4 |
CONST_SY |
Yt ,Yc Ai Ssh |
dy=Yc-Yt
St=Ssh*i |
sost=DEACCEL_SY |
|
5 |
Yc Yt |
dy=Yc-Yt
Vt=Vi-ai**dt |
sost=BRAKE_SY sost=DEACCEL_SY |
|
|
6 |
STEP_SY |
Tt Vi Ai Ssh |
TendStep=Tt+dt |
sost=CONST_SY sost=DEACCEL_SY sost=ACCEL_SY |