Материал: Разработка и реализация программного обеспечения, ориентированного на определение вероятностных характеристик надежности элементов по наблюдениям вероятностных характеристик надежности всей системы

Внимание! Если размещение файла нарушает Ваши авторские права, то обязательно сообщите нам

Разработка и реализация программного обеспечения, ориентированного на определение вероятностных характеристик надежности элементов по наблюдениям вероятностных характеристик надежности всей системы

МИНИСТЕРСТВО ОБРАЗОВАНИЯ РЕСПУБЛИКИ БЕЛАРУСЬ

Учреждение образования

«Гомельский государственный университет

имени Франциска Скорины»

Математический факультет

Кафедра математических проблем







Разработка и реализация программного обеспечения ориентированного на определение вероятностных характеристик надежности элементов по наблюдениям вероятностных характеристик надежности всей системы

Курсовой проект

Исполнитель

студент группы ПО-31                            ____________    Е.В. Зайцев

Научный руководитель

к.т.н., доцент                                   ____________   Е.И. Сукач





Гомель 2013

Содержание

Введение

.        Описание предмета исследования

.1      Описание метода вероятностно-алгебраического моделирования

.2      Примеры определения вероятностных характеристик функционально-сложной системы в символьном виде

.        Описание программных средств

.1      Получение и добавление данных с сервера “Всемирной организации здравоохранения”

.2      Структура базы данных

.3      Алгоритм вероятностно-алгебраического моделирования

.        Теоритическая разработка программного обеспечения

ЗАКЛЮЧЕНИЕ

СПИСОК ИСПОЛЬЗОВАННЫХ ИСТОЧНИКОВ

ПРИЛОЖЕНИЕ

Введение


Объектом исследования являются сложные системы (СС), которые представляют собой совокупность изменяющихся компонентов, взаимосвязанных между собой и рассматриваемых как единое целое. Связи между компонентами системы зависят от решаемой задачи и отличают СС от простого набора частей.

Исследование характеристик таких систем возможно с использованием методов имитационного моделирования, которые требуют проведения многочисленных имитационных экспериментов с последующим усреднением полученных результатов. Имитационные модели позволяют выявить некоторые закономерности функционирования СС и оценить в динамике изменение их вероятностных характеристик, однако обновление параметров моделирования требует проведения очередной серии экспериментов, что замедляет процесс исследования СС и не позволяет составить общую картину динамического поведения СС.

Естественным подходом, эффективно применяемым при исследовании СС, является использование логико-вероятностных методов. Классический логико-вероятностный метод предназначен для исследования характеристик надёжности структурно-сложных систем (ССС), которые при описании не сводятся к последовательным, параллельным и древовидным структурам [2]. При этом структура системы описывается средствами математической логики, а количественная оценка ее надежности производится с помощью теории вероятностей. Известен ряд модификаций и расширений возможностей этого метода, целью которых является решение задач надёжности в различных проблемных областях [3]. Ограничением этих методов является:

.        рассмотрение двух состояний компонентов системы,

.        использование строго определённого множества операторов для определения связей между компонентами системы,

.        предположение о независимости состояний компонентов от изменений, происходящих с остальными компонентами и всей системой в целом во времени.

Поэтому актуальна разработка метода вероятностно-алгебраического моделирования (ВАЛМ) сложных систем, позволяющего учесть вероятностный характер состояний компонентов СС и неопределённость операций, задающих взаимосвязи между этими компонентами. Рассмотрение совокупности операторов, определяющих отношения между компонентами системы, позволяет провести исследование функционально-сложных систем, то есть таких, у которых поведение системы определяется наличием функциональных связей между её компонентами, вероятностно изменяющими своё состояние во времени.

В статье даётся формальное описание метода ВАЛМ функционально-сложных систем, позволяющего решать следующие задачи:

.        получать изменяющиеся во времени вероятностные характеристики рассматриваемых состояний моделируемой системы, которые могут соответствовать как процессу разрушения, так и процессу развития систем из различных проблемных областей,

.        определять вероятностные характеристики системы в зависимости от изменения вероятностных характеристик составляющих её компонентов,

.        определять вероятностные характеристики одного из элементов системы по известным вероятностным характеристикам остальных компонентов и всей системы,

.        выявлять зависимые вероятностные характеристики отдельных компонентов и определять степень их влияния на вероятностные характеристики всей системы,

.        определять структуру модели системы, оптимально описывающую имеющиеся экспериментальные данные.

В статье приводятся результаты применения метода ВАЛМ для оценки в символьном виде вероятностных характеристик функционально-сложной системы по параметрически заданным векторам вероятностей состояний её элементарных компонентов.

1. 
Описание предмета исследования


1.1    Описание метода вероятностно-алгебраического моделирования

вероятностный алгебраический моделирование сервер

При ВАЛМ функционально-сложная система представляется в виде множества устройств , соответствующих элементарным компонентам исследуемой системы. Устройства  считаются независимыми и описываются однотипным образом - n-мерным вектором, определяющим их возможные состояния, которые задаются множеством . Каждое из состояний  характеризуется совокупностью значений параметров компонентов исследуемой системы. Нахождение устройств в каждом состоянии носит вероятностный характер. Вероятности нахождения устройств  в каждом из состояний определяются векторами .

Взаимосвязи между устройствами модели задаются операциями, определяющими композиции устройств . Будем говорить, что устройство  является композицией устройств  и , , если задано отображение F , однозначно определяющее состояние  устройства  по состояниям и  исходных устройств  и  , где k = F(i, j). При этом отображение F однозначно определяет вероятности состояний результирующего устройства по вероятностям состояний исходных устройств:

.

Операция (*), определённая на этом множестве порождает алгебру А*, то есть:


и для операции * справедливы законы дистрибутивности:

,

,

где a и b- вещественные числа, .

Алгебра задаётся структурными коэффициентами , для которых выполняются условия

  и .

При этом элементы результирующего вектора  вычисляются по формуле:

, где .

В том случае, если состояния компонентов детерминированы, они описываются векторами , которые являются базисными элементами пространства  (и алгебры). В простейшем случае произведение базисных векторов  есть базисный вектор, где

При этом операция, порождающая алгебру, является детерминированной и задаётся функцией . Структурные коэффициенты такой алгебры определяются следующим образом:

 .

Алгебра А*, порождённая детерминированной операцией *, имеет следующие свойства [80].

Свойство 1. Если функция F коммутативна, то алгебра А* является коммутативной, то есть:

.

Свойство 2. Если функция , задающая операцию *, которая порождает алгебру А*, ассоциативна, то алгебра А* является ассоциативной, то есть:

.

Свойство 3. Если векторы  и  являются положительными и нормированными, то и вектор  также обладает этими свойствами, то есть:

.

Перечисленные свойства алгебр (ассоциативность и коммутативность) позволяют интерпретировать их при исследовании вероятностных характеристик СС графовой структуры и сделать практические выводы для исследуемых систем с использованием отмеченных свойств.

Свойство 4. Если составляющие векторов  и , определяющие состояния элементов системы являются детерминированными, то и составляющие результирующего вектора  являются детерминированными.

Использование n-арных функций, задающих операции на множестве векторов (3.1), порождает n-арные стохастические алгебры, отображающие n векторов из множества  в вектор из этого же множества в соответствие с заданной операцией. Например, в случае тернарной операции, формируются структурные коэффициенты алгебры , а компоненты результирующего вектора вероятностей вычисляются по формуле:

.

Таким образом, при вероятностно-алгебраическом моделировании исследуемая функционально-сложная система представляется композицией Z устройств , то есть , её состояние однозначно определяется состоянием устройств, участвующих в композиции, и вероятность нахождения системы в каждом из состояний может быть вычислена с учётом введённых операций.

Пусть  состояние исследуемой системы в момент времени t, а  состояние моделируемой системы в моменты времени 1,..,t-1. Тогда , где R - совокупность управляющих правил, описывающих динамику модели системы. Правила, представленные в предикатной форме, управляют процессом изменения модели во времени и на каждом шаге моделирования определяют:

.        изменение состояний одних устройств модели зависимости от состояний других,

.        однотипные и тождественные устройства модели;

Процесс ВАЛМ реализуется итерационно путём проведения компьютерных аналитических расчётов на каждом шаге моделирования, однозначно определяющих вероятности состояний системы по вероятностям исходных устройств. Метод позволяет проводить расчёты с целью оптимизации и поиска экстремальных (критических) значений состояний системы, а также решать прямые и обратные задачи. А именно, для построенной вероятностно-алгебраической модели и заданных правил функционирования модели возможно получение динамически изменяющихся векторов вероятностей возможных состояний системы (прямая задача). В том случае, если исследуются условия, приводящие к возникновению определённых (критических) состояний системы, решается обратная задача.

1.2    Примеры определения вероятностных характеристик функционально-сложной системы в символьном виде


Метод ВАЛМ позволяет сделать оценку вероятностных характеристик исследуемой системы в символьном виде по параметрически заданным векторам составляющих её компонентов.

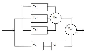
В качестве примера рассмотрим систему, схема которой представлена на рис. 1.2 Связи между компонентами этой системы описываются тремя операциями: операцией , операцией  и тернарной операцией , взаимодействие между которой определяется функцией . Соответственно введённым операциям вероятностно-алгебраическая модель такой системы будет иметь вид .

.

Рисунок 1.2. Схема вероятностно-алгебраической модели функционально-сложной системы

Предположим, что устройства  описываются однотипным образом и характеризуются множеством состояний , вероятности которых определяются соответственно векторами . Значения векторов вероятностей состояний изменяются во времени и задаются

в символьном виде выражением , где  и . В качестве исходных векторов выбираются следующие:  и

2. 
Описание программных средств


2.1 Получение и добавление данных с сервера “Всемирной организации здравоохранения”