Содержание
Введение
. Расчёт статически определимого стержня переменного сечения
. Расчёт статически неопределимого стержня переменного сечения
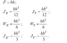
. Определение геометрических характеристик плоских сечений с горизонтальной осью симметрии
. Расчёт на прочность и жёсткость статически определимой балки при изгибе
. Расчёт на прочность и жёсткость стальных статически неопределимых валов переменного сечения при кручении
Список литературы
Введение
Все твердые тела в той или иной мере обладают свойствами прочности и жесткости, то есть способны в определенных пределах воспринимать воздействия внешних сил без разрушения и существенного изменения геометрических размеров.
Прикладная механика - раздел технической механики, в котором рассматриваются основы расчета, конструирование деталей и узлов общего назначения, встречающиеся в различных механизмах, установках и машинах.
Задача прикладной механики заключается не только в выяснении внутренних особенностей изучаемых объектов, но и в том, чтобы в дальнейшем можно было дать правильное толкование полученной закономерности при оценке работоспособности и практической пригодности конструкции.
Сопротивление материалов является разделом механики деформируемого твердого тела, в котором рассматриваются методы расчета типовых элементов конструкций на прочность, жесткость и устойчивость.
Первой стадией создания машины, сооружения является проектирование, в процессе которого расчетным путем определяют размеры отдельных элементов конструкций. Проектируемая конструкция должна быть надежной в заданных условиях функционирования в течение заданного срока.
Круг задач, решаемых методами сопротивления материалов, включает в себя задачи расчета безопасных нагрузок, определения надежных размеров элементов, обоснования выбора наиболее подходящих материалов. Для этого необходимо выявить закономерности распределения внутренних усилий и соответствующих им геометрических изменений в элементах в зависимости от их формы и размеров, вида, характера, места приложения, величины и направления нагрузок, определить меры изменения усилий и деформаций и сопоставить их с механическими характеристиками реальных конструкционных материалов.
Особенностью постановки задач в сопротивлении материалов является широкая экспериментальная проверка предлагаемых решений. Методы сопротивления материалов изменяются вместе с возникновением новых задач и требований практики.
балка изгиб кручение геометрический
1. Расчёт статически определимого стержня
переменного сечения
Стержень переменного сечения защемлён одним
концом в точке А и нагружен продольными силами Pi
(рисунок 1). Форма всех поперечных сечений стержня - квадрат со стороной аi.
Длины участков по ступеням - Li.
Рисунок 1
Требуется:
построить эпюры нормальных усилий Ni ;
построить эпюры нормальных напряжений σi ;
вычислить полное удлинение стержня ΔL;
сделать вывод о прочности стержня.
Материал стержня - сталь Ст. 4.
Сечение стержня − квадрат со стороной аi,
Модуль нормальной упругости - Е = 2 *10 -5 МПа.
Допускаемое напряжение - [σ] = 160 МПа.
Коэффициент запаса прочности:
− по пределу текучести - nT = 1,5;
− по временному сопротивлению - nВ = 2,5.
Исходные данные приведены в таблице 1
Таблица 1.
Р
= 10 кН;
a = 10 мм;
L = 500 мм;
Р1
= Р = 10 кН; Р2 = Р = 10 кН; Р3 = Р = 10 кН; Р4 = 3Р = 30 кН;
a1 = 4a = 40 мм;
a2 = 4a = 40 мм;
a3 = 2a = 20 мм;
a4
= 3a = 30 мм;
L1
= L = 500 мм; L2 = 2L =1000 мм; L3 = L = 500 мм; L4 = L = 500 мм.
Решение
1. Определяем площади поперечных сечений
стержня.
. Определяем опорную реакцию в
защемлении.
Составляем уравнения статики - уравнения
равновесия всех внешних сил.
ΣZ = 0; -ZA
+ Р1 + Р2 + Р3 + Р4 = 0.
В плоскости, перпендикулярной к оси Z, силы
отсутствуют, поэтому относительно осей X и Y отсутствуют и уравнения. Остаётся
одно уравнение ΣZ = 0, из
которого находим
ZA
= Р1 +Р2 + Р3 + Р4;
ZA
= Р + Р + Р + 3Р = 6Р;
ZA
= 6Р = 6·10 = 60 кН.
Результат вычислений получен со знаком «+»,
значит принятое перед расчётом направление реакции ZA
было выбрано правильно.
. Для определения в любом поперечном
сечении стержня внутренних усилий разграничиваем его на характерные участки (I,
II, III, IV). Определяем зависимость внутренних усилий Ni от внешних
сил, используя метод сечений на каждом участке. В пределах каждого участка
проводим произвольное сечение, которое делит стержень на две части. В центре
тяжести сечения изображаем внутреннее усилие Ni в произвольно
предполагаемом направлении. Полагаем направление положительным, если оно
совпадает с положительным направлением оси Z, а усилие Ni при этом
растягивающим, имеющим знак «плюс».
Записываем уравнения равновесия отсечённых
частей стержня, которые выражают зависимость внутреннего усилия в
рассматриваемом сечении от всех внешних сил, действующих по левую сторону от
сечения.
Сечение:
На I участке -ZA
+ N1 = 0;
На II участке -ZA
+ P1 + N2 = 0;
На III участке -P3 - P4 +
N3 = 0;
На IV участке -P4 + N4 =
0.
Из уравнений равновесия определяем зависимость
внутреннего усилия Ni от внешних сил.
На I участке N1 = ZA
На II участке N2 = ZA
- P1
На III участке N3 = P3 + P4
На IV участке N4 = P4
4. Вычисляем нормальные силы Ni
и строим их эпюру.1 = 60 кН (растяжение) 2 = 60 - 10 = 50
кН (растяжение) 3 = 10 + 30 = 40 кН (растяжение)4 = 30 кН
(растяжение)
Строим эпюру внутренних усилий Ni по
участкам (рисунок 1).
. Определяем нормальные напряжения σi
в сечениях стержня по участкам.
На I участке На II участке На III участке На IV участке Строим эпюру нормальных напряжений
по участкам (рисунок 1).
Из эпюры нормальных напряжений σi видно, что
наиболее нагруженным является 3-й участок стержня.
6. Проверяем прочность стержня по
допускаемому напряжению.
При центральном растяжении или сжатии условие
прочности имеет вид:
Так как |σmax| = 100 <
[σ] = 160 МПа,
условие прочности выполняется.
7. Вычисляем величину полного удлинения
стержня.
Из условий закрепления стержня увеличение его
общей длины на величину δ
возможно (см. рисунок 1), так как нет ограничений на перемещение вдоль оси Z
какой-либо точки, в том числе возможно перемещение и конца стержня. Выражаем
деформации в уравнении через внутренние усилия Ni
по закону Гука:
Полное удлинение стержня выражается
алгебраической суммой абсолютных деформаций его участков и имеет вид:
Вывод
¾ В результате решения задачи
определены числовые значения внутренних продольных усилий и соответствующие им
нормальные напряжения в любом поперечном сечении стержня.
¾ Построены эпюры внутренних
растягивающих и сжимающих усилий и нормальных напряжений.
¾ Определено полное абсолютное
удлинение стержня.
¾ Наиболее нагруженным является 3-й
участок стержня. Все сечения этого участка имеют одинаковую величину
максимального нормального напряжения, равную 100 МПа.
¾ Действующие нормальные напряжения в
любом сечении стержня не превышают допускаемого напряжения.
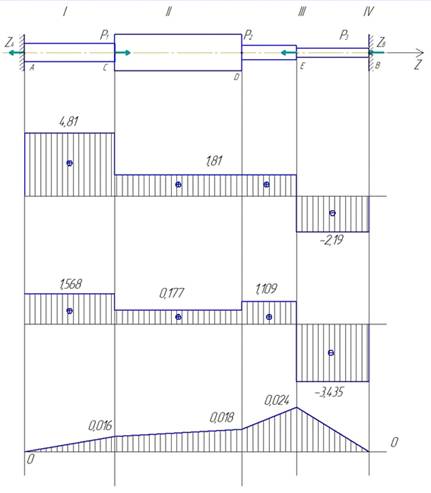
. Расчёт статически неопределимого стержня
переменного сечения
Стержень переменного поперечного сечения
защемлён обоими концами в точках А и В и нагружен продольными силами.
Рисунок 2
Цель: из условия прочности и жёсткости подобрать
безопасные диаметры жёстко защемлённого стержня переменного сечения,
нагруженного сосредоточенными силами.
Исходные данные приведены в таблице 2
Таблица 2.
Р1
= 3 кН; Р2 = 0 кН; Р3 = -10 кН;
α1
=1;
α2
= 2;
α3
= 0,8;
α4
= 0,5;
l1
= 600 мм; l2
= 800 мм; l3
= 400 мм; l4
= 500 мм.
Материал стержня - Аллюминий сплав Д16
Е = 1·10 5 МПа. σТ
= 290 МПа, T = 1,5; σВ
= 440 Мпа, В = 2,5. [ε] = 2 ·10 -4.
Отношения между диаметрами поперечного сечения
на участках и площади поперечного сечения определяются по зависимостям:
Решение
1. Вычерчиваем расчётную схему.
Под действием внешних сил Pi в местах
закрепления стержня возникают реакции. На расчётной схеме (рисунок 2)
показываем замену опорных закреплений стержня в точках А и В реакциями опор ZA
и ZB. На схеме
указываем предполагаемое направление реакций.
. Составляем уравнения статики.
Определяем степень статической неопределимости (ССН) стержня.
ΣZ = 0; -ZA
- Р1 + Р2 - Р3 - ZB
=
0.
Система статически неопределима один раз.
Таким образом, к уравнению статики необходимо
добавить ещё одно недостающее уравнение. Дополнительное уравнение можно
составить на основе условий совместности деформаций элементов (участков)
системы. Для этого определяем количество и границы участков стержня.
. Разграничиваем длину стержня на
характерные участки.
Определяем внутренние продольные усилия Ni.
Определяем положение границ характерных участков по длине стержня A, C, D, E,
B, их количество и нумеруем их I, II, III, IV (рисунок 2).
Записываем уравнения равновесия отсечённых
частей стержня:
На I участке -ZA
+ N1 = 0;
На II участке -ZA
+ P1 + N2 = 0;
На III участке -ZA
+ P1 + N3 = 0;
На IV участке -ZA
+ P1 - P3 + N4 = 0.
Из уравнений равновесия определяем зависимость внутреннего
усилия Ni от внешних сил.
На I участке N1 = ZA
На II участке N2 = ZA
- P1
На III участке N3 = ZA
- P1
На IV участке N4 = ZA
- P1 + P3
. Составляем уравнение совместности
деформаций.
Из условий закрепления увеличение (уменьшение)
общей длины стержня δ невозможно,
поэтому уравнение совместности деформаций выражает алгебраическую сумму
деформаций участков стержня и имеет вид:
∆l1 + ∆l2 +∆l3
+ ∆l4 = 0
Выражаем деформации через внутренние
усилия Ni по закону Гука - поэтому для стержня, изготовленного
из одного материала, Еi можно обозначить через постоянную величину
Е.
В уравнении сделаем замену усилий Ni
5. Раскрываем статическую неопределимость
стержня.
. Вычисляем нормальные внутренние силы
Ni, подставляя найденное значение внешней реактивной силы ZA.
На I участке N1 = ZA
= 4,81 кН
На II участке N2 = ZA
- P1 = 1,81 кН
На III участке N3 = ZA
- P1 = 1,81кН
На IV участке N4 = ZA
- P1 + P3 = -2,19 кН
Строим эпюру Ni (рисунок 2).
. Сделаем проверку вычислений.
Результат проверки подтверждает правильность
раскрытия статической неопределимости.
. Вычисляем приведённые нормальные
напряжения σi.
Выразим их через площадь сечения F1. Значения сил Ni
принимаем по модулю.
По приведённым напряжениям видно, что опасный
участок - четвертый, т.к.
. Из условия прочности и жёсткости
определяем приведённый диаметр сечения опасного участка.
Предварительно вычисляем допускаемое нормальное
напряжение.
Используя коэффициент запаса прочности по
текучести, получаем:
Принимаем [σ] = 190 МПа.
Используя коэффициент запаса прочности по
временному сопротивлению, получим:
Принимаем [σ] = 170 МПа.
Из двух значений допускаемых напряжений
окончательно принимаем
Наименьшее [σ] = 170МПа.
Определяем диаметр d1 из условия
прочности.
Условие прочности стержня
Так как Определяем диаметр d1 из условия
жесткости.
По закону Гука σ = E
ε, или
Условие жёсткости Из найденных по условиям жёсткости и
прочности диаметров выбираем наибольший d1 = 16, 3 мм.
10. Определяем площади Fi сечений
стержня по участкам.
Принимаем dжёстк = 57 мм.
11. Определяем действительные напряжения σi
на участках и строим их эпюры (см. рисунок 2).
. Находим величину продольной деформации Δli
на каждом участке, учитывая знак внутреннего усилия Ni:
. Найдём перемещения сечений A, C, D, E, B:
δА
= 0, так как сечение А имеет жёсткую заделку;
δC
=
δА +
Δl1
= 0 + 0,016 = 0,016 мм;
δD
=
δC +
Δl2
= 0,016 + 0, 002 = 0, 018 мм;
δE
=
δD +
Δl3
= 0, 018 +0,006 = 0,024 мм;
δВ
=
δE
+
Δl4
= 0,024 -0,024 = 0.
Строим эпюру перемещений сечений A, C, D, E, B
(см. рисунок 2).
Вывод
Последовательность вычислений перемещений
сечений A, C, D, E и равенство нулю перемещения точки В указывают на
правильность раскрытия статической неопределимости и правильность решения
задачи по определению напряжений, деформаций и безопасных размеров поперечных
сечений стержня.
Принятые в результате расчёта размеры диаметров
поперечных сечений стержня обеспечат его работоспособность, так как
удовлетворяют условиям прочности и жёсткости.
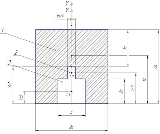
. Определение геометрических характеристик
плоских сечений с горизонтальной осью симметрии
Фигура сложного поперечного сечения с одной
горизонтальной осью симметрии (рисунок 3).
Для неё определить:
− главные моменты инерции J x и
J y ;
− наименьший момент сопротивления Wi.
Исходные данные:
k1 = 2, b = k1 a
= 2a; 2 = 6, h = k2 a =6a ;
Рисунок 3.
Геометрические характеристики плоских сечений
брусьев
прямоугольникa
(рисунок 4).
Рисунок 4.
Решение
1. Разбиваем сечение на элементарные
фигуры и нумеруем их.
По схеме видно, что сечение имеет ось симметрии.
Ось симметрии Y является главной
центральной осью инерции поперечного сечения.
. Вычисляем относительно оси X0
расстояния yC
i
до центра тяжести каждой элементарной фигуры.
3. Вычисляем площади Fi
элементарных фигур.
4. Определяем положение главной
центральной оси XC
Наносим на чертёж главную центральную ось XC
и вычисляем расстояние
от центра тяжести каждой элементарной фигуры до
главной центральной оси XC:
5. Вычисляем главные центральные моменты
инерции каждой элементарной фигуры относительно главных центральных осей всего
сечения.
Относительно найденной главной центральной оси XC:
- Относительно второй главной центральной оси YC.
Так как центры тяжести элементарных фигур в силу
симметрии находятся на оси YC
и отсутствуют расстояния xiC
по оси X, то формула по
определению момента инерции JY
упрощается.
6. Вычисляем наименьшие моменты
сопротивления WX и WY сечения.
Момент сопротивления относительно оси YC.
− Момент сопротивления относительно оси ХС.
Вывод
Из двух найденных моментов
сопротивления наименьшим является WY = JX = JY = Wmin = WY = 4. Расчёт на прочность и жёсткость статически
определимой балки при изгибе
Для балки, загруженной плоскими поперечными
силами (рисунок 4):
− построить эпюры поперечных сил Q и
изгибающих моментов М;
− из условия прочности по нормальным
напряжениям подобрать для балки двутавровое, прямоугольное (h = 2b), круглое,
кольцевое (α = d/D = 0,8) сечения.
Сравнить веса балок с подобранными поперечными сечениями.
Исходные данные:
М2 = M
= 20 кН · м; [σ] = 160 МПа; σТ
= 250 МПа; q = q2
= 20 кН/м; [τ] = 90 МПа; σВ
= 420 Мпа
а = 1 м; Е = 2·105 МПа; nT
= 1,5;
P = 40 кН G = 0,8·105
МПа.
Материал балки - Ст. 20
Заменяем действие закреплений концов балки
опорным реакциями (см. рисунок 4).
Условия для знаков направлений внешних сил:
принимаем положительное направление сосредоточенных и равномерно распределённых
сил вертикально вверх со знаком «плюс» (в сторону положительного направления
оси Y). Положительное направление вращения заданных внешних моментов принимаем
со знаком «плюс» при условии их движения против часовой стрелки.
Произвольно назначаем реакции YA и YB
в положительном направлении.
Рисунок 5
Решениечасть. Расчёт на прочность стальной балки
по нормальным напряжениям [σ]
1. Определяем реакции опор YA и
YB. Составляем моментные уравнения внешних сил относительно опорных
концов балки А и В.
ΣmА
= 0, (q · 3a) · 1,5a + М
- P ·a + MA = 0 A = P ·a - M- (q ·
3a) · 1,5a =-70 кН
· м;
ΣmK = 0,
3a ·(-YА ) + МA
+ P· 2a + M - (q· 3a) · 1,5a = 0А
=P - (q·
3a) = - 20 кН.
Знак «минус» указывает на противоположное
действительное направление реакции.
Сделаем проверку
ΣY
= 0, P - (q
· a) + YA
= 0, 3· 20 - 70 + 80 + 20 - 90= 0
Сумма проекций всех вертикальных сил на ось Y
обратилась в нуль.
Этим подтверждена правильность определения
реакций.
. Устанавливаем границы участков балки
и нумеруем их:участок А-С; II участок C-D; III участок D-B (см. рисунок 4).
. Определяем внутренние усилия в балке и
строим эпюры QY
и MX.
Составляем математические выражения функций
поперечных сил Qi для каждого участка балки, используя метод
сечений.
Поперечная сила Qi,
возникающая в сечении, уравновешивается внешними силами, действующими по одну
сторону от сечения.
I участок:
0 ≤ Z1 ≤ a
Y
= YА
+ q · Z1
При Z1
= 0 QY
= YА =-
20 кН.
Z1 = a = 1 м
QY = YА
+ q = -20 + 20 = 0X = YА
· Z1 + (q · Z1)
При Z1
= 0 MX
=
-70 кН · м;
Z1
= a = 1 м MX
=
60 кН · м; I участок: 0 ≤
Z2
≤ 1
QY
= YА
+ q(Z2
+
a) - P
MX =
-MA + YА
(Z2 + a )+ q· (Z2 + a) При Z2
= 0 QY = - 40 кН;2
= a = 1 м
QY = -20 кН;
При Z2
= 0 MX
=
60 кН · м;
Z1
= a = 1 м MX
=
30 кН · м;
III участок: 0 ≤
Z3
≤ 1
QY = - q · При Z3 = 0 QY = 0 кН;
Z3 = a = 1 м QY = -20 кН ·
м;
MX = (q · Z3)
При Z3 = 0 MX = 0;
Z3= 1 м MX = 10 кН · м.
Строим эпюру поперечных сил QY и MX (рисунок
4).
Вывод: значение максимального изгибающего
момента примем по построенной эпюре.
Строим эпюру изгибающих моментов MX. По эпюре 2. Выполняем расчёт на прочность по
допускаемым нормальным и касательным напряжениям для двутавра и строим эпюру σ
и
τ
по
высоте опасного сечения А.
В нём одновременно действуют максимальный
изгибающий момент maxМX
и максимальная поперечная сила maxQY.
Условие прочности по допускаемым нормальным
напряжениям
Определяем необходимый минимальный
момент сопротивления
Выбор профиля поперечного сечения по
моменту сопротивления WX и
построение эпюр нормальных и касательных напряжений по высоте сечения
− Выбираем двутавровое
сечение.
По ГОСТ 8239-89 Сталь прокатная.
Балки двутавровые.
Двутавр № 30, WX = 472 см3.
Проверяем прочность двутавра № 18 по
нормальным напряжениям.X = 46.5 см3,
F = 40,2 см2, JX = 7080 см4,
SX =268 см3,
толщина стенки d = 6,5 мм, ширина
полок b = 135 мм.
Определяем минимальный необходимый момент
сопротивления для других типов сечения.
. Определяем безопасные размеры
поперечных сечений для круга, кольца и прямоугольника.
− Выбираем круговое сечение:
− Кольцевое сечение: − Прямоугольное сечение с
отношением сторон h = 2b.
Требуемый момент сопротивления
4. Сравниваем веса балок с подобранными
поперечными сечениями. Сравнение веса балок одинаковой длины аналогично
сравнению их площадей поперечных сечений (таблица 3).
Таблица 3 - Сравнение веса балок разных профилей
поперечных сечений
Профиль
сечения
Двутавр
Круг
Кольцо
Прямоугольник
Fi,
мм2
46,5
Соотношение
площадей Вывод
• Наименьший вес имеет двутавровая балка.
Следовательно, по условию прочности балка с таким профилем поперечного сечения
является наиболее экономичной.
• Худший вариант представляет балка с круговым
сечением. Её вес почти в 5 раза превышает вес балки с двутавровым профилем
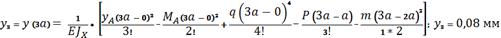
поперечного сечения.I часть.
Определение перемещений в точках 1, 2 и 3
. Определяем начальные параметры
2. Определение перемещений в точках 1, 2 и
3
Определяем перемещение в точке 1
Знак плюс указывает на то, что сечение C
перемещается вверх.
Определяем перемещение в точке 2
Знак плюс указывает на то, что сечение D
перемещается вверх.
Определяем перемещение в точке B
Знак плюс указывает на то, что сечение B
перемещается вверх. Для вала переменного сечения, защемлённого
обоими концами и нагруженного скручивающими парами сил (рисунок 5), подобрать
необходимые размеры поперечных сечений из условий прочности и жёсткости.
Общие данные
Профиль сечений - круг. Отношения
диаметров по участкам связаны зависимостью Рисунок 6.
Требуется:
− раскрыть статическую неопределимость
системы;
− подобрать необходимые размеры поперечных
сечений вала из условий прочности и жёсткости.
Исходные данные для расчёта взять из таблицы 4 и
5
Схема вала принимается по рисунку 6.
Таблица 4 − Значения моментов на шкивах и
значения коэффициента α
М1
М2
М3
α1
α2
α3
α4
кН⋅м
-
0,4
0,8
1
1
2
1
1
Таблица 5 − Длины участков, материал и
допускаемый относительный угол закручивания вала
l1
l2
l3
l4
Материал
[θ],
град ·м-1
кН⋅м
Алюминиевый
сплав Д16
5
0,7
3
2
1
Вал переменного сечения защемлён обоими концами
и нагружен скручивающими парами.
Исходные данные:
Материал алюминиевый сплав ЛС59-1, σТ
= 90 МПа, [τ] = 0,6 [σ], nТ=
1,5.
Модуль сдвига G = 0,26·10 5 МПа.
Допускаемый относительный угол закручивания [θ]
= 5 º/м = 8, 7 · 10 -5 рад/мм.
Таблица 6
Внешние
пары сил
Отношения
диаметров
Длины
участков
М1
= 0,4 кН · м =0,4 · 10-6 Н · мм
α1
=
1
L1
= 0,7
М2
= 0,8 кН · м =0,8 · 10-6 Н · мм
α2
=
2
L2
= 0,15 м
М3
= 1 кН · м = 1 · 10-6 Н · мм
α3
=
1
L3
= 0,1 м
α4
=
1
L4
= 0,45 м
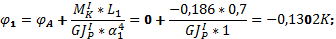
Решение
1. Составляем и вычерчиваем расчётную
схему
Вал нагружен только парами сил, лежащими в
плоскости поперечного сечения. Под действием внешних моментов Мi в
местах закрепления вала возникают только две опорные реакции - реактивные
моменты в защемлениях МA и МB.
Мысленно заменяем опорные закрепления в точках А
и В опорными реактивными моментами.
На расчётной схеме произвольно показываем
предполагаемое направление их вращения.
Разбиваем вал на участки I, II, III, IV по
сечениям A, C, D, E, B.
. Составляем возможное уравнение
статики. Определяем степень статической неопределимости (ССН) вала.
Σmom
Z = 0; МA + М1 - М2 + М2 - МB
= 0.
Подставив значения Мi получим:
МA - МB = -0,6 кН · м. (1)
Имеем одно уравнение с двумя неизвестными.
Остальные тождественно обращаются в нуль.
Степень статической неопределимости
ССН = nн - nу = 1.
. Составляем дополнительное уравнение
из условия совместности деформаций.
Мысленно освободив вал от нагрузок и от лишней
связи, отбрасывая правую опору, получим основную систему.
Загружая основную систему заданными моментами и
неизвестным моментом МВ, получаем систему, эквивалентную заданной.
Условием эквивалентности является равенство нулю
угла поворота сечения В из условий закрепления
φВ
= 0. (2)
Это уравнение является деформационным
уравнением, которое можно представить в следующем виде:
Деформационное уравнение выражаем по
закону Гука через совместные повороты сечений в зависимости от крутящих
моментов
Крутящие моменты находим методом
сечений в зависимости от внешних моментов по участкам вала. Составляем
выражения крутящих моментов, используя правило знаков крутящих моментов.
участок: Используем деформационное уравнение
(3) в виде
4. Подставляем в уравнение (1)
полученное значение В результате решения системы двух уравнений
найдены значения всех внешних моментов. Статическая неопределимость вала
раскрыта. Сделаем проверку вычислений. Так как по условию закрепления поворот
сечения в опоре В невозможен, воспользуемся условием φВ
= 0
Выражаем углы поворота через крутящие моменты.
. Вычисляем значения крутящих моментов
по участкам.
I участок: Строим эпюру крутящих моментов (см.
рисунок 6).
. Для проверки правильности
построения эпюры I участок:
участок:
III участок:
IV участок:
Проверяем точность выполненных
вычислений:
Результат вычислений показал правильность
вычислений.
Строим эпюру углов закручивания (см.
рисунок 6).
7. Определяем относительные (приведённые)
касательные напряжения по участкам. Так как крутящие моменты в любом сечении
какого-либо участка имеют одно значение, то и касательные напряжения
соответственно имеют постоянное значение на своём участке:
Строим эпюру приведённых касательных
напряжений (см. рисунок 6).
По приведённым относительным
напряжениям эпюры видно, что опасными являются все сечения четвертого участка.
8. Из условия прочности определяем
диаметр d3 наиболее нагруженного участка, где действуют максимальные
касательные напряжения.
Условие прочности для четвертого участка вала
maxτ = maxτ
= maxτ
= Округляя до стандартного, принимаем d1
= 29 мм.
Диаметры
вала по участкам:1 = 110 мм
балка изгиб кручение геометрический
Найденные диаметры по всем участкам
вала по касательным напряжениям удовлетворяют условию прочности.
Определяем диаметры вала из условия
жёсткости:
maxθ maxθ Окончательно принимаем d1 = 36
мм.
Вывод
Принятая по условию жёсткости величина диаметра
вала d1 практически совпала с принятым размером по условию прочности
в связи с округлением его в большую сторону. Следует отметить, что условие
жёсткости потребовало несколько большего размера диаметра, чем условие
прочности:
В результате расчёта окончательно принятые
размеры диаметров вала по участкам удовлетворяют оба условия: и по прочности, и
по жёсткости.
Принятые величины диаметров вала согласуются со
значениями ряда нормальных линейных размеров по ГОСТ 8032-84.
Список литературы
1. Гонтарь И.Н., Волчихина Н.И.
Сопротивление материалов. Учебное пособие. - Пенза: ПГУ, 2009.
2. Феодосьев В.И.
Сопротивление материалов - М.: Наука, 1979.
![]()
![]()
![]()
![]()
![]()
![]()
![]()
и ![]()
![]()
,
![]()
![]()
то ![]()
![]()
![]()
; ![]()
,
![]()

![]()
![]()
![]()
Результаты расчёта:
![]()
![]()
![]()
![]()
- P Z2
![]()
= 20 кН;
![]()
![]()
![]()
⇒ ![]()
![]()
![]()
⇒ ![]()
![]()
![]()
![]()
![]()
![]()
1
4,6
3,8
3,2
![]()
. Зависимость моментов инерции
поперечных сечений по участкам вала имеет вид ![]()

,
![]()
.
![]()
, ![]()
участок: ![]()
, ![]()
участок: ![]()
, ![]()
участок: ![]()
, ![]()
![]()
(4)
![]()
(5)
![]()
(6)
Решая совместно уравнения (1) и (6), раскрываем статическую неопределимость
![]()
:
![]()
=> ![]()
![]()
(const от 0 до С), участок: ![]()
(const от С до D), участок: ![]()
(const от D до E), участок: ![]()
(const от E до B),
![]()
построим эпюру углов закручивания φ:
![]()
![]()
![]()
![]()
![]()
![]()
![]()
![]()
![]()
,
![]()
=> ![]()
![]()
принимаем d2 = 25 мм
![]()
![]()
![]()
![]()

;