Материал: Привод к междуэтажному подъемнику

Внимание! Если размещение файла нарушает Ваши авторские права, то обязательно сообщите нам

Привод к междуэтажному подъемнику

МИНИСТЕРСТВО СЕЛЬСКОГО ХОЗЯЙСТВА

РОССИЙСКОЙ ФЕДЕРАЦИИ

Федеральное государственное бюджетное

образовательное учреждение

высшего профессионального образования

"Курская государственная сельскохозяйственная академия имени профессора И.И. Иванова"

Факультет инженерный

Кафедра физики и технической механики


КУРСОВОЙ ПРОЕКТ

По дисциплине "Механика"

Привод к междуэтажному подъемнику


Выполнил:

студент группы АИЭ113б

Дураков Р.А.

Проверил:

к.т.н. старший преподаватель

О.В.Летова



КУРСК - 2014

Аннотация

Привод к междуэтажному подъемнику

Пояснительная записка объемом 30 листов, 2 графических материала , 2 листа формата А4 и А1.

В данной курсовой работе на тему "Привод к междуэтажному подъемнику" выполнено: выбор двигателя, кинематический расчет привода, расчет передач машинного агрегата, разработана и изображена кинематическая схема привода, разработан и изображен общий вид привода.

Содержание

Введение

. Разработка кинематической схемы машинного агрегата

. Выбор двигателя. Кинематический расчет привода

.1 Определение номинальной мощности и номинальной частоты вращения

.2 Определение передаточного числа привода и его ступеней

.3 Расчет силовых и кинематических параметров привода

. Выбор материалов зубчатых передач. Определение допускаемых напряжений

.1 Выбор материалов зубчатых передач

.2 Определяем допускаемые контактные напряжения для зубьев шестерни и колеса

.3 Определяем допускаемое напряжение изгиба для зубьев шестерни и колеса

. Расчет зубчатых передач редукторов

.1 Выполнить проектный расчет редукторной пары

.2 Выполнить проверочный расчет редукторной пары

. Расчет открытой передачи

.1 Расчет плоскоремённой передачи

.2 Выполним проверочный расчет открытой передачи

Заключение

Список используемых источников

Приложения

Введение

Курс "Механика" посвящен рассмотрению основ расчета и конструирования деталей и узлов общего назначения, встречающихся в различных механизмах и машинах. Механизмом называют систему твердых тел, предназначенную для преобразования движения одного или нескольких тел в требуемые движения других тел (редуктор, коробка передач и др.). Машиной называют механизм или устройство, выполняющее механические движения, служащие для преобразования энергии, материалов или информации с целью облегчения или замены физического или умственного труда человека и повышения его производительности. Все машины состоят из деталей, которые объединены в узлы (сборочные единицы). Деталью называют часть машины, изготовленную без применения сборочных операций (болт, шпонка, зубчатое колесо и др.). Узлом называют сборочную единицу, состоящую из деталей, имеющих общее функциональное назначение (подшипник качения, вал в сборе с подшипниками и зубчатыми колесами, коробка передач, муфта и др.). Целью курса является изучение основ расчета и конструирования деталей и узлов общего назначения с учетом режима работы и требуемого ресурса машины. При этом рассматриваются вопросы выбора материала, способа термической обработки, получения рациональной формы деталей, их технологичности и необходимой точности изготовления. Редуктор - это механизм, предназначенный для понижения угловой скорости и увеличения передаваемого момента в приводах от двигателя к рабочей машине. Основными узлами механизма являются зубчатые передачи, валы, подшипники и корпус редуктора.

1. Разработка кинематической схемы машинного агрегата

Устанавливаем подъемник на железнодорожную станцию для обработки товарных вагонов. Работа в 2 смены, нагрузка мало меняющаяся, режим реверсивный, продолжительность смены tc= 8 ч.

Определяем ресурс привода Lh, часов:

 (1.1)

где Lr- срок службы привода, лет; Lc- число смен,

часов.

Принимаем время простоя машинного агрегата 15% ресурса, тогда:

Lh= ч

Рабочий ресурс привода принимаем  часов.

Таблица 1.1- Результаты расчета срока службы привода

Место установки

Lr

Lc

tc

Lh, ч

Характер нагрузки

Режим работы

Ж\Д станция

7

2

8

35•103

С малыми колебаниями

Реверсивный



2. Выбор двигателя. Кинематический расчет привода

2.1 Определение номинальной мощности и номинальной частоты вращения

Мощность двигателя зависит от требуемой мощности рабочей машины, а его частота вращения - от частоты вращения приводного вала рабочей машины.

Определяем требуемую мощность машины:

 (2.1)

где F- значение тяговой силы, кН; v- линейная скорость, м/с.


Определяем КПД всего привода:

,(2.2)

где соответственно КПД закрытой, открытой передач, муфты, подшипников качения, подшипников скольжения:


Находим требуемую мощность двигателя:

(2.3)


Определяем номинальную мощность двигателя


Принимаем мощность равную 4,0кВт

Выбираем тип двигателя:

Таблица 2.1

Вариант

Тип двигателя

Номинальная мощность Pном, кВт

Частота вращения, об/мин




синхронная

при номинальном режиме nном

1 2 3 4

4АМ100S2У3 4АМ100L4У3 4АМ112MB6У3 4АМ132S8У3

4,0 4,0 4,0 4,0

3000 1500 1000 750

2880 1430 950 720


Определяем частоту вращения звездочки:

,(2.4)

где Z-число зубьев звездочки; р- шаг тяговой цепи, мм.

 об/мин.

2.2 Определение передаточного числа привода и его ступеней

Находим передаточное число для каждого варианта:

(2.5)


Производим разбивку общего передаточного числа:

(2.6)

принимаем Uзп=25

где Uзп, Uоп - передаточные числа открытой и закрытой передачи;


Выбираем ; двигатель 4АМ112МВ6У3; n =950 об/мин.

Определяем максимально допустимое отклонение частоты вращения вала:

(2.7)

где δ- допускаемое отклонение скорости приводного вала рабочей машины

 об/мин.

Определим допускаемую частоту вращения вала рабочей машины:

[nрм]= ± (2.8)

[nрм]=  об/мин.

Определим фактическое передаточное число привода:

(2.9)

 об/мин.

Передаточные числа закрытой и открытой передачи:



Таблица 2.2 - Результат выбора типа двигателя

Тип двигателя

Мощность машины, кВт

Частота вращения, об/мин

Общее передаточное число

Передаточное число закр. передачи

Передаточное число откр. передачи

4АМ112МВ6У3

4,0

950

65,9

25

3


2.3 Расчет силовых и кинематических параметров привода

Силовые (мощность и вращающийся момент) и и кинематические (частота вращения и угловая скорость) параметры привода рассчитывают на валах из требуемой (расчётной) мощности двигателя и его номинальной частоты вращения при установившемся режиме.

Расчет угловой скорости номинальной, на быстроходном и на тихоходном валу и рабочей машины, рад/с:

(2.10)

где nном - номинальная частота вращения, об/мин.

 рад/с,

(2.11)

 рад/с,

(2.12)

 рад/с,

(2.13)

рад/с.

Расчет частоты вращения на быстроходном и тихоходном валу, и валу рабочей машины, об/мин:

(2.14)

 об/мин,

(2.15)

 об/мин,

(2.16)

 об/мин.

Расчет вращающего момента на быстроходном и тихоходном валу, момента двигателя и рабочей машины, Н·м:

,(2.17)

где Рдв - мощность двигателя, Вт.

,

(2.18)

,

(2.19)

,

(2.20)

.

Расчет мощности на быстроходном и тихоходном валу, мощности на двигателе, мощности рабочей машины, кВт:

,

(2.30)

,

(2.30)

,

(2.31)

.

Таблица 2.3- Результаты расчета силовых и кинематических параметров

Тип двигателя 4АМ112МВ6У3 Рном=4,0 кВт; n =950 об/мин

Параметр

Передача

Параметр

Вал


Закр

Откр


Двигателя

Редуктора

Приводной рабочей машины






Б

Т


Передаточное число U

25

3

Расчетная мощность Р, кВт

4,0

2,8

2,28

2,1




Угловая скорость , 1/с

99,4

33,1

1,3

1,3

КПД

0,8

0,91

Частота вращения n, об/мин

950

316,6

12,6

12,6




Вращающий момент Т, Н•м

32

87

1722,7

1654,5



3. Выбор материалов червячных передач. Определение допускаемых напряжений

Привод к качающемуся подъемнику с двигателем мощностью Р=4,0 кВт и частотой вращения п=950 об/мин состоит из цепной передачи передачи с передаточным числом иоп=3 и одноступенчатого червячного редуктора с передаточным числом изп=25. Нужно выбрать материал передачи редуктора и определить допускаемые контактные и изгибные напряжения.

3.1 Выбираем материал червячной передачи

Определяем марку стали:

для червяка-45, твердость ≥45HRC;

т.к. скорость скольжения:

 (3.1)

 м/с

1,6 ≤ 2, тогда выбираем группу 3 - серые чугуны с пластинчатым графитом, для колеса-СЧ18.

Определяем механические характеристики стали 45:

для червяка твердость 45...50 HRCэ1, термообработка-улучшение и закалка ТВЧ, Dпред=80мм;

для колеса твердость центробежный способ отливки.

3.2 Определяем допускаемые изгибные напряжения F для червячного колеса

Рассчитываем коэффициент долговечности KFL.

Наработка за весь срок службы:

 =573·ω2Lh , (3.2)

где ω2 угловая скорость соответствующего вала;

Lh- ресурс, часов;

 = 573·1,3·35·103 = 26 ·106 циклов.

Определяем сам коэффициент:

, (3.3)

.

Определяем допускаемое изгибное напряжение:

для колеса [σ]FFL [σ]B0,16 (3.4)

[σ]F= 0,16·890∙0,5 = 71,2 Н/мм2.

Так как передача работает в реверсивном режиме, то полученное значение допускаемого изгибного напряжения нужно уменьшить на 25%:

 Н/мм2.

3.3 Определяем допускаемые контактные напряжения колеса Н.

Определяем допускаемое напряжение :

для колеса Н=200 - 35vs (3.5)

где vs - скорость скольжения,

Н= 200 - 35∙1,6 = 144 Н/мм2.

Так как червячная передача расположена вне масляной ванны, то [σ]Н уменьшаем на 15%:

[σ]Н = 144∙ 0,85=122,4 Н/мм2.

Составляем табличный ответ к задаче (табл. 3.4).

Таблица 3.4.- Механические характеристики материалов зубчатой передачи

Элемент передачи

Марка материала

Dпред

Термообработка

HRCэ

В

[]Н

[]F




Способ отливки


Н/мм2

Червяк

Сталь 45

80

У

45…50

890

650

-

-

Колесо

СЧ18

-

З

-

355

-

122,4

53,4



4. Расчет червячной передачи редуктора

Расчёт червячной передачи производится в два этапа: первый расчёт - проектный, второй - проверочный.

.1 Выполняем проектный расчет редукторной пары

Определим межосевое расстояние aw, мм:

 , (4.1)

 мм.

Выбираем число витков червяка z1:

так как передаточное число редуктора Uзп = 25, то z1 = 2.

Определяем число зубьев червячного колеса:

2 = z1 ∙ Uзп (4.2)

z2 = 25 ∙ 2 = 52.

Выполняется условие отсутствия подрезания зубьев.

Определяем модуль зацепления, m, мм:

 (4.3)

 мм.

Полученное значение m округляем в большую сторону до стандартного m=4.

Определяем коэффициент диаметра червяка из условия жесткости:

 (4.6)

.

Определяем коэффициент смещения инструмента x:

; (4.7)

.

Выполняется условие неподрезания и незаострения зубьев колеса:

≤ 0,6 ≤ 1.

Определяем фактическое передаточное число Uф и проверяем его отклонение ∆U от заданного U:

; (4.8)

 .

 ; (4.9)

 ;

 .

Определяем фактическое значение межосевого расстояния aw, мм:

; (4.10)

 мм.

Определяем основные геометрические параметры передачи, мм:

для червяка:

диаметр делительный d1 =qm (4.11)

начальный диаметр dw1=m(q+2x) (4.12)

диаметр вершин витков da1= d1 + 2m (4.13)

впадин зубьевdf1= d1 - 2,4m (4.14)

делительный угол подъема линии витков  (4.15)

длина нарезаемой части червяка  (4.16)

для венца червячного колеса:

диаметр делительный d2 = dw1 = mz2 (4.17)

диаметр вершин зубьев da2= d2 +2m(1+х) (4.18)

впадин зубьев df2= d2 - 2m(1,2 - х)  (4.19)

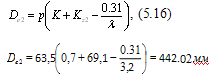
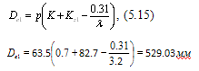
наибольший диаметр колеса  (4.20)

ширина венца при z1 = 2: b2 =0,355 аw (4.21)

радиусы закруглений зубьев

(4.22)

 (4.23)

Вычисления:

1=12,5·4=50w1 =4(12,5+2∙0,6)=54,8a1=50+2·4=58f1=50-2,4·4=40,4

 1 =(10+5,5∙|0,6|+2)∙4+9,3=70,5

d2 =4·52=208

da2=208+2·4(1+0,6)=220,8

daм2≤220,8+6∙4/2+2=226,8

df2=208-2·4(1,2-0,6)=203,2

b2 =0,355·138=48,99

Ra=0,5∙50+1,2∙4=29,8

; .

4.2 Выполним проверочный расчет редукторной пары

Определяем КПД червячной передачи:

; (4.24)

Угол  определяется в зависимости от фактической скорости скольжения:

; (4.25)

.

Таким образом , из этого следует:

.


 (4.26)

где: К - коэффициент нагрузки, определяется в зависимости от окружной скорости колеса:

, м/с; (4.27)

.

Таким образом К = 1.

 -допускаемое контактное напряжение зубьев колеса;

окружная сила на колесе, Н:

; (4.28)

.

;

.

Напряжения в пределах допускаемой недогрузки.

Проверим напряжения изгиба зубьев колеса σF,Н/мм2:

 (4.29)

Где m -модуль зацепления, мм;

b2 - ширина зубчатого колеса, мм;

Ft2 - окружная сила в зацеплении, Н;

- коэффициент нагрузки;

- коэффициент формы зуба колеса. Определяют по таблице в интерполированием в зависимости от эквивалентного числа зубьев колеса:

; (4.30)

.

Таким образом  = 1,45.

 

.

При проверочном расчете  получаются меньше , так как нагрузочная способность червячных передач ограничивается контактной прочностью зубьев червячного колеса.

Составим табличный отчёт

Таблица 4.- Параметры червячной передачи, мм.

Проектный расчет

Параметр

Значение

Параметр

Значение

Межосевое расстояние

138

Ширина зубчатого венца колеса b2

48,99

Модуль зацепления m

4

Длина нарезаемой части червяка b1

70,5

Коэффициент диаметра червяка q

12,5

Диаметры червяка: делительный d1 начальный dw1 вершин витков da1 впадин витков df1

 50 54,8 58 40,4

Делительный угол витков червяка , град

9



Угол обхвата червяка венцом колеса,  град

100

Диаметры колеса: делительный d2=dw2 вершин зубьев da2 впадин зубьев df2 наибольший dам2

 208 220,8 203,8 226,8

Число витков червяка  

2



Число зубьев колеса

50



Проверочный расчет

Параметр

Допускаемые значения

Расчетные значения

Примечание

Коэффициент полезного действия

0,8

0,78

-

Контактные напряжения σн, Н/мм2

122,4

121,7

Недогрузка 1%

Напряжения изгиба σF, Н/мм2

53,4

25,75

Меньше на 61%



5. Расчет открытой передачи

Расчёт открытых и закрытых зубчатых передач проводится в два этапа: первый - определить силовые и кинематические характеристики передачи, второй - выбрать материалы зубчатой пары и определить допускаемые контактные и изгибные напряжения.

.1 Расчет цепной передачи

Определим шаг цепи p, мм:

(5.1)

Где :

а) T1 - вращающий момент на ведущей звездочке(тихоходном валу

редуктора), T1=87 Н∙м;

б) Кэ - коэффициент эксплуатации, который представляет собой

произведение пяти поправочных коэффициентов:

 (5.2)

 

в) z1 - число зубьев ведущей звездочки,

(5.3)

 

г) - допускаемое давление в шарнирах цепи, [pц]=28Н/мм2;

д) v - число рядов цепи;

 

Определить число зубьев ведомой звездочки:

 (5.4)

 

Для предотвращения соскакивания цепи максимальное число зубьев ведомой звездочки ограничено:

Условие выполняется:

Определим фактическое передаточное число uф и проверим его отклонение Δu:

 (5.5)

= = 3

·100%≤4% (5.6)

Δu=

 

Определим оптимальное межосевое расстояние a, мм, Из условия долговечности цепи

а=(30…50)p (5.7)

где p(P)- стандартный шаг цепи

a=40125=5000 мм

Тогда:

 (5.8)

40

Определим число звеньев цепи :

  (5.9)

 

Уточним межосевое расстояние в шагах :


Определить фактическое межосевое расстояние a, мм;

 (5.11)


Определим длину цепи l,мм:

двигатель привод шестерня редуктор


Определить диаметры звездочек, мм.

Диаметр делительной окружности:

ведущей звездочки


ведомой звездочки


Диаметр окружности выступов:

ведущей звездочки


ведомой звездочки


где К=0,7 - коэффициент высоты зуба; Кz - коэффициент числа зубьев:

- ведущей и  - ведомой звездочек,


- геометрическая характеристика зацепления,


Диаметр окружности впадин:

ведущей звездочки


ведомой звездочки


5.2 Проверочный расчет открытой передачи

Проверим частоту вращения меньшей звездочки n1, об/мин:

где n1 - частота вращения тихоходного вала редуктора, об/мин;

=15/p- допускаемая частота вращения

=15/63,5=263,2 об/мин

Проверим число ударов цепи о зубья звездочек U, с-1:

где  - расчетное число ударов цепи;

 - допускаемое число ударов.

=.

=.

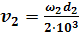
Определим фактическую скорость цепи v, м/с


Определим окружную силу, передаваемую цепью ,Н:

 (5.20)

где P1 - мощность на ведущей звездочке;


Проверить давление в шарнирах  Н/мм2 :

(5.21)

где  - площадь проекции опорной поверхности шарнира, мм2:

А=19,8438,10=755,9

Pц=356,22,55/755,9=1,2

1,2 Н/мм228 Н/мм2

Проверим прочность цепи:

где [S]=12 - допускаемый коэффициент запаса прочности для роликовых (втулочных) цепей;

S - расчетный коэффициент запаса прочности,

,(5.22)

Где :

а) Fp=35400 Н - разрушающая нагрузка цепи

б) F0 - предварительное натяжение цепи от провисания ее ведомой ветви, Н:


где Кf=3 - коэффициент провисания для передач, наклонных к горизонту;

q=16 кг/м - масса 1м цепи;

g=9.81м/с2 - ускорение свободного падения;

0=3152635,79,81=1241098 Н.

в) Fv - натяжение цепи от центробежных сил, Н:

 (5.23)

Fv=166,42=655,3 Н

 (5.24)

Определим силу давления цепи на вал Fоп, Н:

 (5.25)

где кв=1 - коэффициент нагрузки вала,

оп=1356+2124109=248574 Н.

Таблица 5-Параметры цепной передачи

Параметр

Значение

Параметр

Значение

Тип цепи

ПР-63,5-35400

Диаметр делительной окружности звездочек, мм: ведущей ведомой

 486,6 1471,11

Межосевое расстояние, мм

2635,7

Диаметр окружности выступов звездочек, мм: ведущей ведомой

 529 1523.82

Шаг цепи, мм

63,5

Диаметр окружности впадин звездочек, мм: ведущей ведомой

  513,32 1422,33

Длина цепи, мм

8404,8



Число звеньев

127



Число зубьев звездочки: ведущей ведомой

  23 69

Сила давления цепи на вал, Н

248574



Таблица 6 - Проверочный расчет

Параметр

Допускаемые Значения

Расчетные значения

Частота вращения ведущей звездочки, об/мин

316,6

263,2

Число ударов цепи, с-1

8

3,8

Коэффициент запаса прочности

10,8

0,028

Давление в шарнирах цепи, Н/мм2

32

0,216



Заключение

Разработанный в курсовом проекте привод обеспечивает все заданные параметры при оптимальном весе и размерах. Использование стандартных деталей обеспечивает унификацию узлов и доступность запчастей. Конструкция горизонтально-разъемного корпуса обеспечивает простоту и малую трудоемкость сборочно-разборочных работ при техническом обслуживании и ремонте редуктора.

Список использованных источников

1. А.А. Эрдеди, Н.А. Эрдеди Детали машин.-М.: Высш. шк.; Изд.центр "Академия" 2002.-285с.

2. А.Е. Шейнблит Курсовое проектирование деталей машин.-Калининград: Ян-тар. сказ, 2002.-454с.

3. П.Ф.Дунаев, О.П.Леликов Конструирование узлов и деталей машин.-М.:

Высш. шк., 1985-416с.

4. В.И. Анурьев Справочник конструктора-машиностроителя т1, 2, 3 .-М.: Машиностроение, 1980.-728с.

5. В.И. Кудрявцев Детали машин.-Л.: Машиностроение, 1980.

6. С.А. Чернавский и др. Проектирование механических передач.-М.: Машиностроение, 1984.

. В.В. Москаленко Электрический привод.-М.: Мастерство, 2000.

. М.Г. Чиликин, А.С. Сандлер Общий курс электропривода.-М.: Энергоиздат, 1981.