Материал: Принцип дії і режими роботи біполярного транзистора

Внимание! Если размещение файла нарушает Ваши авторские права, то обязательно сообщите нам

Принцип дії і режими роботи біполярного транзистора

МІНІСТЕРСТВО ОСВІТИ І НАУКИ УКРАЇНИ

Київський інститут бізнесу і технологій

Вінницька філія

Кафедра фундаментальних дисциплін









Курсова робота

на тему: «Принцип дії і режими роботи біполярного транзистора»


Виконав:

студент 3 курсу

групи 02.13 КСМ (2,5д)

Яремчук Андрій Михайлович





Вінниця - 2014 рік

Зміст

Вступ

Розділ 1. Загальні відомості про біполярні транзистори

.1 Будова біполярного транзистора

.2 Принцип дії

.3 Класифікація

Розділ 2. Схеми включення біполярних транзисторів

.1 Режими біполярних транзисторів

.2 Статичні характеристики

.3 Диференційні параметри транзисторів

Розділ 3. Основні параметри

.1 Режими роботи транзистора

.2 Найпростіший підсилювальний каскад на біполярному транзисторі

.3 Розрахунок електричних ланцюгів з біполярними транзисторами

.4 Власні шуми в транзисторах

Висновок

Список використаної літератури

Вступ

Біполярний транзистор винайшли в 1947 році Джон Бардін і Волтер Браттейн під керівництвом Шоклі із Bell Labs, за що отримали Нобелівську премію з фізики. Вперше його продемонстрували 16 грудня, а 23 грудня відбулось офіційне представлення винаходу і саме ця дата вважається днем відкриття транзистора.

Мета даної курсової роботи полягає в закріпленні знань, отриманих при вивченні дисципліни «Основи схемотехніки», в отриманні досвіду розробки і розрахунку основних характеристик підсилювальних каскадів, а також в активізації самостійної навчальної роботи, в розвитку умінь виконувати інформаційний пошук, користуватися довідковою літературою, визначати параметри і еквівалентні схеми біполярних і польових транзисторів, отримувати різнобічне уявлення про конкретні електронних елементах.

В ході виконання курсової роботи для заданого типу транзистора визначаються параметри і статичні характеристики, в відповідності зі схемою включення і величинами елементів схеми підсилювального каскаду вибирається положення режиму спокою, для якого розраховуються величини елементів еквівалентних схем транзистора і мало сигнальні параметри транзистора, графоаналітичним методом визначаються параметри підсилювального каскаду.

Розділ 1. Загальні відомості про біполярні транзистори

Бiполярний транзистор - це напівпровідниковий елемент електронної техніки, який дозволяє керувати струмом, що протікає через нього, за допомогою прикладеної до додаткового електрода напруги.

Транзистори є основними елементами сучасної електроніки. Зазвичай вони застосовуються в підсилювачах і логічних електронних схемах.

У мікросхемах в єдиний функціональний блок об'єднані тисячі й мільйони окремих транзисторів.

Найбільш поширені транзистори з двома n-p-переходами, звані біполярними, оскільки їх робота заснована на використанні носіїв заряду обох знаків.

Перші транзистори були точковими, але вони працювали недостатньо стійко. В даний час виготовляються і застосовуються виключно площинні транзистори.

1.1 Будова біполярного транзистора


На рисунку 1.1 схематично показана будова біполярного транзистора NPN типу. Колектором служить напівпровідник n-типу, легований донорами до невисокої концентрації 1013-1015 см−3.

Рис.1.1 - Поперечний розріз транзистора

Перед створенням бази напівпровідник покривають фоторезистом і задопомогою літографії звільняють вікно для легування акцепторами. Атоми акцептора дифундують в глибину напівпровідника, створюючи область із доволі високою концентрацією - 1017-1018 см−3.

На третьому етапі знову створюється вікно для легування донорами й утворюють емітер із ще вищою концентрацією домішок, необхідною для того, щоб спочатку компенсувати акцептори, а потім створити напівпровідник n-типу.

Відношення домішок у емітері й у базі повинно бути якомога більшим для забезпечення гарних характеристик транзистора.

Ще кращих характеристик можна досягти, якщо перехід між базою й емітером зробити гетеропереходом, у якому емітер має набагато більшу ширину забороненої зони, хоча це і збільшує собівартість транзистора. В такому випадку на поверхню бази через вікно напилюється інша речовина.

1.2 Принцип дії


Дія біполярного транзистора базується на використанні двох p-n переходів між базою та емітером і базою та колектором. В області p-n переходів виникають шари просторового заряду, між якими лежить тонка нейтральна база. Якщо між базою й емітером створити напругу в прямому напрямку, то носії заряду інжектуються в базу й дифундують до колектора.

Оскільки вони є неосновними носіями в базі, то легко проникають через p-n перехід між базою й колектором. База виготовляється достатньо тонкою, щоб носії заряду не встигли прорекомбінувати, створивши значний струм бази. Якщо між базою й емітером прикласти запірну напругу, то струм через ділянку колектор-емітер не протікатиме.

1.3 Класифікація


Транзистори класифікуються за вихідним матеріалом, розсіюваною потужністю, діапазоном робочих частот, принципом дії.

В залежності від вихідного матеріалу їх поділяють на дві групи: германієві та кремнієві. За діапазоном робочих частот їх ділять на транзистори низьких, середніх та високих частот, за потужністю - на класи транзисторів малої, середньої та великої потужності.

Транзистори малої потужності ділять на шість груп: підсилювачі низьких і високих частот, малошумні підсилювачі, перемикачі насичені, ненасичені та малого струму; транзистори великої потужності - на три групи: підсилювачі, генератори, перемикачі.

За технологічними ознаками розрізняють сплавні, сплавно-дифузійні, дифузійно-сплавні, конверсійні, епітаксіальні, планарні, епітаксіально-планарні транзистори.

Позначення типу транзистора

Позначення типу транзистора встановлено галузевим стандартом ОСТ 11 336.919-81. Перший елемент позначає вихідний матеріал із якого виготовлений транзистор: германій чи його сполуки - Г, кремній або його сполуки - К, сполукигалію - А. Другий елемент - підклас напівпровідникового приладу. Для біполярних транзисторів другим елементом є літера Т. Третій елемент - призначення приладу (таблиця). Четвертий елемент - число від 01 до 99, що позначає порядковий номер розробки типу приладу. Допускається тризначний номер - від 101 до 999, якщо номер розробки перевищує 99. П'ятий елемент позначення - літера алфавіту, що визначає класифікацію за параметрами приладів, виготовлених за єдиними технологіями.

Таблиця 1 Третій елемент позначення транзисторів

Підклас транзисторів

Позначення

Транзистори малої потужності (максимальна потужність, що розсіюється транзистором не більше 0,3 Вт):


· з граничною частотою коефіцієнта передачі струму чи максимальною робочою частотою не більше 3 МГц

1

· з граничною частотою коефіцієнта передачі струму чи максимальною робочою частотою понад 3 МГц, але не більше 30 МГц

2

· з граничною частотою коефіцієнта передачі струму чи максимальною робочою частотою понад 30 МГц

3

Транзистори середньої потужності (максимальна потужність, що розсіюється транзистором понад 0,3 Вт, але не більше 1,5 Вт):


· з граничною частотою коефіцієнта передачі струму чи максимальною робочою частотою не більше 3 МГц

4

· з граничною частотою коефіцієнта передачі струму чи максимальною робочою частотою понад 3 МГц, але не перевищує 30 МГц

5

· з граничною частотою коефіцієнта передачі струму чи максимальною робочою частотою понад 30 МГц

6


· з граничною частотою коефіцієнта передачі струму чи максимальною робочою частотою не більше 3 МГц

7

· з граничною частотою коефіцієнта передачі струму чи максимальною робочою частотою понад 3 МГц, але не перевищує 30 МГц

8

· з граничною частотою коефіцієнта передачі струму чи максимальною робочою частотою понад 30 МГц

9


Площинні біполярні транзистори

У біполярних транзисторах струм визначається рухом носіїв заряду двох типів: електронів і дірок (або основними і неосновними). Звідси їх назва - біполярні.

В даний час виготовляються і застосовуються виключно транзистори з площиннимир-n-переходами.Пристрій площинного біполярноготранзистора показано схематично на рисунку 1.2.

Він являє собою платівку германію або кремнію, в якій створені три області з різною електропровідністю. У транзистора типу n-р-n середня область має дірковий, а крайні області - електронну електропровідність.

Транзистори типу р-n-р мають середню область з електронною, а крайні області з дірковою електропровідністю.Середня область називається базою транзистора, одна крайня область - емітером, інша - колектором.Таким чином в транзисторі є два р-n-переходи: емітерний - між емітером і базою та колекторний - між базою і колектором. Площа емітерного переходу менше площі колекторного переходу.

Рис.1.2 - Схема площинного біполярного транзистора

Емітером називається область транзистора призначенням якої є інжекція носіїв заряду в базу. Колектором називають область, призначенням якої є екстракція носіїв заряду з бази. Базою є область, в яку інжектується емітером неосновні для цієї області носії заряду.

Концентрація основних носіїв заряду у емітер у багато разів більше концентрації основних носіїв заряду в базі, а їх концентрація в колекторі дещо менше концентрації у емітері. Тому провідність емітера на кілька порядків вище провідності бази, а провідність колектора дещо менше провідності емітера.

Від бази, емітера і колектора зроблені висновки. У залежності від того, який з висновків є загальним для вхідних і вихідних ланцюгів, розрізняють три схеми включення транзистора: із загальною базою (ПРО) (ЗБ), загальним емітером (ЗЕ), загальним колектором (ЗК).

Вхідний, або керуючий ланцюг служить для управління роботою транзистора. У вихідний, чи керований, ланцюги виходять посилені коливання. Джерело підсилювання коливань включається у вхідний ланцюг, а у вихідну включається навантаження.

Розглянемо принцип дії транзистора на прикладі транзистора р-n-р-типу, включеного за схемою зі спільною базою рис. (1.3).

Рис. 1.3 - Принцип дії біполярного транзистора (р-n-р-типу)

Зовнішні напруги двох джерел живлення ЕЕ і Ек підключають до транзистора таким чином, щоб забезпечувався зсув емітерного переходу П1 в прямому напрямку (пряма напруга), а колекторного переходу П2 - у зворотному напрямку (зворотна напруга).

Якщо до колекторному переході докладена зворотна напруга, а ланцюг емітера розімкнений, то в ланцюзі колектора протікає невеличкий зворотний струм Ікс (одиниці мікроампер). Цей струм виникає під дією зворотної напруги і створюється спрямованим переміщенням неосновних носіїв заряду дірок бази і електронів колектора через колекторний перехід. Зворотний струм по колу: + Ек, база-колектор, - Ек. Величина зворотного струму колектора не залежить від напруги на колекторі, але залежить від температури напівпровідника.

При включенні в ланцюг емітера постійної напруги ЕЕ в прямому напрямку потенційний бар'єр емітерного переходу знижується. Починається інжектування (впорскування) дірок в базу.

Зовнішня напруга, прикладена до транзистора, виявляється прикладеним в основному до переходів П1 і П2, тому що вони мають великий опір в порівнянні з опором базової, емітерної і колекторної областей. Тому інжектовані в базу дірки переміщуються в ній за допомогою дифузії. При цьому дірки рекомбінують з електронами бази.

Оскільки концентрація носіїв у базі значно менше, ніж у емітера, то рекомбінують дуже небагато дірки. При малій товщині бази майже всі дірки будуть доходити до колекторного переходу П2. На місце рекомбінованих електронів в базу надходять електрони від джерела живлення Ек. Дірки, рекомбіновані з електронами в базі, створюють струм бази IБ.  Під дією зворотної напруги Ек потенційний бар'єр колекторного переходу підвищується, товщина переходу П2 збільшується. Але потенційний бар'єр колекторного переходу не створює перешкоди для проходження через нього дірок. Що увійшли в область колекторного переходу дірки потрапляють в сильне прискорююче поле, створене на переході колекторною напругою, і екстрагуються (втягуються) колектором, створюючи колекторний струм Ік. Колекторний струм по колу: + Ек, база-колектор,-Ек.

Таким чином, в транзисторі протікає три струми: струм емітера, колектора і бази.У проводі, що є висновком бази, струми емітера і колектора спрямовані зустрічно.

Отже, струм бази дорівнює різниці струмів емітера і колектора:

Б = IЕ - ІК.

Фізичні процесивтранзисторі типу n-р-n протікають аналогічно процессамв транзисторі типу р-n-р.

Повний струм емітера IЕ визначається кількістю інжектованих емітером основних носіїв заряду.

Основна частина цих носіїв заряду досягаючи колектора, створює колекторний струм Ік.

Незначна частина інжектованих в базу носіїв заряду рекомбінуються в базі, створюючи струм бази IБ.

Отже, струм емітера розділяться на струми бази і колектора, тобто

Е = IБ + Ік.

Струм емітера є вхідним струмом, струм колектора - вихідним.

Вихідний струм складає частину вхідного, тобто

(1.1)

де a-коефіцієнт передачі струму для схеми ПРО;

Оскільки вихідний струм менше вхідного, то коефіцієнт a <1. Він показує, яка частина інжектованих в базу носіїв заряду досягає колектора. Зазвичай величина a складає 0,95 ¸ 0,995.

У схемі з загальним емітером вихідним струмом є струм колектора, а вхідним - струм бази. Коефіцієнт посилення по струму для схеми ЗЕ:

 але  тоді

Отже, коефіцієнт посилення по струму для схеми ОЕ становить десятки одиниць.

Вихідний струм транзистора залежить від вхідного струму. Тому транзистор-прилад, керований струмом.

Зміни струму емітера, викликані зміною напруги емітерного переходу, повністю передаються у колекторний ланцюг, викликаючи зміну струму колектора. А тому напруга джерела колекторного живлення Ек значно більше, ніж емітерного Ее, то і потужність, споживана в ланцюзі колектора Рк, буде значно більше потужності в ланцюзі емітера Ре. Таким чином, забезпечується можливість управління великою потужністю в колекторному ланцюзі транзистора малою потужністю, що витрачається в емітерному ланцюзі, тобто має місце посилення потужності.

Розділ 2. Схеми включення біполярних транзисторів

В електричне коло транзистор включають таким чином, що один з його висновків (електрод) є вхідним, другий - вихідним, третій - спільним для вхідних і вихідних ланцюгів.

У залежності від того, який електрод є загальним, розрізняють три схеми включення транзисторів: ПРО, ЗЕ і ЗК. Ці схеми для транзистора типу р-n-р наведено на рис. (2.1).

Для транзистора n-р-n в схемах включення змінюються лише полярності напруг і напрям струмів.

При будь-якій схемі включення транзистора (в активному режимі) полярність включення джерел живлення повина бути обрана так, щоб емітерний перехід був включений в прямому напрямку, а колекторний - у зворотному.

Рис. 2.1 - Схема включення БТ з загальною базою (ЗБ)

Рис. 2.2 - Схема включення БТ із загальним емітером (ЗЕ)

Рис. 2.3 - Схема включення БТ з загальним колектором (ЗК)

2.1 Режими біполярних транзисторів


Біполярні транзистори містять два взаємодіючих електронно-діркових переходи. Залежно від їхнього стану розрізняють чотири режими: активний (лінійне посилення сигналів), режим відсічення, насичення й інверсний.

В активному режимі на емітерний перехід для забезпечення інжекції носіїв заряду в базу подається пряма напруга Uбе, а на колекторний перехід, що здійснює екстракцію носіїв заряду - зворотна напруга Uкб.

Таким чином емітерний перехід знаходиться у відкритому стані, а колекторний у закритому.

Транзистор є керованим приладом, його колекторний струм залежить від струму бази та емітера.

Ступінь впливу вхідного ланцюга транзистора (емітерного - у схемі з загальною базою (ЗБ) і базового - у схемі з загальним емітером (ЗЕ)) оцінюють за допомогою статичних параметрів: коефіцієнта передачі струму емітера або  і коефіцієнта передачі струму бази .

Керована складового струму колектора в схемі з загальною базою (рисунок 2.2) дорівнює:

 (1.1)

А в схемі з загальним емітером (рисунок 2.2)

 (1.2)

Як випливає із рисунків 2.1-2.3:

 (1.3)

Враховуючи вище наведені рівняння можна записати:

 або  (1.4)

Рівняння (1.1-1.4) є основними рівняннями, що описують роботу біполярного транзистора у активному режимі, в якому БТ розглядається як лінійний прилад. Величини коефіцієнтів для реальних БТ становлять: , а  наближується до 1, але завжди  .

У режимі насичення відкриті обидва переходи. Колекторний перехід уже не здійснює повної екстракції носіїв з бази, що приводить до їх накопичення в базі й інтенсивній рекомбінації.

У режимі відсічення обидва переходи закриті. Через них проходять струми, обумовлені процесами теплової генерації носіїв заряду в обсязі напівпровідника, областях об'ємного заряду і на контактах, що не випрямляють, а також витоками. вважається, що транзистор закритий й працює у нелінійному режимі.

В інверсному режимі емітерний перехід закритий, а колекторний - відкритий.

Струм колектора визначається значенням прямої напруги Uкб. Цей режим аналогічний до активного, але характеризується значно гіршими властивостями до підсилювання. Використовується рідко.

2.2 Статичні характеристики


Як основні характеристики БТ використовують: вхідні (зв'язують струм і напругу на вході); вихідні (зв'язують струм і напругу на виході); характеристики передачі (зв'язують струми або напруги на виході зі струмами або напругами на вході); характеристики зворотного зв'язку (зв'язують напруги або струми на вході зі струмами або напругами на виході).

Для схеми з ЗЕ вхідні характеристики визначаються залежністю  при  (рис. 2.4,а). У кремнієвих транзисторів вони зміщені від нуля у бік прямих напруг. Як і в кремнієвих діодах, зсув дорівнює 0,6...0,7В.

Рис. 2.4. Статичні характеристики біполярного транзистора в схемі з ЗЕ: а) вхідні; б) вихідні

При збільшенні зворотної напруги на колекторі струм бази зменшується, характеристики зміщаються правіше. Це пояснюється тим, що напруга на колекторі впливає на концентрацію носіїв біля нього і змінює товщину бази внаслідок зміни товщини колекторного переходу (розширення збідненої зони).

Це так званий ефект модуляції товщини бази. Зменшення товщини бази призводить до зменшення імовірності рекомбінації носіїв заряду в базі, а отже і до зменшення струму бази вихідні характеристики для схеми з ЗЕ визначаються залежністю  при  (рисунок 2.4,б).

Якщо струм бази дорівнює нулеві, то ця залежність являє собою характеристику електронно-діркового переходу при зворотному зсуві.

Статичні характеристики дають повну інформацію про транзистори, що є активними елементами радіоелектронних ланцюгів.

У режимі великих сигналів вони є основою графоаналітичного методу аналізу і розрахунку транзисторних ланцюгів. У режимі малих сигналів транзистор може розглядатися як лінійний елемент.

По характеристиках транзистора визначають малосигнальні диференціальні параметри.

 

.3 Диференціальні параметри транзисторів


Величини, що зв'язують малі збільшення струмів і напруг, називають диференціальними параметрами транзистора.

У разі уявлення транзистора лінійним чотириполюсником (наприклад, для БТ у схемі із загальною базою, рис. 2.5) найбільше практичне застосування знаходять три системи параметрів: h, y, z- параметрів.

Рис. 2.5 Чотирьохполюсне включення БТ із загальною базою

Під час використання h-параметрів як незалежні перемінні вибирають вхідний струм I1 і вихідну напругу U2.

Рівняння мають вигляд:

(1.5)

(1.6)

Звідси випливає фізичний зміст і найменування h-параметрів:  - вхідний опір транзистора при короткому замиканні на виході для змінної складової струму, тобто  .

Виходячи із рис. 2.1 для схеми включення ЗБ:


Для схеми включення ЗЕ (рис. 2.2)


Для схеми включення ЗК (рис. 2.3)


 - коефіцієнт зворотного зв'язку по напрузі при розімкнутому вході для змінної складової струму;

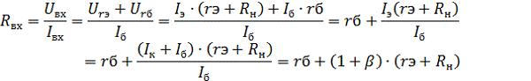
 - диференціальний коефіцієнт передачі струму при короткому замиканні на вході для змінної складової струму. Для схеми включення БТ з загальною базою  , а для включення із загальним емітером (ЗЕ)  .

 вихідна провідність транзистора при розімкнутому вході для змінної складової струму,  .

Низькочастотні значення параметрів транзистора залежать від схеми включення і визначаються за статичними характеристиками.

Розділ 3. Основні параметри

Для аналізу і розрахунку ланцюгів з біполярними транзисторами використовують так звані h-параметри транзистора, включеного за схемою ЗЕ.

Електричний стан транзистора, включеного за схемою ЗЕ, характеризується величинами IБ, IБЕ, ІК, UКЕ.

У систему h - параметрів входять наступні величини:

. Вхідний опір h11 = DU1/DI1 при U2 = const.

Являє собою опір транзистора змінному вхідному струмі при якому замикання на виході, тобто при відсутності вихідного змінної напруги.

. Коефіцієнт зворотного зв'язку по напрузі:

= DU1/DU2 при I1 = const.

Показує, яка частка вхідної змінної напруги передається на вхід транзистора внаслідок зворотного зв'язку в ньому.

. Коефіцієнт зусилля по струму (коефіцієнт передачі струму):

= DI2/DI1 при U2 = const.

Показує посилення змінного струму транзистором в режимі роботи без навантаження.

. Вихідна провідність:

= DI2/DU2 при I1 = const.

Являє собою провідність для змінного струму між вихідними затискачами транзистора.

Вихідний опір Rвих = 1/h22. Для схеми із загальним емітером справедливі наступні рівняння:

де:


Для запобігання перегріву колекторного переходу необхідно, щоб потужність, що виділяється в ньому при проходженні колекторного струму, не перевищувала деякої максимальної величини:


Крім того, існують обмеження щодо колекторнної напруги:  і колекторногоструму:

3.1 Режими роботи транзистора


В залежності від того, в яких станах знаходяться переходи транзистора, розрізняють режими його роботи. Оскільки в транзисторі є 2 переходи (емітерний та колекторний), і кожен із них може знаходитись в двох станах (відкритому та закритому), розрізняють чотири режими роботи транзистора.

Основним є активний режим, при якому емітерний перехід знаходиться у відкритому стані, а колекторний - в закритому. Транзистори, які працюють в активному режимі, використовуються в схемах підсилення.

Окрім активного виділяють інверсний режим, при якому емітерний перехід закритий, а колекторний - відкритий, режим насичення, при якому обидва переходи відкриті, та режим відсічки, при якому переходи закриті. Першою практичною математичною моделлю біполярного транзистора була МодельЕберса-Молла.

Активний режим

Активному режиму роботи транзистора відповідає відкритий стан емітерного переходу і закритий колекторний перехід. В цьому режимі переходи транзистора мають різну ширину: закритий колекторний перехід значно ширший ніж відкритий емітерний перехід.

Окрім наскрізного потоку електронів, в структурі в активному режимі протікає інший потік, а саме, зустрічний потік дірок, що рухаються із бази в емітер. Два зустрічних потоки (дірок та електронів) відображають ефект рекомбінації в базі. Електронний потік створюється електронами, які рухаються із емітера, однак не доходять до колекторного переходу (як електрони, що створюють наскрізний потік), а рекомбінують із дірками в базі.

Дірковий потік створюється дірками, що надходять із зовнішнього кола в базу для компенсації втрати дірок внаслідок рекомбінації з електронами. Вказані потоки створюють в зовнішніх колах емітера і бази додаткові складові струмів. На рисунку також показані потоки неосновних носіїв заряду, що створюють власний тепловий струм колекторного переходу (потік електронів, що рухаються із бази в колектор, та потік дірок з колектора в базу).

Наскрізний потік є єдиним корисним потоком носіїв в транзисторі, оскільки визначає можливість підсилення електричних сигналів. Всі інші потоки не беруть участі в підсиленні сигналу, і тому є побічними. Для того щоб транзистор мав високий коефіцієнт підсилення, необхідно щоб побічні потоки були якомога слабші в порівнянні з корисним наскрізним потоком.

Інверсний режим

До емітерного переходу підводиться зворотна напруга, а до колекторного - пряма. Отже емітер виконує функції колектора, а колектор - емітера. Цей режим, як правило, не відповідає нормальним умовам експлуатації транзистора.

Передача струму при інверсному включенні значно гірша ніж при нормальному. Причини цього такі. По-перше, у зв’язку із слабким легуванням колектора мала електронна складова колекторного струму. По-друге, площа реального колектора значно більше площі емітера. Тому на емітер попаде лише невелика частка електронів, інжектованих колектором.

Режим насичення

В режимі насичення обидва переходи транзистора знаходяться у відкритому стані. В цьому режимі електрони і з емітера, і з колектора рухаються в базу, внаслідок чого в структурі протікають два зустрічних наскрізних потоки електронів (нормальний та інверсний). Від співвідношення цих потоків залежить напрям струмів, що протікають в колах емітера та колектора.

Режим відсічки

В режимі відсічки обидва переходи транзистора знаходяться у закритому стані. Наскрізні потоки електронів в цьому режимі відсутні. Через переходи транзистора протікають потоки неосновних носіїв заряду, що створюють малі некеровані теплові струми переходів.

База і переходи транзистора в режимі відсічки збіднені рухомими носіями заряду, внаслідок чого їх опір є дуже високим. Тому вважають, що транзистор в режимі відсічки розриває електричне коло.

Режим насичення та відсічки використовуються при роботі транзистора в імпульсних схемах.

Режим ключа

Важливими елементами сучасних схем автоматики і обчислювальної техніки є пристрої, які мають можливість знаходитись в одному з двох стійких станів і під дією вхідного сигналу стрімко змінювати свій стан. Це дозволяє здійснювати перемикання різних електричних кіл схеми.

Транзистор також є одним з найрозповсюдженіших елементом безконтактних перемикаючих пристроїв. Режим роботи транзистора в перемикаючій схемі називають ключовим режимом. В цьому режимі транзистор в процесі роботи схеми періодично переходить з відкритого стану (режиму насичення) в закритий (режим відсікання) і навпаки, що відповідає двом стійким станам перемикаючого пристрою.

3.2 Найпростіший підсилювальний каскад на біполярному транзисторі


Найбільше застосування знаходить схема включення транзистора по схемі з загальним емітером (рис. 3.1)

Основними елементами схеми є джерело живлення Ек, керований елемент - транзісторVT і резистор Rк. Ці елементи утворюють головний (вихідний) ланцюг підсилювального каскаду, в якій за рахунок протікання керованого струму створюється посилення змінни напруги на виході схеми.  Інші елементи виконують допоміжну роль. Конденсатор Ср є розділовим.

При відсутності цього конденсаторав ланцюзі джерела вхідного сигналу створювався б постійний струм від джерела живлення Ек.

За схемою з загальним емітеромРезистор RБ, включений в ланцюг бази, забезпечує роботу транзистора в режимі спокою, тобто за відсутності вхідного сигналу. Режим спокою забезпечується струмом бази спокою IБ »Ек / RБ.

Рис. 3.1 - Схема найпростішого підсилювального каскаду на біполярному транзисторі.

За допомогою резистора Rк створюється вихідна напруга, тобто Rк виконує функцію створення, змінюються напруги у вихідному ланцюзі за рахунок протікання в ній струму, керованого по ланцюгу бази. Для колекторного ланцюга підсилювального каскаду можна записати наступне рівняння електричного стану:

Ек = Uке + IкRк,

Тобто сума падіння напруги на резисторі Rк і напруги колектор-емітер Uке транзистора завжди дорівнює постійній величині - ЕРС джерела живлення Ек.

Процес посилення грунтується на перетворенні енергії джерела постійної напруги Ек в енергію змінної напруги у вихідному ланцюзі за рахунок зміни опору керованого елемента (транзистора) згідно із законом, що задається вхідним сигналом.

При подачі на вхід підсилювального каскаду змінної напруги Uвх у базовій ланцюга транзистора створюється змінна складова струму IБ ~, а значить струм бази буде змінюватися.

Зміна струму бази призводить до зміни значення струму колектора (ІК = bIБ), а значить, до зміни значень напружень на опорі Rк і Uке. Підсилювальніздібності обумовлені тим, що зміна значень струму колектора в b разів більше, ніж струму бази.

3.3 Розрахунок електричних ланцюгів з біполярними транзисторами


Для колекторного ланцюга підсилювального каскаду (рис. 3.1) у відповідності з другим законом Кірхгофа справедливе рівняння.

Вольт - ампернахарактеристика коллекторного резистораRКє лінійною, а вольт - амперні характеристики транзистора представляють собою нелінійні колекторні характеристики транзистора (рис.3.2,а), включеного за схемою ЗЕ.

Розрахунок такого нелінійного ланцюга, тобто визначення IK, URK і UКЕ для різних значень струмів бази Іб та опорів резистора RК можна провести графічно. Для цього на сімействі колекторних характеристик (рис. 2.5, а) необхідно провести з точки ЕК на осі абсцис вольт - амперну характеристику резистора RК, задовольняє рівнянню:

ке = Ек - RкIк.

Цю характеристику будують за двома точками: Uке = Ек при Ік = 0 на осі абсцис і Ік = Ек / Rк при Uке = 0 на осі ординат.

Побудовану таким чином ВАХ колекторного резистора Rк називають лінією навантаження. Точки перетину її з колекторними характеристиками дають графічне рішення рівняння для даного опору Rк і різних значень струму бази Іб. За цими точкам можна визначити колекторний струм Ік, однаковий для транзистора і резистора Rк, а також напруга UКЕ і URK.

Рисунок 3.2 Графоаналітичний розрахунок режиму транзистора за допомогою вихідних і вхідних характеристик

Точка перетину лінії навантаження з однієї із статичних ВАХ називається робочою точкою транзистора. Змінюючи IБ, можна переміщати її по навантажувальній прямій. Початкове положення цієї точки при відсутності вхідного змінного сигналу називають точкою спокою - Т0.

Точка спокою (робоча точка) Т0 визначає струм IКП і напруга UКЕП в режимі спокою. За цим значенням можна знайти потужність РКП, що виділяється в транзисторі в режимі спокою, яка не повинна перевищувати граничної потужності РК мах, що є одним з параметрів транзистора:

РКП = IКП × UКЕП £ РК мах.

У довідниках зазвичай не наводиться сімейство вхідних характеристик, а даються лише характеристики для UКЕ = 0 і для деякого UКЕ> 0.

Вхідні характеристики для різних UКЕ, що перевищують 1В, розташовуються дуже близько один до одного. Тому розрахунок вхідних струмів і напруг можна наближено робити по вхідній характеристиці при UКЕ> 0, взятої з довідника.

На цю криву переносяться точки А, Те і Б вихідний робочої характеристики, і виходять точки А1, Т1 і Б1 (рис. 3.2, б). Робочу точку Т1 визначає постійна напруга бази UБЕП і постійної струм бази IБП.

Опір резистора RБ (забезпечує роботу транзистора в режимі спокою), через який від джерела ЕК буде подаватися постійна напруга на базу:


В активному (посиленому) режимі точка спокою транзистораТе знаходиться приблизно посередині ділянки лінії навантаження АБ, а робоча точка не виходить за межіділянки АБ.

3.4 Власні шуми в транзисторах


Джерелами шумів в транзисторі є: - електронно-діркові переходи; - активні складові областей бази, емітера і колектора; - випадкові перерозподіли струму між колектором і базою; - неоднорідності напівпровідникового матеріалу. Відповідно до теорії шумових властивостей транзисторів, основну роль в транзисторах грають: флікер-шум, дробовий, теплові шуми, шуми поділу, тощо.

Розглянемо ці шуми більш детальніше, припускаючи, що транзистор працює в режимі малого сигналу. У транзисторах флікер-шум спостерігається на низьких частотах (менше 1 кГц). Спектральна щільність потужності цього шуму пропорційна 1/fa. Джерелом низькочастотних шумів в транзисторі є носії електричного заряду в середині р-n- переходу і на його поверхні під дією температури, прикладеного електричного поля, а також в результаті зіткнення нейтральних атомів напівпровідника або домішок з керованим потоком основних носіїв заряду.

Кількість носіїв, збуджених за даний проміжок часу, є випадковою, а створений ними струм - флуктуаційним.

Зазвичай флікер-шум виникає в результаті погано оброблених поверхонь кристала і в місцях омічних контактів виводів і кристала. При шліфуванні кристал має менший флікер-шум ніж при травленні його поверхні.

Для зниження цього шуму необхідно зменшити щільність струму на одиницю поверхні, використовувати планарні транзистори і транзистори з високим ступенем технологічної обробки поверхні.

Крім того, в схемах підсилювачів доцільно використовувати транзистори р-n-р типу, що мають менший рівень низькочастотного шуму, ніж транзистори n-р-n типу. У ряді випадків спеціальні вимірювання флікер-шуму на частоті f = 1 кГц і нижче дозволяють прогнозувати надійність транзисторів і визначати ряд дефектів в них: погані контакти, тріщини, тощо.

Тепловий шум транзистора викликаний хаотичним рухом носіїв в середині напівпровідника. Цей шум, на відміну від надлишкового шуму, існує навіть за відсутності електричного струму. На середніх і високих частотах основними джерелами шуму в транзисторі є дробові шуми в емітерному та колекторному переходах, тепловий шум опору бази і шуми струмо-розподілу, пов'язані з випадковим характером розподілу емітерного струму між колектором і базою.

Залежність коефіцієнта шуму від частоти

Горизонтальна ділянка кривої пояснюється в основному тепловими шумами об'ємного опору бази rб. Чим вище гранична частота транзистора fгр, тим протяжніше ділянка кривої з найменшим коефіцієнтом шуму.

Коефіцієнт шуму залежить також від опору джерела сигналу, при цьому існує оптимальний опір і оптимальне значення струму емітера.

Слід зазначити, що умови, при яких коефіцієнт шуму має мінімальне значення, можуть не збігатися з умовами отримання максимального коефіцієнта посилення.

Для зниження дробових шумів рекомендується використовувати транзистори з малим зворотним струмом Іко, а також працювати при порівняно невисоких температурах і невеликих струмах емітера. Випадковий характер процесів рекомбінації носіїв в області бази транзистора є причиною появи шуму пов'язаного з перерозподілом струму емітера.

Існують й інші типи шумів в транзисторах - це шуми опромінення, що виникають при опроміненні транзистора швидкими частинками, шуми лавинного пробою, що виникають при високому, близькому до пробивного рівню зворотної напруги на переході, вибухові шуми і тощо.

Однак в транзисторі основними шумами є надлишкові - тепловий , дробовий і шуми поділу.

Дія біполярного транзистора базується на використанні двох p-n переходів між базою та емітером і базою та колектором.

біполярний транзистор емітер електричний

Висновок

У даній курсовій роботі ми розглянули будову, принцип дії та класифікацію біполярних транзисторів.

Створювали схеми включення біполярних транзисторів та визначали їх статичні характеристики.

Розібрали схеми включення біполярних транзисторів за схемами з загальною базою, загальним емітером та загальним колектором, а також визначили їхні характеристики при роботі у схемах.

Вивчили основні параметри режимів роботи транзистора: активний, інверсний, режим насичення, відсічки та режим ключа.

У роботі було виконано найпростіший підсилювальний каскад на біполярному транзисторі. Був проведений розрахунок електричних ланцюгів з біполярними транзисторами.

Біполярні транзистори є напівпровідниковими приладами універсального призначення і широко застосовуються в різних підсилювачах, генераторах, в імпульсних і ключових пристроях.

Характеристики біполярних транзисторів можна розділити на вхідні, перехідні, вихідні і характеристики керування.

Список використаної літератури

1. Волович Г.І. Схемотехніка аналогових та аналого-цифрових електронних пристроїв. М., 2005. - 530с.

. Лисенко А.П. Статичний коефіцієнт передачі струму бази транзистора і його залежність від режиму і температури. Навчальний посібник - Московський державний інститут електроніки і математики. М., 2005. - 29 с.

. Нефедов А.В. Інтегральні мікросхеми і їхні закордонні аналоги Довідник. Том 1. Видавництво: РадіоСофт, 2000. - 512с.

. Петухов В.М. Біполярні транзистори середньої та великої потужності надвисокочастотні і їх зарубіжні аналоги. Довідник. Том 4. Видавництво: кубки-а, 1997. - 544с.

. Чіжма С.М. Основи схемотехніки. СПб., 2008. - 424с.

. Електротехнічні товари: Словник термінів

. Терещук Р.М., Терещук К.М., Седов С.А. Полупроводниковые приемно-усилительные устройства. - Київ: Наукова думка, 1988. С. 183-191.

. Конспект курсу “Электронные твердотельные приборы”

9. В.В. Фролов, Мова радіосхем, Москва, 1998