Первоначальная стоимость основных средств на начало года – 40 000 тыс. у.е. В марте в эксплуатацию введены новые основные средства на сумму 800 тыс. у.е., а в апреле выведены из эксплуатации старые на сумму 12 000 тыс. у.е. Среднеквартальные суммы оборотных средств:
|
Квартал |
I |
II |
III |
IV |
|
Сумма, тыс. у.е. |
3 457,8 |
3 678,3 |
3 289,4 |
3 788,5 |
Рассчитайте рентабельность производства (предприятия) и рентабельность продукции.
6.5. Рыночная цена товара 495 у.е., розничная надбавка к цене 25 %, наценка сбытовой организации – 10%, сумма налогов, относимая на себестоимость 20%, полная себестоимость продукции предприятия – 250 у.е. Определить прибыль предприятия, рентабельность продукции.
6.6. В цехе выпускается три вида продукции:
|
Вид продукции |
Объем производства, тыс.ед. |
Цена, у.е./ед. |
Себестоимость, у.е./ед. |
Рентабельность продукции, % |
|
А |
10 |
100 |
80 |
25 |
|
Б |
10 |
120 |
90 |
33 |
|
В |
10 |
90 |
90 |
0 |
Постоянные расходы распределяются пропорционально объему производства и составляют 1200 у.е. Решено прекратить производство продукции В. Как измениться рентабельность продукции А и Б?
6.7. Средняя стоимость основных средств предприятия по группам в текущем году составляет: здания – 25 млн. у.е.; сооружения – 5 млн. у.е.; машины и оборудование – 50 млн. у.е., в том числе установленное в начале года – 10 млн. у.е.
Норма амортизации для пассивной части составляет 5%, для активной части – 15%. Метод амортизации – линейный. Для нового, работающего один год оборудования применяется метод суммы чисел лет срока полезного использования.
Численность работающих на предприятии по категориям и среднемесячная заработная плата следующие:
|
Категория работающих |
Численность, чел. |
Среднемесячная заработная плата, руб. |
|
Основные рабочие |
50 |
10000 |
|
Вспомогательные рабочие |
30 |
8000 |
|
Руководители |
10 |
15000 |
|
Специалисты |
12 |
13000 |
|
Служащие |
2 |
6000 |
Годовой объем производства составляет 1 000 000 изделий. На производство одного изделия затрачено сырья, материалов и энергетических ресурсов на сумму 1520 у.е. Прочие затраты в структуре себестоимости составляют 20%. Вся продукция было реализована по средней цене 2500 у.е./ед.
Рассчитайте фондоотдачу, производительность труда, себестоимость единицы продукции, прибыль предприятия, рентабельность продукции.
Контрольные вопросы
Что относится к частным показателям эффективности производства?
Что относится к общим показателям эффективности производства?
Из чего состоит валовая прибыль предприятия?
Что такое рентабельность производства?
Инвестиции – денежные средства, ценные бумаги, иное имущество, в том числе имущественные права, иные права, имеющие денежную оценку, вкладываемые в объекты предпринимательской деятельности в целях получения прибыли.
Капитальные вложения (КВ) – инвестиции в основные средства предприятия, в том числе затраты на новое строительство, расширение, реконструкцию и техническое перевооружение действующих предприятий, приобретение машин, оборудования, инструмента, инвентаря, проектно-изыскательские работы и др.
По формам воспроизводства основных фондов различают КВ на:
новое строительство;
реконструкцию и техническое перевооружение действующих предприятий;
модернизацию оборудования.
Развитие и совершенствование промышленного производства непосредственно связано с осуществлением КВ. Привлеченные для решения той или иной задачи инвестиции должны окупаться. Для оценки КВ определяется их абсолютная и сравнительная эффективность.
Абсолютная экономическая эффективность характеризует общую величину отдачи инвестиций.
Сравнительная экономическая эффективность характеризует экономическое преимущество одного из вариантов инвестиционных вложений.
Абсолютная эффективность КВ рассчитывается для различных уровней:
а) на народнохозяйственном уровне:
Ен/х = ΔНg / КВ; То = КВ / ΔНg
где Ен/х - коэффициент абсолютной эффективности капитальных вложений на народнохозяйственном уровне; ΔНg — прирост национального дохода; КВ - капитальные вложения, вызвавшие прирост национального дохода; То - срок окупаемости капитальных вложений;
б) на уровне предприятий:
для прибыльных предприятий: Еп = ΔП / КВ; Т0 = КВ / ΔП
для убыточных предприятий: Еп= (С1-С2)V2 / КВ; Т0 = КВ / (С1-С2)V2
где ΔП - прирост прибыли на предприятии за счет вложения инвестиций; С1, С2 - себестоимость единицы продукции до и после вложения инвестиций; V2 – объем выпуска продукции после использования капитальных вложений.
Рассчитанный таким образом показатель абсолютной эффективности КВ сравнивается с нормативной величиной. Если он равен или превышает значение нормативного коэффициента эффективности КВ, то считается, что КВ в экономическом плане обоснованы. Значения нормативных коэффициентов КВ дифференцированы по отраслям хозяйства и колеблются от величины 0,07 до 0,25.
Методика определения сравнительной эффективности КВ основана на сравнении приведенных затрат по вариантам вложения инвестиций. Согласно этой методике экономически целесообразным вариантом считается тот, который обеспечивает минимум приведенных затрат:
3i = Сi + Ен КВi —> min,
где Сi — себестоимость продукции по вариантам; КВi – капитальные вложения по вариантам.
При этом годовой экономический эффект от реализации лучшего варианта определяется по формуле:
Э = (31-З2) = (С1 + ЕНК1) - (С2 + ЕНК2),
где 31, 32 - приведенные затраты по вариантам; С1, С2 - себестоимость продукции по вариантам; КВ1, КВ2 — капитальные вложения по вариантам.
Сравнительный коэффициент эффективности капитальных вложений определяется по формулам:
ЕСР=(С1+С2) / (КВ1+КВ2), ТО=(КВ2-КВ1) / (С1+С2)
Если Еср ≥ Ен то капитальные вложения в экономическом плане обоснованы.
Наиболее серьезным недостатком при использовании этих методов расчета эффективности КВ является отсутствие сопоставимости неравноценных денежных средств, авансированных в различные периоды (для долгосрочных проектов). Например, при проекте, связанном с авансированием строительства завода, капитальные вложения материализуются, т.е. превращаются в средства производства. С момента начала авансирования до полного освоения производственной мощности капитальные вложения дают только частичную отдачу. Однако они могли бы быть использованы как депозитные вклады или вложены в другие сферы деятельности, где им обеспечена ежегодная отдача в размере установленной процентной ставки на капитал. Поэтому для более объективной оценки экономической эффективности капитальных вложений все основные показатели, связанные с осуществлением долгосрочных инвестиций, должны быть пересчитаны с учетом снижения ценности денежных ресурсов.
При оценке эффективности долгосрочных КВ разновременные показатели соизмеряются методом дисконтирования, т.е. приведения их к денежным средствам в начале авансирования единовременных затрат. Для этого используется коэффициент дисконтирования, рассчитанный исходя из определенной норы дисконта.
Норма дисконтирования рассматривается в общем случае как норма прибыли на вложенный капитал. Если инициатором проекта выступает само предприятие, норма дисконтирования принимается на уровне средней нормы прибыли для этого предприятия. При учете интересов другого предприятия, вложившего деньги в проект, норма дисконтирования рассматривается на уровне ставки банковского депозита.
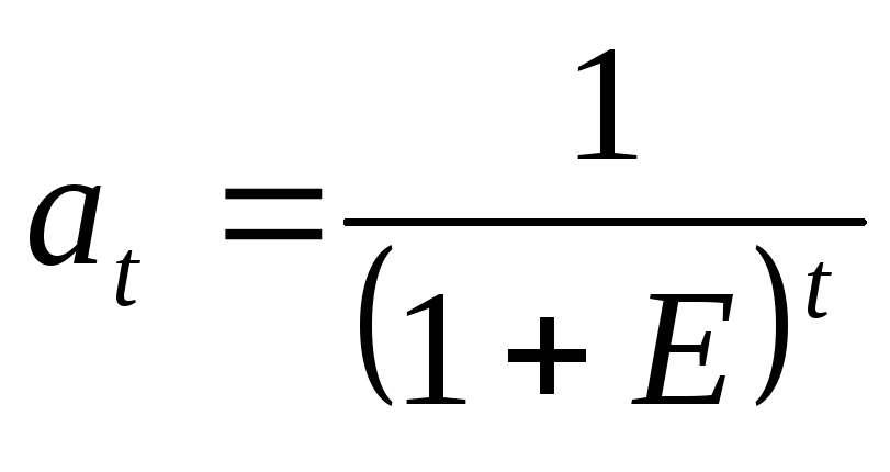
Коэффициент дисконтирования, определяемый для постоянной нормы дисконта:
,
где E – норма дисконта, t—номер шага расчета (t = 0, 1, 2,..., Т), а Т—горизонт расчета.
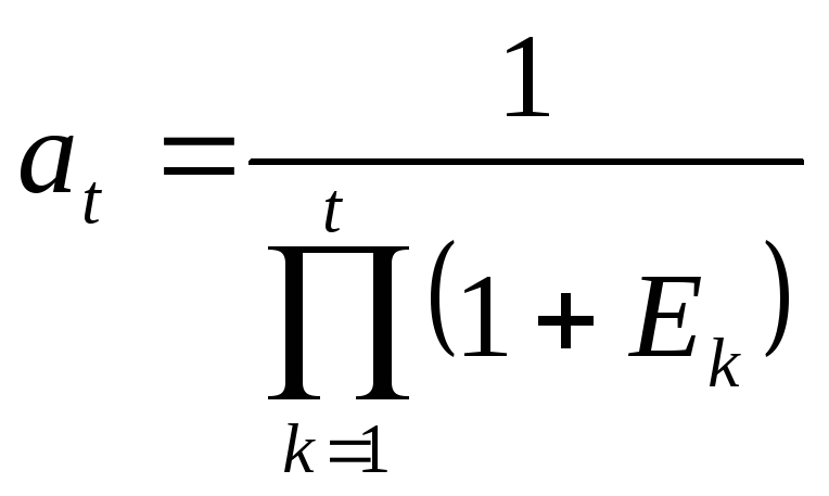
Если же норма дисконта меняется во времени и на t-м шаге расчета равна Еk, то коэффициент дисконтирования равен:
,
при t
› 0
При осуществлении инвестиционных проектов выплаты делятся на капитальные (единовременные) затраты и текущие затраты. Чистый доход от инвестиционного проекта определяется суммарными результатами за срок службы проекта за вычетом расходов от текущей деятельности и единовременных вложений.
Для оценки коммерческой эффективности проектов используются следующие показатели:
чистый дисконтированный доход (ЧДД), или интегральный доход;
индекс доходности (ИД);
внутренняя норма доходности (ВНД);
срок окупаемости.
Использование в практике оценки долгосрочных КВ величины чистого дисконтированного дохода вызвано очевидной неравноценностью для инвестора сегодняшних и будущих доходов. Иными словами, доходы инвестора, полученные в результате реализации проекта, подлежат корректировке на величину упущенной выгоды в связи с «замораживанием» денежных средств, отказом от их использования в других сферах применения капитала.
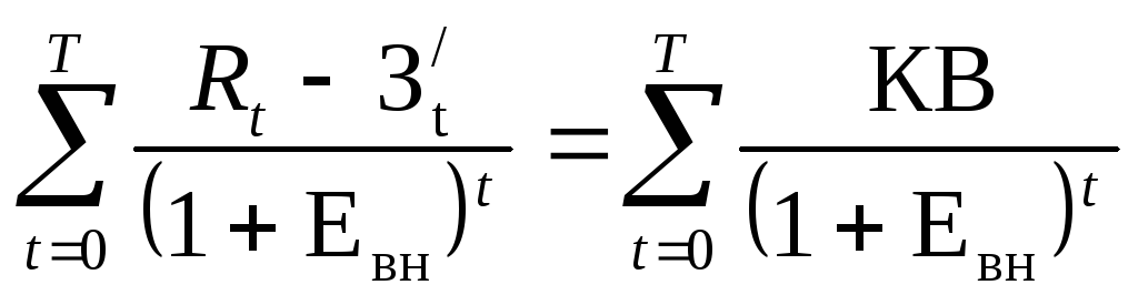
Чистый дисконтированный доход (ЧДД) представляет собой оценку сегодняшней стоимости потока будущего дохода. Он определяется как сумма текущих эффектов за весь расчетный период, приведенная к начальному шагу, или как превышение интегральных результатов над интегральными затратами:
![]()
где Rt - результаты, достигаемые на t-м шаге расчета; Зt - затраты, осуществляемые на том же шаге; T - горизонт расчета (равный номеру шага расчета, на котором производится ликвидация объекта); (Rt - Зt) - эффект, достигаемый на t-м шаге (Эt).
На практике часто пользуются модифицированной формулой для определения ЧДД. Для этого из состава затрат, осуществляемых на t-ом шаге расчета исключают капитальные вложения:
![]()
где КВ – сумма дисконтированных капитальных вложений:
![]()
где КВt – капитальные вложения на t – ом шаге расчета.
Правило 1. Если ЧДД инвестиционного проекта положителен, проект является эффективным (при данной норме дисконта), и может рассматриваться вопрос о его принятии. Чем больше ЧДД, тем эффективнее проект.
Расчет ЧДД можно представить и следующей формулой:
,
где ЧПt - чистая прибыль, полученная на t-м шаге;
Аrt - амортизационные отчисления на t-м шаге;
Нt - налог на прибыль на t-м шаге, в долях ед.
Таким образом, ЧДД — это сумма приведенных величин чистой прибыли и амортизационных отчислений за минусом приведенных капитальных вложений.
Индекс доходности (ИД) представляет собой отношение суммы приведенных эффектов к величине капиталовложений:
или
,
Где Эt – приведенный эффект на t – ом шаге расчета.
Индекс доходности тесно связан с ЧДД: если ЧДД положителен, то ИД > 1, и наоборот.
Правило 2. Если ИД > 1, проект эффективен.
Внутренняя норма доходности (ВНД) представляет собой ту норму дисконта (Евн), при которой величина приведенных эффектов равна приведенным капиталовложениям:
