Материал: Практикум

Внимание! Если размещение файла нарушает Ваши авторские права, то обязательно сообщите нам

Если расчет ЧДД инвестиционного проекта дает ответ, на вопрос, является он эффективным или нет при некоторой заданной норме дисконта (Е), то ВНД проекта определяется в процессе расчета и затем сравнивается с требуемой инвесто­ром нормой дохода на вкладываемый капитал.

Правило 3. Если внутренняя норма доходности равна или больше требуемой инвестором нормы дохода на капитал, то инвестиции в данный инвестиционный проект оправданы, и может рассматриваться вопрос о его принятии. В противном случае инвестиции в данный проект нецелесообразны.

Срок окупаемости проекта - время, за которое поступле­ния от производственной деятельности предприятия покроют затраты на инвестиции. Измеряется он в годах или месяцах.

Результаты и затраты, связанные с осуществлением проек­та, можно вычислять с дисконтированием или без него. Соот­ветственно получатся два различных срока окупаемости. Срок окупаемости рекомендуется определять с использованием ди­сконтирования.

Решение типовых задач

Пример 1

Руководство предприятия решило осуществить техническое перевооружение одного из ведущих цехов с целью снижения издержек производства и улучшения качества продукции.

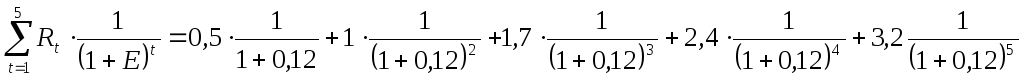
На основе разработки бизнес-плана было установлено, что на осуществление инвестиционного проекта потребуются денежные средства в размере 1,5 млрд. рублей. Предполагаемые доходы по годам составят: 1-ый год – 0,5 млрд.рублей; 2-ой год – 1 млрд.рублей; 3-ий год – 1,7 млрд.рублей; 4-ый год – 2,5 млрд.рублей; 5-ый год – 3,2 млрд.рублей. Ставка дисконта принимается на уровне 12 %.

Требуется определить эффективны ли капитальные вложения.

Решение:

  1. Определяем текущую (дисконтированную) стоимость проекта, т.е. приводим все доходы к начальному моменту времени (моменту вложения инвестиций):

R=5,853 млрд.руб.

  1. Чистый дисконтированный доход:

ЧДД=R – КВ = 5,853 – 1,5 = 4,353 млрд. руб.

  1. Индекс доходности:

Чистый дисконтированный доход больше нуля, индекс доходности больше единицы, следовательно, проект эффективен.

Задачи для самостоятельного выполнения

7.1. В результате реконструкции цеха объем производства стали за год увеличился с 2 до 3 млн. т., себестоимость одной тонны стали снизилась с 1150 у.е. до 1095 у.е. при неизменной цене стальных слитков 1300 у.е./т. Объем капитальных вложений в реконструкцию составил 900 млн. у.е.

Определить общую экономическую эффективность капитальных затрат.

7.2. Определите из трех вариантов осуществления капитальных вложений наиболее эффективный, если капитальные вложения: по первому варианту 50 млн. у.е., по второму – 70 млн., по третьему – 100 млн. у.е.; себестоимость годового объема производства продукции: : по первому варианту 200 млн. у.е., по второму – 150 млн., по третьему – 120 млн. у.е.; нормативная рентабельность 0,2.

7.3. Определить сумму приведенных (дисконтированных) эффектов в результате осуществления инвестиционного проекта. Исходные данные в таблице:

Тыс. у.е.

Показатели производственной деятельности

Шаги расчета (года)

технической модернизации производственного участка

1

2

3

4

1.Объем реализованной продукции

(с НДС)

-

11800

23600

29500

2. Себестоимость реализованной продукции

-

8000

15000

18000

3. Амортизация

600

1100

1300

4. Налоги и другие отчисления

-

900

1400

2700

5. Норма дисконта

-

0,10

0,10

0,10

7.4. Ожидаемые результаты реализации инвестиционного проекта (пуск новой технологической линии) представлены в таблице:

Показатели производственной деятельности

Ед.

изме-

рения

Шаги расчета (года) пуска новой технологической линии

1

2

3

  1. Выпуск продукции после освоения

технологической линии

шт.

10000

15000

20000

2. Оптовая цена (без НДС) единицы продукции

у.е./шт.

200

180

175

3. Себестоимость единицы продукции

у.е./шт.

150

140

135

4. Амортизация

у.е./шт.

15

10

7,50

5. Налоги и прочие отчисления от прибыли

у.е.

250000

300000

350000

Определить сумму приведенных эффектов при норме дисконта, равной 0,2.

7.5. Определить срок окупаемости капитальных вложений: а) без учета дисконтирования; в) с учетом дисконтирования, при норме дисконта 0,2. Исходные данные представлены в таблице:

Тыс. у.е.

Показатели производственной деятельности

Шаги расчета (года)

технического перевооружения цеха

1

2

3

4

1. Объем капиталовложений

5000

1000

-

-

2.Объем реализованной продукции

(без НДС)

4000

8000

10000

10000

3. Себестоимость реализованной продукции

3000

5500

6000

6000

4. Амортизация

300

400

400

400

5. Налоги и прочие отчисления от прибыли

200

400

500

500

7.6. Определить интегральный эффект (чистый дисконтированный доход) инвестиционного проекта по данным таблицы:

Показатели производственной деятельности

Ед.

измерения

Шаги расчета (года) пуска новой технологической линии

1

2

3

1. Чистая прибыль

тыс.руб.

250

300

450

2. Амортизация

тыс.руб.

150

150

150

3. Капитальные затраты

тыс.руб.

1000

-

-

4. Норма дисконта

доли ед.

0,2

0,15

0,1

Контрольные вопросы

  1. Как рассчитывается абсолютная эффективность КВ?

  2. Что такое приведенные затраты, для чего рассчитывается этот показатель?

  3. В чем заключается суть метода дисконтирования КВ?

  4. По каким формулам рассчитывается коэффициент дисконтирования?

  5. Что такое норма дисконта?

  6. Приведите формулы расчета чистого дисконтированного дохода и индекса доходности КВ?

Список литературы

  1. Волков О.И., Скляренко В.К. Экономика предприятия: Курс лекций. – М.: ИНФРА-М, 2008. – 280 с.

  2. Зайцев Н.Л. Экономика промышленного предприятия. Практикум: Учеб. пособие. – 2-е изд. – М.: ИНФРА-М, 2010. – 224 с.

  3. Сергеев И.В. Экономика предприятия: Учеб. пособие. – 2-е изд. – М.: Финансы и статистика, 2008. – 304 с.

  4. Максютов А. Экономика и управление предприятием. Учеб. пособие. – М.: Бератор-Пресс, 2007. – 304 с.

  5. Экономика предприятия: тесты, задачи, ситуации: Учеб. пособие для вузов / Под ред. В.А.Швандара. 3-е изд., перераб. и доп. – М.: ЮНИТИ-ДАНА, 2009. – 254 с.

Составители: Пакутина Наталья Анатольевна,

Брекоткина Елена Сергеевна

Расчет основных экономических показателей предприятия

Методические указания

к проведению практических занятий

по дисциплине “Экономика фирмы”

Подписано в печать 0 .0 .200 . Формат 80×64 1/16.

Бумага офсетная. Печать плоская. Гарнитура Times New Roman Cyr.

Усл. печ. л. . Усл. кр.-отт. . Уч.-изд. л. .

Тираж 150 экз. Заказ №.

ГОУ ВПО Уфимский государственный авиационный технический университет

Центр оперативной полиграфии УГАТУ

4

50000, Уфа-центр, ул. К.Маркса, 12