Осевую
силу
можно получить путем суммирования эпюр
в
соответствующих сечениях.
Эпюры
,
представлена на рисунке 12.


Рисунок
12 - Эпюры
,

В
крайнем сечении корпуса (т.е. при
,
где L
– длина летательного аппарата) должны
выполняться равенства:

,



где
=21609
кг-
масса сухой конструкции;
-
масса топлива в рассматриваемый момент
времени;
m=149534,2 кг - масса ЛА в рассматриваемый момент времени;
Тогда получаем:
Н.
Суммируя
эпюры
и
, получим значение:
Н.

Н.
.
По
эпюре значение
Н.

Н.
По
эпюре
,
;
Погрешность
построения эпюр
и
,
как видно из эпюр, равны нулю, следовательно:

Нормальная
перегрузка
вычисляется по формуле:
,
где
кН
– сила тяги двигателя летательного
аппарата;
– нормальная
аэродинамическая сила;
–
угол
поворота двигателя;
m=149534,2 кг – масса летательного аппарата на расчётный момент времени;
м/с2
– ускорение свободного падения.
Полная нормальная аэродинамическая сила рассчитывается по формуле
,
где
– суммарное значение всех полных
нормальных аэродинамических сил на
конических участках;
– суммарное
значение всех полных нормальных
аэродинамических сил на цилиндрических
участках.


где
– удлинение цилиндра;
-
площади основания конуса.
Для участков с отрицательной конусностью нормальная аэродинамическая сила будет равна:
На рисунке 13 изображена схема ЛА с обозначением необходимых для определения нормальной аэродинамической силы участков и расположение оснований, необходимых для расчета и приведенных для наглядности.

Рисунок 13 – Схема ЛА с обозначением расположения участков и оснований конусов
Н,
где
- площадь основания конуса.
Н,
где
-
площади оснований конуса.
Н,
где
-
площади оснований конуса.
Н,
где
-
площади оснований конуса.
Н,
где
– удлинение цилиндрического участка
1-2,
–
площадь
основания цилиндрического участка 1-2.
Н,
где
– удлинение цилиндрического участка
4-10,
–
площадь
основания цилиндрического участка
4-10.
Н,
где
– удлинение цилиндрического участка
11-15,
–
площадь
основания цилиндрического участка
11-15.
Полная нормальная аэродинамическая сила:



Нормальная
перегрузка
в этом случае:

Угловое
ускорение
можно найти из уравнения вращательного
движения летательного аппарата вокруг
оси z
,
где
– момент всех внешних сил;
кгм2
– массовый
момент инерции летательного аппарата
относительно оси z.
Момент всех внешних сил определяется по формуле:
,
где
м
– расстояние от носка до центра масс
летательного аппарата для расчётного
момента времени;
=
45,05 м
– координата точки приложения тяги
двигательной установки;
–
координата
точки приложения равнодействующей
нормальной аэродинамической силы.
Координата точки приложения равнодействующей нормальной аэродинамической силы определяется по формуле:

где
–
координата центра давления i-го
конического
участка от носка аппарата;
где
–
координата центра давления i-го
цилиндрического
участка от носка аппарата.
м;
м;
м;
м;

м;

м;

м;
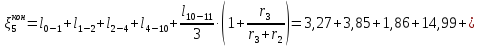
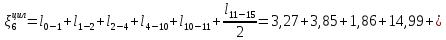
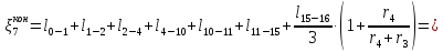
где
м
– длина участка 0-1,
=
3,85 м
– длина участка 1-2,
=
1,86 м
– длина
участка 2-4,
=
14,99 м
– длина
участка 4-10,
=
4,97 м
– длина
участка 10-11,
=
13,31 м
– длина
участка 11-15,
=
4,03 м
– длина
участка 15-16,
м,
м,
м,
м
– радиусы
оснований конусов.
Получаем
координату приложения
:


Момент внешних сил


Угловое ускорение:

| [Методичка] Остеология |
| 00539 |
| 02.03 |
| 0501 Конунников ЛР1-1 |
| 10-2_ЛР |
| 10Лекция 10 |
| 1136 |
| 1304 |
| 131 |
| 1362 |