Материал: Перспективы развития и области применения атмосферно-оптических линий связи

Внимание! Если размещение файла нарушает Ваши авторские права, то обязательно сообщите нам

Радиосигнал, принятый антенной ПРС, вновь поступает на РПФ, который теперь выполняет функцию распределения сигналов каждого радиопередатчика на вход «своего» радиоприемник. Радиосигнал, пройдя РПФ, усиливается в радиоприемнике и радиопередатчике. При этом осуществляется преобразование частоты радиосигнала f1 в частоту f2. После преобразования радиосигнал излучается антенной в направлении следующей станции. На УРС между радиоприемниками и радиопередатчиками включается КОА, позволяющая выделить или дополнительно ввести часть сигналов.

Процесс приема радиосигналов на ОРС не отличается от рассмотренного на ПРС или УРС. С выхода радиоприемника групповой сигнал поступает на вход каналообразующей аппаратуры, которая осуществляет разделение сигналов для соответствующих потребителей. Ими обычно являются междугородная телефонная станция, телецентр, междугородная вещательная аппаратная. По пропускной способности различают следующие РРЛС: многоканальные, с числом каналов ТЧ свыше 300; средней емкости - от 60 до 300 каналов ТЧ; малоканальные - меньше 60 каналов ТЧ. По области применения РРЛС делятся на магистральные, протяженностью 10… 12 тысяч км, зоновые - республиканского и областного значения, местные. Магистральные РРЛС являются многоканальными, зоновые имеют среднюю емкость, а местные - малоканальные. По способу разделения каналов РРЛС могут быть с частотным и временным разделением каналов, а по диапазону используемых частот - дециметрового, сантиметрового и миллиметрового диапазонов.

Радиорелейные системы передачи прямой видимости

Чтобы обеспечить радиорелейную связь в пределах прямой видимости, необходимо поднять антенны над уровнем земли на башнях или мачтах. Высоты антенных опор в зависимости от длины и профиля каждого пролета между соседними станциями могут достигать 100… 120 м. Когда станция расположена на естественной возвышенности, антенны могут быть установлены на крыше здания, в котором находится приемопередающая аппаратура.

Длина пролета между соседними РРС обычно 30… 70 км. В диапазонах частот выше 8 ГГц это значение может уменьшаться с повышением частоты. В отдельных случаях длина может быть уменьшена до 20… 30 км из-за необходимости размещения РРС в заданном пункте, а также когда на трассе РРЛ имеется препятствия.

Коэффициент усиления ретранслятора ПРС с учетом запаса на замирания сигнала составляет 160… 200 дБ (при коэффициенте усиления каждой из двух антенн 30…46 дБ). Мощность передатчика РРС 0,3… 10 Вт, коэффициент шума приемника 7…10 дБ (в варианте с малошумящим усилителем 3… 5 дБ). Наибольшее распространение получили магистральные РРСП в диапазонах частот 4 и 6 ГГц и внутризоновые в диапазонах 2 и 8 ГГц. Магистральные РРСП - многовольтные, число дуплексных радиостволов, организуемых на участке РРЛ, в одном диапазоне частот достигает восьми. Для автоматического резервирования стволов обычно используют несколько рабочих (2… 7) и один резервный стволы.

Радиорелейные системы передачи прямой видимости формируются с помощью комплексов оборудования, называемых радиорелейными станциями связи прямой видимости РРСС. В состав РРСС входят: антенно-фидерные устройства; приемопередающая аппаратура; оконечная аппаратура телефонных, телевизионных и цифровых радиостволов; аппаратура систем автоматического резервирования стволов; аппаратура служебной связи, телесигнализации и телеуправления; оборудование систем гарантированного электропитания и оборудование жизнеобеспечения РРС.

Радиорелейные системы передачи служат для создания типовых каналов и трактов между сетевыми станциями и узлами связи. Совокупность РРСП или линейных трактов, действующих на определенной трассе и использующих одни и те же антенные опоры, станционные сооружения, первичные источники электроэнергии и вспомогательные устройства, называется радиорелейной линией связи. На РРЛ действуют не только системы передачи, но и отдельные линейные тракты, связанных с особенностью передачи телефонных сигналов, для которых преобразовательная аппаратура должна располагаться на междугородной телефонной станции. Линейный тракт может быть чисто радиорелейным, когда он образован с помощью телефонного ствола и пассивных кабельных соединительных линий, либо комбинированным, когда кроме радиорелейного тракта включают кабельные линейные тракты большой протяженности.

В отличие от телефонного ствола, телевизионный ствол в совокупности с пассивными кабельными линиями образует систему передачи, включающую преобразовательную аппаратуру и линейный тракт.

Структурная схема РРСП прямой видимости не отличается от РСП других типов.

С помощью РРСП обычно передают очень широкополосные сигналы, например телевизионные или большие группы телефонных сигналов. Качественная передача таких сигналов возможна только в диапазонах дециметровых и более коротких волн. Известно, что радиоволны этих диапазонов могут устойчиво распространяться лишь в пределах прямой видимости между пунктами передачи и приема. Если наземные станции размещаются одна относительно другой на расстоянии прямой видимости между антеннами этих станций, то такая система называется РРСП прямой видимости. При высоте антенны 40… 50 м расстояние между станциями обычно не превышает 40… 50 км.

Ограниченность расстояния прямой видимости не следует рассматривать как сугубо отрицательный фактор. Именно за счет невозможности свободного распространения радиоволн на большие расстояния устраняются взаимные помехи между РРСП внутри одной страны или разных стран.

Кроме того, следует подчеркнуть, что в указанных диапазонах практически отсутствуют атмосферные и промышленные помехи. Возможность создания антенн с очень узкой диаграммой направленности позволяет использовать в этих диапазонах радиопередатчики малой емкости.

Тропосферные радиорелейные системы передачи

Тропосфера - это нижняя часть атмосферы Земли. Ее верхняя граница находится на высоте примерно 10… 12 км. В тропосфере всегда есть локальные объемные неоднородности, вызванные различными физическими процессами, происходящими в ней. Радиоволны диапазона 0,3… 5 ГГц способны рассеивать этими неоднородностями. Учитывая, что неоднородности находятся на значительной высоте, нетрудно представить, что рассеянные ими радиоволны могут распространяться на сотни километров. Это дает возможность расположить станции на расстоянии 200 400 км друг от друга, что значительно больше расстояния прямой видимости.

Тропосферной радиорелейной системой передачи ТРРСП называется такая РРСП в которой используется рассеяние и отражение радиоволн в нижней области тропосферы при взаимном расположении станций за пределами прямой видимости. Линии связи, оборудованные ТРРСП, подобно РРЛС прямой видимости состоит из ряда станций ОРС, ПРС, УРС. Такие линии строятся, как правило, в труднодоступных и удаленных районах страны, где сложно и дорого строить РРЛС прямой видимости. Значительные расстояния между ПРС, безусловно, выгодны при организации протяженных линий, поскольку требуется меньшее число станций. Однако специфика образования электромагнитного излучения в точке приема такова, что приходится сталкиваться с рядом трудностей в процессе приема радиосигналов. Во-первых, в процессе распространения радиоволн возникают глубокие замирания радиосигнала, что объясняется неустойчивостью пространственно-временной структуры тропосферы и многолучевостью радиосигнала (в одну точку приема приходят лучи от многих неоднородностей). Во-вторых, радиосигнал в точке приема очень ослабленный - ведь антенна улавливает только ничтожную долю энергии, рассеянной на неоднородностях. Ослабление сигнала компенсируется использованием мощных радиопередатчиков и радиоприемников с высокой чувствительностью. С глубокими замираниями бороться сложнее.

Наиболее часто применяемый способ это так называемый разнесенный прием. Различают пространственное и частотное разнесения. При пространственном разнесении прием ведется на две антенны, установленные на некотором расстоянии друг от друга. Антенны разносятся в направлении, перпендикулярном трассе линии. Частотное разнесение осуществляется за счет одновременной передачи сигналов электросвязи на двух частотах. Одновременная реализация пространственного и частотного разнесения получила название счетверенного приема. Характер замираний радиосигналов на разных частотах неодинаков. Другими словами, если на одной частоте наблюдаются замирания, то на другой их может и не быть.

Несмотря на применение столь сложной схемы приема, полностью избавиться от замираний и искажений передаваемых сигналов не удается. Особенно затруднена качественная передача широкополосных сигналов, например, телевизионных. Число телефонных каналов, образуемых по ТРРСП, не превышает 120.

Использование мощных радиопередатчиков, чувствительных радиоприемников в сочетании со сложной схемой разнесенного приема, в целом, повышает стоимость оборудования отдельных станций. Однако общая стоимость тропосферных РРЛС зачастую даже ниже по сравнению с РРЛС прямой видимости благодаря сокращению в 5-10 раз числа промежуточных станций.

Наряду со счетверенным приемом для борьбы с замираниями в последнее время используют специальные комплексы по обработке сигналов[5].

2. Общие сведения об атмосферных оптических линиях связи

Система FSO(Free Space Optics) \ АОЛС (Атмосферная Оптическая Линия Связи) \ Wireless Optic - такой вид оптической связи, при котором электромагнитные волны оптического диапазона (свет) передаются через атмосферу или даже вакуум. На Рис. 4. Показано использование оптической сети для подключения к сети Интернет.

Рис. 4 Использование оптической сети для подключения к Интернету

Назначение оптических сетей - соединить беспроводным способом две точки в сеть и передавать данные на высокой скорости между ними. Поэтому существует множество вариантов использования АОЛС, среди которых:

·        создание локальной сети доступа к Интернету;

·        телефония - соединение телефонных станций;

·        соединение центров обработки данных для передачи информации;

·        соединение серверов с автоматически управляемыми производственными комплексами на предприятиях;

·        соединение серверов видеонаблюдения с конечной видеоаппаратурой (в т.ч. HDTV);

·        соединение базовых станций в сетях мобильной связи и т.д.

Оптические системы отлично подходят для развертывания Интернет-сетей, в том числе для построения «последней мили», которая является головной болью многих провайдеров. Некоторые операторы используют для борьбы с проблемой «последней мили» технологию Ethernet, радиосвязь, коаксиально-кабельную сеть и проч. Но все эти варианты имеют свои существенные минусы. В последнее время провайдеры стали все чаще обращаться к технологии АОЛС / FSO, которая позволяет соединить провайдерское оборудование с конечным пользователем эффективно и надежно. [6]

Факторы окружающей среды

Работа канала связи FSO системы прежде всего зависит от климатических условий и физических характеристик места установки. В целом, погодные условия и параметры установки, воздействующие на видимость, оказывают влияние и на качество связи FSO системы. Типичная FSO система работоспособна на расстоянии в два-три раза превышающем расстояние прямой видимости в любых условиях окружающей среды. Главные факторы воздействующие на ее работу включают атмосферное поглощение, сцинтилляцию, потери на оконных стеклах, наклоны или движение здания, солнечная засветка и перекрытие прямой видимости.

Затухание в атмосфере

Ослабление в атмосфере обычно связывается с туманом, но может быть также вызвано низкой облачностью, дождем, снегом, мелкими частицами и их различными комбинациями. Влияние тумана на качество и дальность видимости можно увидеть на Рис. 5, который представляет ряд фотографий, полученных в Денвере, Штате Колорадо. Высокое здание на переднем плане (справа) находится приблизительно в 300 м. от камеры. Первый снимок сделан в условиях с дальностью видимости больше 2 км, как было измерено нефелометром, установленным рядом с камерой. Это соответствует 6.5 Дб/км в ближнем инфракрасном диапазоне длин волн и 5% контрастности в соответствии со стандартом Всемирной Метеорологической организации (WMO). На снимке видны даже горы при том, что они находятся за много километров. На втором снимке виден туман, в котором измеренная дальность видимости составляет приблизительно 113 м. (115 Дб/км). Ближнее здание на расстоянии 300 м. еще видно, тогда как остальные здания и другие наземные ориентиры уже не видны. На третьем снимке, в условиях с дальностью видимости приблизительно 75 м. (173 Дб/км), ближнее здание полностью скрыто.

Атмосферная сцинтилляция может быть определена как временное и пространственное изменение интенсивности излучения в плоскости приемника, который обнаруживает сигнал от удаленного передатчика. Уровень принимаемого сигнала колеблется в результате температурных изменений показателя преломления воздуха на пути прохождения излучения. Эти изменения связаны с тем, что атмосфера воздействует на свет подобно ряду маленьких линз, которые отклоняют часть излучения, направляя его как наружу, так и внутрь канала передачи. Временной масштаб данных флуктуаций имеет порядок миллисекунд, что приблизительно равно времени, который требуется объему воздуха, соразмерному с поперечным размером луча, пересечь линию связи и, следовательно, определяется скоростью ветра. Сцинтилляция может изменяться больше чем порядок величины в течение дня, будучи максимальной в полдень, когда температура наиболее высока. Некоторые эксперименты показали что, в зависимости от атмосферных условий на пути изучения, амплитуда сцинтилляционных колебаний достигает максимума, который не возрастает с увеличением расстояния.

(а)

(б)

(в)

Рис. 5. Денвер, Колорадо. Влияние тумана. (а) - 113 dB/k km (б) - 6.5 dB/km (в) - 173 dB/km

В целом, сцинтилляция вызывает быструю флуктуацию принимаемой мощности и, в самом плохом случае, приводит к высокому уровню ошибок FSO систем. Однако, на расстояниях меньше чем 1 км, большинство FSO систем имеют достаточный динамический диапазон или запас, чтобы компенсировать воздействие сцинтилляции. Кроме того, FSO системы, обеспечивающие 99.9% или лучшую доступность, обычно имеют достаточный запас, чтобы компенсировать сильное ослабление в атмосфере и, таким образом, имеют более чем достаточный запас для компенсации сцинтилляции. Для больших дистанций связи с меньшим уровнем готовности, существенное снижение влияния сцинтилляции может быть обеспечено конструктивными решениями приемопередатчиков, такими как использование нескольких лазерных передатчиков.

Потери на окнах

Одно из преимуществ FSO систем-то, что они позволяют осуществлять связь через окна помещений без необходимости установки антенн на крыше. Это особенно выгодно для заказчиков, которые не имеют доступ к крыше здания, а также должны оплачивать монтаж необходимой

Хотя окна пропускают оптический сигнал, они все его ослабляют. Стеклянные окна без покрытий обычно уменьшают сигнал на 4% на каждой поверхности, из-за отражения. Это означает, что совершенно чистое окно с двойным стеклом уменьшает уровень всех оптических сигналов, по крайней мере, на 15% (четыре поверхности, каждая с отражением 4%). Окрашенные стекла и стекла с покрытием могут иметь намного большее ослабление, и его величина обычно сильно зависит от длины волны.

Для установки FSO систем с высоким уровнем доступности внутри помещений рекомендуется предварительно провести измерения фактического ослабления окон, что позволит точно рассчитать качество связи. Кроме того, при планировании инсталляции на высоких зданиях необходимо соотносить влияние низкой облачности на систему, установленную на крыше с уменьшением уровня сигнала, вызванным поглощением в окне, расположенным значительно ниже. Во многих случаях, ослабление окна может иметь меньший эффект на доступность линии связи

Юстировка

Один из основных проблем FSO систем - поддержание заданного направления оси приемопередатчика.

Приемопередатчики передают узконаправленные пучки излучения, которые должны попадать в приемную апертуру приемопередатчика на противоположном конце линии связи. Типичный приемопередатчик передает один или несколько световых пучков, каждый из которых составляет 5- 8 cm в диаметре непосредственно на передатчике и обычно расширяется примерно до 1- 5 м. в диаметре на расстоянии 1 км.

В добавление к этому, FSO приемники имеют ограниченный угол зрения, который может быть представлен как «конус приема» приемника и подобен конусу света, проецируемому передатчиком.

Для работы FSO системы очень важно согласование передаваемого пучка и угла зрения приемника с теми же параметрами приемопередатчика на противоположной стороне линии связи.

Несмотря на общепринятые представления, здания фактически находятся в постоянном движении. Это движение - результат ряда факторов, включая тепловое расширение, влияние ветра, и вибрации. Из-за узкой направленности излучения и ограниченного угла зрения приемника движение зданий может влиять на юстировку приемопередатчика и нарушать связь. Это влияние обычно упоминается как «движение опоры» В большинстве обстоятельств, угловые движения (по азимуту и склонению), в противоположность прямолинейному движению, составляют основную проблему для юстировки приемопередатчика. Движение опоры обычно классифицируется как низко-, средне- и высокочастотное. Низкочастотное - это движение с периодом колебаний от минут до месяцев и определяется суточными и сезонными колебаниями температуры. Среднечастотное движение имеет период масштаба секунд и связано с движением зданий под воздействием ветра. Высокочастотные колебания с периодом меньше чем 1 с, обычно называемые вибрацией, вызываются работой крупного оборудования (например, больших вентиляторов), деятельностью человека (ходьба, закрытие дверей). Каждый из перечисленных типов колебаний обсужден более подробно ниже.

Низкочастотные колебания

Температурные градиенты приводят к изгибу и скручиванию зданий. Амплитуда этих деформаций очень сильно зависит от размеров здания, их формы и конструкции. Это движение настолько малое и медленное, что идет незаметно для жителей зданий. Была показана корреляция, существующая между низкочастотным движением и ежедневными температурными изменениями. Как и ожидалось, отклонение имеет тенденцию к увеличению с высотой здания и может быть существенно для оборудования, установленного на крыше даже для невысоких зданий. Кроме того отмечено, что данные отклонения влияют больше на углы возвышения, чем на азимутальные углы.

Колебания средних частот

Данные виды колебаний вызываются ветром и могут быть весьма существенны для высоких зданий. К счастью, устойчивость зданий при сильных ветрах - обычно основная цель при проектировании небоскребов. Таким образом, данные колебания могут быть вызваны только очень сильным ветром и, вероятны, только на высоких зданиях. Прерывание связи у FSO систем по данной причине будет кратковременным, поскольку по прекращении порыва ветра здание возвращается в исходное положение. Приемопередатчики с достаточно широким пучком, а также с достаточно эффективной системой автоматического наведения и слежения способны компенсировать даже эти редкие и сильные отклонения без прекращения связи.

Высокочастотные колебания

Высокочастотные колебания вызываются вибрацией, имеют частоту выше нескольких герц и сильно зависят от способа установки терминала FSO. Установка на этаже, стене или крыше (то есть на поверхности кровли или парапетной стенки) может дать весьма различающиеся уровни колебаний. На Рис. 6 представлены графики спектральной плотности мощности вибрации для нескольких зданий, включая два крепления на крыше (поверхности кровли), два высоких административных здания (крепление на этаже), и невысокое деревянное здание (крепление на этаже). Кривые показывают большой разброс в амплитудах вибрации от здания к зданию. Кроме того, величина вибрации зависит от действий жителей (например, ходьба, закрытие дверей) и может сильно меняться в течение некоторого времени для одного здания. Интересно отметить, что почти все интегрированное движение находится в пределах полосы частот ниже 10 Гц. Измерения показали, что максимум углового отклонения из-за вибрации с частотой выше 1 Гц, редко превышает 1 мрад, и во многих случаях редко приблизится к половине этого значения. Однако, установка оборудования должна быть тщательно спланирована таким образом, чтобы не усиливать колебания, испытываемые FSO терминалом.

Ухудшение связи из-за колебаний опоры

Движение опоры может вызывать прекращение связи двумя способами: за счет увеличения геометрических потерь при ошибке прицеливания и / или большими потерями на поглощение в приемной системе, вызванными неверным наведением. Геометрические потери - это оптические потери на пути от апертуры передатчика в апертуру приемника. Ошибки наведения лазерного луча в приемную апертуру противоположного терминала (пространственный угол связи) увеличивают геометрические потери. Потери на приемнике - это отношение мощности сигнала в плоскости приема к мощности, попадаемой в активную зону приемника. Потери данного типа растут по мере смещения пятна принимаемого излучения от центра приемника и могут выражаться как ошибка наведения. По достижении ошибки наведения величины, равной половине угла зрения приемника, эти потери резко возрастают.

Имеются два подхода к компенсации влияния колебаний опоры: системы без наведения и системы с автоматическим определением направления и наведением. При проектировании системы без наведения стремятся оптимизировать угол расходимости передатчика для уменьшения геометрических потерь и согласования с углом зрения приемника, чтобы отработать движение опоры. Системы с автоматическим наведением (автотрекингом) могут в значительной степени компенсировать колебания опоры до того, как они скажутся в ошибках наведения. Это дает возможность иметь малые геометрические потери (за счет узконаправленных передатчиков), а также низкий уровень потерь на приеме (даже при малых углах зрения приемника). В связи с тем, что системы с автотрекингом значительно более сложны и дорогостоящи, выбор между ними и системами без автонаведения заставляют пользователя выбирать между качеством связи и стоимостью решения.

Рис. 6. Спектральная плотность мощности измеренной вибрации

В целом, ошибки наведения и прицеливания должны определяться комбинированным движением опоры (как описано выше) с использованием таких критериев как исходное поле ошибок отклонения (для систем без автонаведения), ошибки соосности и тепловой дрейф.

В Таблице 1 приведены бюджеты ошибок наведения и слежения для FSO - терминалов без автонаведения и с ним. Движение опоры, которое должно быть компенсировано системой наведения рассматривается как функция от частоты перемещения опоры. Колебания разных частот не являются независимыми. Следовательно, бюджет, напрямую добавляемый к компонентам движения опоры можно использовать как увеличение низкочастотных колебаний при малом уровне колебаний средней и высокой частоты.


Таблица 1. Бюджет ошибок наведения и слежения для FSO - терминалов

Источник ошибок

Ошибки наведения

Ошибки слежения


Без автотрекинга

С автотрекингом

Без автотрекинга

С автотрекингом

Исходная расстройка

0.2

Отсутствует

0.2

Отсутствует

Несоосность приемника и передатчика

0.2

0.05

Отсутствует

Отсутствует

Температурный дрейф

0.1

0.02

0.1

0.02

Низкочастотные колебания

1.5

0.01

1.5

0.01

Колебания средней частоты

0.5

0.02

0.02

Высокочастотные колебания

0.5

0.05

0.5

0.05

Всего

3

0.15

2.8

0.1


Перечисленные виды нестабильности опоры можно суммировать в некоторые правила, позволяющие оценить в каких случаях возможно влияние данных факторов:

•Низкие (меньше 3 этажей) каменные здания обычно движутся меньше чем высокие здания или деревянные сооружения.

• Перемещение приемопередатчика может быть более существенным, чем движение здания.

• Меньше 15% зданий отклоняются более чем на 4-мрад за годовой период.

• Менее 5% зданий отклоняются более чем на 6-мрад за годовой период.

• Менее 1% зданий отклоняются более чем на 10-мрад за годовой период.

Влияние Солнца

В FSO - системах используются высокочувствительный приемник в сочетании с линзами большой апертуры. В результате естественное освещение может потенциально воздействовать на прием сигнала. Это особенно сказывается в случае высокой интенсивности фонового излучения за счет солнечных лучей. В некоторых случаях прямое солнечное излучение может вызвать перерывы связи на период до нескольких минут, когда Солнце попадает в поле зрения приемника. Однако такие случаи легко предсказуемы. В том случае, когда не удается избежать прямой засветки, работа системы может быть улучшена за счет сужения угла зрения, а также применения узкополосных световых фильтров. Важно также помнить о возможном воздействии солнечных лучей, отраженных от различных стеклянных поверхностей.

Конструкция приемопередатчика

Оптимальная конструкция FSO систем сильно зависит от требуемой стоимости также как и от дистанции, доступности и скорости передачи для конкретного приложения. Не смотря на установленные ограничения, зависящие от приложения, командой разработчиков должны быть приняты фундаментальные решения, серьезно влияющие на конструкцию приемопередатчиков. Эти фундаментальные решения включают характеристики передатчиков, определение необходимости наличия автотрекинга, выбор одно - или многоапертурных приемников и передатчиков, способы согласования излучения.

Характеристики передачи излучения

Как правило, все современные коммерческие FSO - системы работают в ближнем инфракрасном диапазоне волн от 750 до 1600 нм, единицы систем работают на 10,000 нм. Физические свойства оптического излучения и его прохождение через атмосферу практически одинаковы для видимого и ближнего инфракрасного диапазона длин волн., однако есть ряд серьёзных факторов, влияющих на выбор длины волны разработчиками.

Атмосферные окна прозрачности

Важно отметить, что, не смотря на высокую прозрачность атмосферы в видимом и ближнем инфракрасном диапазоне, определенные длины волн (или даже полосы) имеют сильное поглощение. Поглощение в ближней ИК области обусловлено в основном частицами воды (т.е. влаги) всегда присутствующими в атмосфере даже в ясную погоду. Вклад абсорбции газами (CO x или NO x) в общее поглощение можно не учитывать в силу того, что их коэффициенты поглощения значительно меньше чем у воды. В то же время в длинноволновой ИК области (>2000 нм) газовая абсорбция может доминировать. Рис. 7 показывает поглощение в атмосфере в ясную погоду (дальность видимости больше 10 миль) для различных длин волн в ближнем ИК диапазоне (от 0.7 до 1.5 мкм), полученное с помощью программы MODTRAN, разработанной для исследования пропускания атмосферы. Существует несколько «окон прозрачности» (имеющих поглощение менее 0.2 дБ/км) в диапазоне 700-10000 нм. Эти участки волн включают определенные длины волн на которых работает подавляющее большинство FSO - систем: 780-850 нм и 1520-1600 нм.

780-850 нм. Эти длины волн подходят для работы FSO - систем и целый ряд производителей предлагает мощные лазеры, работающие в этом диапазоне длин волн. На длине волны 780 нм работают лазеры, использующиеся в CD - приводах, однако при проектировании систем необходимо учитывать срок службы данных лазеров (к примеру, работа лазеров на мощности, значительно меньшей максимально допустимой позволяет существенно увеличить срок их службы). В районе 850 нм широко распространены высокоскоростные приемные и передающие компоненты, обычно используемые в сетях и передающем оборудовании. В этом диапазоне могут быть использованы высокочувствительные кремниевые лавинные фотодиоды (APD) и лазеры с вертикальной излучающей поверхностью (VCSEL). Возможным недостатком является возможность перехвата излучения с помощью приборов ночного видения, однако демодуляция сигнала с помощью этой техники невозможна.



Рис. 7 Расчетная (с помощью MODTRAN) зависимость затухания излучения в атмосфере в ясную погоду

-1600 нм. Эти длины волн хорошо подходят для FSO - применений и к настоящему времени доступны высококачественные компоненты для приема и передачи излучения. Сочетание малого затухания и высокого качества электронных компонентов для данного диапазона позволяет создавать FSO - системы с волновым мультиплексированием (WDM). Однако указанные компоненты стоят дороже, приемники обладают меньшей чувствительностью малыми размерами приемной площадки по сравнению с кремниевыми ЛФД-приемниками, работающими на 850 нм. Как уже было сказано, этот диапазон длин волн применяется в волоконно-оптических системах при работе на большие расстояния и много компаний работает над снижением стоимости и увеличением скорости компонент в области 1200-1600 нм. Кроме того, на этих длинах волн работают эрбиевые усилители (EDFA), что очень важно для создания мощных (>500 мВт) и высокоскоростных (> 2.5 Гбит/с) систем. В заключение отметим, что в диапазоне 1520-1600 нм по сравнению с диапазоном 780-850 нм, может быть передано в 50-65 раз больше мощности для того же класса лазерной безопасности, ввиду меньшего поглощения человеческим глазом излучения для этих длин волн.

10000 нм (10 мкм). Этот диапазон длин волн относительно нов для коммерческих FSO - систем и планируется к применению вследствие меньшего поглощения данного излучения дымными средами. Сейчас широко обсуждается эффективность данного явления, поскольку оно очень сильно зависит от вида дыма и его протяженности. На рынке присутствуют компоненты для построения систем на 10 мкм, но они обычно не используются в телекоммуникационном оборудовании. Кроме того излучение 10 мкм не проходит через стекло и поэтому невозможна установка данного оборудования внутри помещений. С другой стороны, слабое пропускание стеклом означает невозможность его концентрации оптическими приборами (например, биноклями), что позволяет работать с большими мощностями без ограничений по безопасности. Далее, следует рассмотреть скорость работы FSO - систем с точки зрения атмосферного распространения излучения разных длин волн в условиях сильного задымления. До недавнего времени считалось, что чем больше длина волны, тем больше возможная дистанция связи. Однако, недавние исследования показали, что свыше 780-1600 нм поглощение за счет сильного задымления практически постоянно и, фактически, нет никаких преимуществ вплоть до миллиметрового диапазона. В то же время, огромное количество исследований показывает, что излучение 10 мкм распространяется лучше в условиях тумана и сильного дыма. Однако данные условия обычно не составляют проблем для качественно спроектированных передатчиков FSO - систем на дистанциях, типичных для их коммерческого применения. Следовательно, реальное улучшение сильно зависит от типа дыма и его протяженности. Стандартные модели атмосферного рассеяния, использующие теорию Ми или различные расчетные средства, такие как MODTRAN не показывают улучшения работы на 10 мкм. Даже когда центр распределения радиусов частиц дыма меньше 5 мкм, вклад верхней части распределения (когда рассеяние пропорционально квадрату радиуса частиц) не показывает какого либо преимущества на данной длине волны.

Передатчики

Источник модулированного света, которым обычно является лазер или светодиод (LED), обеспечивает передачу оптического сигнала и определяет все передающие свойства системы. Только приемное устройство вносит столь же важный вклад в качество системы. Для телекоммуникационных приложений, при частоте модуляции от 20 Мбит/с до 2,5 Гбит/с только лазеры отвечают требованиям, предъявляемым рынком. Кроме того важен способ модуляции и уровень мощности модулированного излучения. Лазеры, работающие в спектральных диапазонах 780-925 нм и 1550-1580 нм отвечают частотным требованиям и широко представлены на рынке. Хотя излучатели на других длинах волн также используются в коммерческих FSO - системах, наше рассмотрение будет посвящено лазерам, работающим на длинах волн 850 и 1520 нм. Работающие в этом диапазоне FSO - системы должны иметь следующие характеристики:

• Высокие уровни мощности излучения (важно для FSO - систем на длинных дистанциях);

• Высокоскоростная модуляция (важно для высокоскоростных систем);

• Небольшие габариты и потребляемые мощности (важно для общего проектирования систем и их эксплуатации);

• Возможность работы в широком температурном диапазоне без существенного ухудшения параметров связи (для систем внешнего исполнения);

• Среднее время наработки на отказ (MTBF) не менее 10 лет.

Для удовлетворения перечисленным требованиям, производители FSO - систем обычно используют лазеры с вертикальным резонатором (VCSELs) для ближней ИК области и лазеры с резонатором Фабри-Перо или с распределенной обратной связью для дальней ИК-области длин волн. Другие типы лазеров, как правило, не подходят для использования в высокоскоростных системах.лазеры- лазеры (850 нм) активно развиваются благодаря их применению в телекоммуникациях и имеют много притягательных особенностей. Эти лазеры вызвали революцию на рынке передающих компонентов благодаря их невысокой стоимости и преимуществам, недоступным ранее применявшимся технологиям. Основные преимущества - способность работать на высоких скоростях при среднем уровне мощности несколько милливатт и высоких значениях срока службы. Доступность связи определяется именно средним, а не пиковым значением мощности излучения. Поскольку на длинах волн 850 нм VCSEL лазеры дешевле их альтернатив, именно этот диапазон длин волн доминирует в недорогих FSO - системах, поскольку в коммерческих системах требуемые скорости передачи не превышают 1 Гбит/с. Благодаря высокой эффективности этих лазеров не ставится вопрос о рассеянии тепла и не требуется активное охлаждение. Кроме того, их излучение имеет круговую, а не эллиптичную форму. Такая форма пучка прекрасно согласуется с оптическим волокном, что упрощает процедуру согласования излучения с волокном и существенно повышает его эффективность. Успех VCSEL лазеров настолько велик, что многие производители уже сейчас могут поставить лазерные структуры на 850 нм с прямой модуляцией на частоте, достигающей 3 Гбит/с. Продемонстрирована возможность модуляции до 10 Гбит/ c, есть коммерческие решения для ОС-48 (STM -16) и 10-Гигабит Ethernet.

Лазеры с резонатором фабри-перо и распределенной обратной связью

Лазеры данного типа, представляющие собой полупроводниковые структуры InGaAs / InP и работающие на длинах волн в области 1550 нм, были разработаны специально для волоконно-оптических телекоммуникаций ввиду малого поглощения оптическим волокном излучения в данном диапазоне. Эти лазеры отличаются высокой частотой модуляции, стабильностью длины волны излучения и большим сроком службы. Сегодня маломощные лазеры с распределенной обратной связью продемонстрировали прекрасные частотные характеристики и удовлетворяют самым строгим требованиям телекоммуникационной индустрии.

Усилители

Эрбиевые (EDFA) и полупроводниковые оптические услилители (SOA), предназначены для усиления излучения маломощных лазерных источников. Обе технологии позволяют усиливать излучение как одной длины волны, так и нескольких длин волн (совмещенных в пространстве по технологии WDM).Благодаря высокому оптическому усилению, превышающему 30 Дб, EDFA - усилители могут увеличить мощность излучения FSO - системы на 1550 нм до 1-2 Вт. В то же время, из-за высокой стоимости данного решения оно сейчас применимо только в высокоскоростных системах с скоростью передачи не ниже 1 Гб/с. Поскольку решения на длине волны 1550 нм широко используются в телекоммуникациях, есть надежда на снижение стоимости.

Пиковая выходная мощность

Пиковая выходная мощность это максимально возможная выходная мощность излучателя. Это значение очень часто важно для импульсной работы лазера, когда высокая мощность нужна в короткий период времени. В общем, пиковая мощность и частота повторения импульсов сильно связаны и высокое значение пиковой мощности обычно связано с низкой рабочей частотой, чтобы избежать разрушения устройства. Однако для большинства коммуникационных систем пиковая мощность лазерных источников не соответствует максимуму потому что в большинстве приложений не используются схемы модуляции мощного излучения при низкой частоте. Обычно используется схемы 50% модуляции. Для большинства FSO - систем пиковое значение мощности соответствует передаче «1» и его уровень соответствует удвоенному значению средней мощности сигнала.

Средняя выходная мощность

Средняя выходная мощность передающей системы является ключевым фактором в определении доступности связи, поскольку, как большинство цифровых волоконных коммуникационных систем, так и FSO - систем является цифровыми по способу передачи битов по сети. Указанные системы обычно используют способы кодирования (например, 8 B /10 B), обеспечивающие передачу примерно равного количества единиц и нулей для достижения 50% модуляции. В этом случае средняя мощность определяется как половина максимальной мощности (соответствующей передаче единицы). Это значение средней мощность используется для классификации приемопередатчиков FSO по уровню безопасности.

Расходимость излучения

Одним из основных преимуществ FSO - систем является узкий лазерный пучок, получаемый с помощью хорошо спроектированной оптики. Узкий пучок позволяет осуществлять скрытную и эффективную передачу излучаемой энергии, при которой значительная ее часть собирается приемником. В рамках данной статьи мы ограничимся рассмотрением гауссовского профиля пучков излучения, однако, следует учитывать, что реальное излучение FSO - систем может отличаться от гауссовского. Типичное значение расходимости оптического луча приемопередатчиков FSO без применения систем наведения относительно велико (2-10 мрад, что эквивалентно диаметру пучка 2 - 10 м на расстоянии 1 км). В данном случае любое отклонение опоры должно компенсироваться расходимостью луча и углом зрения приемника. При наличии системы наведения расходимость луча может быть существенно снижена (обычно до 0.05 - 1 мрад, что эквивалентно размеру пучка 5 - 100 см на расстоянии 1 км) для увеличения доступности связи, в том числе и по погодным условиям. Следует иметь в виду, что стоимость системы наведения может быть велика.

Модели распространения излучения S (Гауссовы пучки, 1/E, 1/E^2, AND FWHA).

Величина расходимости луча и его профиль в месте приема - важный критерий оценки качества связи особенно в терминах доступности. Обычно в FSO используется гауссова и прямоугольная модели пучка. Гауссовский профиль пучка получается как собственная форма колебаний в лазерном резонаторе. Большинство лазеров излучает гауссовские пучки имеющие пространственное качество излучения, соответствующее точечному источнику. Например, наиболее узкий пучок излучают одномодовые лазеры; на выходе оптического волокна, согласованного с таким лазером также наблюдается одномодовое излучение. Выражение для интенсивности излучения гауссова пучка в зависимости от радиальной координаты r (расстояния от центра пучка) на длине волны l и при радиусе перетяжки w e выглядит следующим образом:


Энергия пучка радиуса r0:


В круге на границе которого происходит снижение амплитуды до уровня 0.135 (1/ e 2) от максимального значения содержится будет 86% энергии пучка - радиус данного круга называется радиусом пучка b по уровню 1/e^2, который является фундаментальным параметром гауссовского профиля. С другой стороны, пучок может характеризоваться кругом на границе которого амплитуда уменьшается до 0,368 (1 /e) своего пикового значения. Третьим способом описания может служить ширина пучка по уровню половинной амплитуды (FWHA), которая для гауссовского пучка составляет 0. 589 * b. Резкий профиль гауссовского пучка приводит к ухудшению связи при работе на его границе для систем без автонаведения. Другим недостатком гауссовского пучка является то, что пиковое значение интенсивности ограничивает общее значение выходной мощности, тогда как излучение приемопередатчика должно соответствовать стандартам лазерной безопасности (по уровню 1 или М). Пиковое значение мощности не должно превышать пороговое значение с учетом длины волны. Однако это же пиковое значение определяет общую мощность и, соответственно, доступность канала связи для систем с гауссовыми пучками. Таким образом, характеристики гауссовского пучка ограничивают уровень передаваемой мощности. Преимуществом гауссовского профиля является передача информации для системы слежения непосредственно через приемник коммуникационного канала, что позволяет обойтись без специального детектора целеуказателя и, следовательно, без увеличения стоимости системы. Это свойственно и прямоугольному распределению, которое рассматривается ниже, но с меньшей чувствительностью. Альтернативным гауссовскому является прямоугольный профиль пучка, соответствующий равномерному распределению мощности в плоскости волнового фронта. Создание такого пучка обычно требует источника с конечными размерами, в качестве которого может быть использовано многомодовое оптическое волокно. Сфокусированный передатчик в котором выходная апертура волокна помещена в фокус выходной линзы дает пучок конечных размеров с распределением интенсивности близким к равномерному, практически во всем сечении пучка. Пучок данного профиля лучше всего характеризуется его FWHA (а не шириной по уровню интенсивности 1/e или 1/e2) ввиду резкого изменения интенсивности на его границе и сохранения максимальной интенсивности практически во всем возможном диапазоне углов в пределах его расходимости. Благодаря своим свойствам пучок с прямоугольным распределением интенсивности позволяет передавать максимально возможную энергию с соблюдением требований безопасности для глаз. Для большинства таких пучков FWHA составляет около 0.9b, что обеспечивает также большой запас компенсации отклонений опоры. Основной целью при создании таких пучков является заполнение волокна различными модами изучения таким образом, чтобы ширина пучка была близка диаметру сердцевины волокна.

Следует отметить, что размеры пучка в плоскости приема значительно превышают размеры приемной апертуры, что приводит к малому различию в распределении принимаемой мощности между гауссовским и прямоугольным пучками.

В заключение отметим, большую роль характеристик пучков при сравнении FSO - систем. Гауссовский пучок, характеризуемый шириной по уровню 1 /e2 относительно высоким значением мощности на его оси и резким ее уменьшением на краях. Это может снизить эффективность системы в отсутствие автотрекинга или при ее установке на нестабильное основание. С другой стороны, прямоугольный пучок имеет меньшую осевую мощность изучения ввиду ее равномерного распределения по всему сечению пучка и больше подходит для пассивной компенсации движения оснований. Оба профиля пучков применимы для систем с активным наведением.

Атмосферные эффекты и доступность канала связи

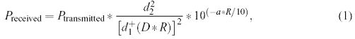
Уравнение связи для FSO - систем очень простое при общем рассмотрении (если исключить из рассмотрения оптическую эффективность, шумы приемника и т.д.) и выглядит следующим образом:


где

P - мощность,

d1 - диаметр апертуры передатчика (м),

d2 - диаметр апертуры приемника (м),

D - расходимость излучения (мрад) (по уровню 1/e для гауссовских пучков; FWHA для прямоугольного распределения),

R - дистанция (км),

a - коэффициент затухания в атмосфере (Дб/км).

В уравнении (1) мощность на приемнике пропорциональна мощности излучения и площади приемной апертуры и обратно пропорциональна квадрату расходимости пучка излучения и квадрату длины линии связи. Она также обратно пропорциональна экспоненте от коэффициента затухания в атмосфере (в единицах 1/длину линии связи), определяя границу доступности. Как видно из (1), контролируемыми параметрами являются мощность излучения, размеры приемной апертуры, расходимость луча и длина линии связи.

Коэффициент атмосферного затухания - неконтролируемый параметр внешней среды и не зависит от длины волны в тяжелых атмосферных условиях. К сожалению, принимаемая мощность экспоненциально зависит от произведения данного коэффициента на расстояние и в реальной атмосфере, для систем с требуемым уровнем доступности 99.9% этот фактор в уравнении является определяющим.

Ключевым моментом в развитии FSO - систем является доступность канала связи, которая зависит от разнообразных факторов, включая надежность оборудования и структуру сети, но все они хорошо известны и предсказуемы. Самое большое неизвестное - ослабление в атмосфере. Хотя большинство аэропортов мира собирают статистику видимости (из которой можно получить коэффициенты затухания), пространственная точность таких измерений очень мала (обычно около 100 м), а время замеров слишком редко (обычно часы). В результате, оценки доступности 99.9% или лучше получить затруднительно. Таким образом, базы данных аэропорта практически неприменимы для точного и надежного определения качества обслуживания. В результате, FSO изготовители вынуждены сами собирать более надежные атмосферные данные, используя чувствительные приборы типа нефелометров, измерителей видимости и прозрачности атмосферной трассы.

Бюджеты связи

Передаваемая мощность - это количество оптической энергии, передаваемой FSO - системой; чувствительность приемника - минимальная оптическая энергия, которая должна приниматься FSO-системой для заданного уровня ошибок. Обе величины обычно измеряются как для пиковой, так и для средней мощности. Кроме того, они могут быть измерены в передающей или приемной апертуре, то есть у лазеров или детекторов. Если измерения предпринимаются непосредственно перед детекторами или лазерами, необходимо учесть оптические потери в системе. Оптические потери включают рассеяние, отражения от поверхностей, поглощение, и прочие потери.

Геометрические потери - потери, происходящие на пути луча между передатчиком и получателем. Как правило, пучок излучения имеет размеры большие, чем принимающая апертура, и это приводит к потере этой «излишней» энергии. Как правило, увеличение размера приемной апертуры и уменьшение расходимости излучения позволяют уменьшить геометрические потери для определенного расстояния. Для равномерного распределения мощности, геометрические потери можно приближенно рас c читать по формуле.



Уравнение (2) также может использоваться для аппроксимации геометрических потерь мощности гауссовского пучка с использованием расходимости по уровню 1/е, но с несколько меньшей точностью, поскольку оно получено в приближении однородного распределения мощности. Следует также отметить, что уравнение (2) соответствует только FSO системам и обычно не используется при расчете микроволновых линий связи, где геометрические потери рассчитываются исходя из дифракции излучения, которое определяется антенной. Ошибка наведения является следствием неточной юстировки приемника и передатчика - она связана с тем, что большинство FSO - систем передает гауссовские пучки и только часть излучения попадает на приемник. Как правило, система настраивается таким образом, чтобы центр гауссовского распределения был совмещен с центром приемника. Если этого не происходит, то приемник собирает энергию «крыльев» распределения с меньшей интенсивностью излучения. Как было показано в разделе 3, данный вид потерь в первую очередь связан с движением опоры. FSO системы с автоматическим наведением и слежением изначально менее подвержены данному виду потерь в силу того, что они постоянно поддерживают оптимальное направление, но, как определено экспериментально, некоторые потери возможны из-за ограниченной способности отработки автоматической системой всех видов движений.

Таблицы 4 и 5 представляют упрощенные значения бюджетов связи для систем без автоматического наведения и с ним соответственно. Интересно отметить улучшение условий связи, которое может быть получено за счет применения систем автотрекинга. Эта система, снижает ошибки наведения и слежения, что позволяет за счет уменьшения расходимости передатчиков существенно снизить геометрические потери.


Таблица 4. Упрощенные бюджеты связи для FSO - систем без автотрекинга.

Параметр

Расстояние

Примечание

300 м

2000 м



Средняя мощность лазера

10 Дбм

10 Дбм


Потери в системе

-6 Дб

-6 Дб

Общие потери приемопередатчика

Геометрические потери

-27 Дб

-44 Дб

8 мрад расходимость передатчика 3 мрад ошибка наведения

Потери сигнала на приемнике

-23 Дб

-40 Дб

В чистом воздухе, без потерь на окнах

Чувствительность приемника

-46 Дбм

-46 Дбм

Зависит от длины волны и скорости передачи данных

Запас по усилению для чистого воздуха

23 Дб

6 Дб

Для потерь в атмосфере и на окнах


Таблица 6. Упрощенные бюджеты связи для FSO - систем с автотрекингом

Параметр

Расстояние

Примечание

300 м

2000 м



Средняя мощность лазера

10 Дбм

10 Дбм


Потери в системе

-8 Дб

-8 Дб

Общие потери приемопередатчика

Геометрические потери

-4 Дб

-18 Дб

0.5 мрад расходимость передатчика 0.15 мрад ошибка наведения

Потери сигнала на приемнике

-2 Дб

-16 Дб

В чистом воздухе, без потерь на окнах

Чувствительность приемника

-46 Дбм

-46 Дбм

Зависит от длины волны и скорости передачи данных

Запас по усилению для чистого воздуха

44 Дб

30 Дб

Для потерь в атмосфере и на окнах


Измерения

Одна из самых больших проблем, которая стоит перед потенциальными пользователям FSO систем - точное сравнение изделий различных изготовителей. Причина этого в том, что каждый изготовитель имеет тенденцию по своему трактовать различные технико-эксплуатационные параметры. К примеру, передаваемая мощность может быть пиковой или средней, расходимость излучения может измеряться по уровню 1/e, 1/e2, или в единицах FWHA.

Как отмечалось в аннотации, цель данной работы - выработка общего набора параметров FSO систем который позволит их корректное сравнение. С этой точки зрения мы можем предложить производителям FSO систем следующие шесть показателей для их описания.

•Передаваемая мощность

• Расходимость излучения

• Чувствительность приемника

• Поле зрения приемника

• Зависимости запаса по усилению и ослабления от расстояния

Используя эти шесть показателей, потенциальный конечный пользователь должен быть способен полностью оценить ожидаемую эффективность данного FSO приемопередатчика для конкретной инсталляции и иметь возможность количественного сравнения различных систем.

Передаваемая мощность

Мы хотели бы предложить, чтобы производители приняли стандартный показатель «Полная максимальная средняя мощность в выходной апертуре». При и использовании этого показателя, описание FSO приемопередатчика будет содержать интегрированную сумму испускаемой мощности по всей выходной апертуре, усредненную за период, по крайней мере, в 25 раз превышающий рабочий тактовый интервал. Как вариант, производитель FSO системы может использовать параметр максимальная средняя выходная мощность передающего лазера» в сочетании с параметром «Оптические потери передающей системы»

Расходимость излучения

Мы предлагаем производителям принять стандартный параметр «Расходимость пучка излучения по уровню 1 /e, 1 /e^2, и в единицах FWHA» Эта комплексная информация позволит потенциальному пользователю примерно определить профиль пучка излучения и оценить распределение мощности на различных расстояниях.

Чувствительность приемника

Мы предлагаем производителям принять стандартный показатель «Средняя мощность на входной апертуре, необходимая для получения уровня ошибки не больше 10 9» Экстраполяция на другие уровни ошибок практически линейна - так, для уровня 10 12 это чувствительность, большая примерно на 1 Дб и для уровня 10 6 - меньшая примерно на 1 Дб. Как вариант, производитель может указать параметр «Необходимая средняя мощность на детекторе» в сочетании с параметром «Оптические потери в приемной системе».

Поле зрения приемника

Мы предлагаем использовать в качестве стандартного показатель «Поле зрения приемника в единицах FWHA»

Наведение и слежение

Для систем наведения и слежения мы могли бы предложить две стандартных характеристики - «Область системы слежения» и «Полоса частот системы слежения». Осознавая недостаточность данных характеристик для полного описания систем наведения и слежения, мы считаем, что они могут дать общую оценку работы системы и вполне применимы для корректного сравнения различных приемопередатчиков.

Практические ограничения FSO

Одна из проблем, стоящая сегодня перед производителями FSO систем - неточные спецификации максимальных возможностей данной технологии. Обычно это делается для повышения уровня краткосрочных продаж, но наносит долговременный ущерб репутации данной технологии, потому что несоответствие линий связи заявленным параметрам заставляет заказчиков искать недостатки уже в технологии, а не в агрессивной маркетинговой политике. В своей основе, FSO технология может применяться практически во всем мире, в том числе для долговременной работы на короткие расстояния. В Таблице 6 суммированы среднегодовые значения доступности канала связи типичных высокоскоростных FSO систем для различных значений доступности и климатических условий. Насколько можно видеть, FSO системы вполне работоспособны на расстояниях около 1 км - даже в городах с плохими погодными условиями обеспечивается уровень доступности 99,5%; однако для увеличения доступности максимальное расстояние сильно снижается. При доступности не меньшей 99,99% максимальное расстояние обычно меньше 300 м за исключением мест с идеальным климатом. Для расчета цифр, приведенных в этой таблице была собрана и проанализирована история данных по видимости из различных источников, таких как Национальная служба погоды (NWS) - отделение Национального океанического и атмосферного управления США (NOAA), Национальный климатический центр данных (NCDC) и Министерство обороны США. Данные собирались по различным городам мира за период 16 лет и включают как видимость у поверхности, так и статистику облачности.

Таблица 6. Расстояния для различных значений годовой доступности и климатических условий

Доступность канала связи, %

Города

Расстояние, м

99.5

Феникс - отличная погода

10 000 +


Денвер - хорошая погода

2400


Сиэтл - плохая погода

1200


Лондон - очень плохая погода

630

99.9

Феникс - отличная погода

5200


Денвер - хорошая погода

850


Сиэтл - плохая погода

420


Лондон - очень плохая погода

335

99.99

Феникс - отличная погода

460


Денвер - хорошая погода

290


Сиэтл - плохая погода

255


Лондон - очень плохая погода

185


Данные основываются на испытаниях с использованием двух FSO приемопередатчиков, расположенных на открытом воздухе и работающих в условиях прямой видимости в нормальных условиях эксплуатации. [7]

Российский рынок АОЛС / FSO

Первый запатентованный фототелефон, работающий по данному принципу, появился в 1880 г. Сначала для передачи сигналов через АОЛС использовались гелий-неоновые лазеры, которые впоследствии были заменены на сине-зеленые и полупроводниковые лазеры.

Первая в России Атмосферная Оптическая Линия Связи была создана в Москве в 1965 г., между АТС МГУ и АТС на Зубовской площади (длина 4,5 км). После этого в РФ было построено еще несколько АОЛС - в Ереване (28 км), Красногорске (17,5 км), Куйбышеве (5 км), Клайпеде (1,6 км). Это были только первые шаги технологии FSO в России. Затем последовало некоторое затишье. И только в 90-х годах, когда в нашей стране популярность завоевывал широкополосный Интернет, исследования АОЛС снова вышли на первый план. Сегодня данная технология является одной из новейших в телекоммуникационной отрасли нашей страны. Уровень развития АОЛС достиг того уровня, когда технология стала доступна широкому кругу пользователей.

В настоящий момент максимальное расстояние для качественной работы оптической сети составляет 1,5-2 км. На рис. 9 показаны технические характеристики российского и зарубежного оборудования для АОЛС со скоростью 1000 Мбит/с, данные на 01.11.2010.

За последние несколько лет на российском рынке оптических систем передачи данных произошло много изменений, среди которых смена игроков, появление новых тенденций (так, сегодня, в основном, используется пакетная передача данных), появление целого ряда усовершенствований данной технологии и т.п.

В настоящее время в России производством оборудования для АОЛС / FSO и развертыванием оптических сетей занимается несколько компаний: «Оптические ТелеСистемы» (бренд «ЛАНтастИКа»), ЗАО «Мостком» (бренд Artolink), «Лазерные Информационные Телекоммуникации» (бренд ОСС).

Кроме того, на нашем рынке есть и зарубежная продукция, среди производителей: Canon, LightPointe, PAV Data Systems, CableFree, Terabeam Wireless и др.

Технические характеристики

·        Название технологии: FSO\АОЛС\ Wireless Optic.

·        Частота: 400 TерраГерц, не требует лицензии.

·        Скорость передачи данных: 100 Мбит/с (на дистанциях до 1800 м, при хороших условиях), 10 Мбит/с (при плохих погодных условиях и других негативных факторах).

·        Максимальная дальность передачи сигнала: 1-1,8 км.

·        Стоимость базового оборудования: от 100 до 150 тыс. руб.

·        Надежность: высокая, при правильном креплении оборудования и небольшой дистанции.

·        Помехозащищенность: подверженности воздействию электромагнитных помех нет.

·        Зависимость от погодных условий: достаточно сильная, особенно от туманов и снегопадов.

·        Безопасность: очень высокая (узкая направленность лазерного луча почти исключает вмешательство посторонних).

Основные причины задержки внедрения АОЛП в сетях доступа

Согласно данным из сумма, вырученная от продаж аппаратуры АОЛП в США и Западной Европе, в 2000 г. составила 100 миллионов долларов США. На фоне такого роста ожидалось, что к 2005 г. Сумма продаж составит 200-400 млн долл. Однако в 2002 г. вследствие снижения числа продаж потерпел убытки ряд фирм, а некоторые зарубежные операторы, достаточно широко применявшие аппаратуру АОЛП, разорились (поскольку оператор отвечал за финансовое состояние его подразделения). Причин кризиса было несколько. Первая причина - широкое использование за рубежом операторами связи до 2006 г. (как и в России) завышенных длин АК в АОЛП. Например, в Московском регионе широко использовались каналы длиной 1-1,5 км и больше из-за пропуска этапа проектирования и вследствие рекламы завышенных длин АК производителями аппаратуры. Реклама тех лет рекомендовала длины АК 1-2 км и более без указания, к какому географическому региону относятся указанные длины, тогда как максимальная длина АК при KГ-АК = 0,997 в Московском регионе при использовании аппаратуры, доступной на рынке, как указано выше, не превышала 650 м и определялась максимально реализованным энергетическим ресурсом аппаратуры АОЛП (рис. 8). Вторая причина - низкий коэффициент готовности наведения оптических лучей (KГ-НЛ) при использовании аппаратуры с узким лучом из-за низкой стабильности направления излучения в пространстве, из-за отсутствия автоматического наведения луча, контроля точности наведения оптических лучей и дистанционного управления. В большой части аппаратуры АОЛП до 2006 г. АНЛ не использовалось или работало ненадежно (и в России и за рубежом). Поэтому, хотя аппаратура с узким лучом способна работать на атмосферных линиях большей длины, чем аппаратура с широким лучом, она не обеспечивала необходимого коэффициента готовности наведения из-за нестабильности положения луча в пространстве. Однако все отказы обычно списывались на погоду, так как при плохом совмещении отказ при ухудшении прозрачности атмосферы наступал раньше, ведь часть энергии луча из-за рассовмещения луча и антенны уже была потеряна. Аппаратура с широким лучом (фирмы «Катарсис», Россия, и PAV, Англия) могла обеспечить более высокую стабильность совмещения луча с антенной, хотя и не всегда достаточную. Однако при обеспечении требуемого коэффициента готовности АК значительные потери вследствие расходимости луча на практике сокращали каналы в 1,4-1,6 раза по сравнению с теми, что обеспечивала аппаратура с узким лучом. Третья причина - отсутствие надлежащего проектирования при сооружении АОЛП в сети оператора. Хотя методика расчета максимально допустимой длины LАК была опубликована в 2004 г., для операторов она осталась практически неизвестной, поэтому, как правило, использовались длины АК, указанные в рекламе производителей, т.е. завышенные. Четвертая причина - отсутствие дистанционного контроля, дистанционного управления, дистанционного наведения или АНЛ в аппаратуре АОЛП, т.е. несовершенство аппаратуры, из-за чего она не удовлетворяла современным требованиям к линиям связи по коэффициенту готовности. Еще одна цель настоящей работы - показать, что в части длин АОЛП оператору нельзя ориентироваться на рекламу производителя. Решать этот вопрос должен проектировщик АОЛП. Производители же в своей документации на производимую ими аппаратуру должны указывать все основные технические параметры своей аппаратуры, а именно:

) мощность излучения на выходе передающей антенны;

) угол излучения;

) длину волны излучения;

) чувствительность оптического приемника;

) динамический диапазон входных уровней

) площадь приемной антенны;

) площадь передающей антенны;

) параметры системы АНЛ (при ее наличии);

) тип интерфейса;

Преимущества технологии АОЛС / FSO

·        использование частот, не требующих лицензирования;

·        оптические системы не чувствительны к электромагнитному шуму;

·        системы не создают помех для радиооборудования (поэтому для их построения не нужно разрешений и согласований с уже установленным оборудованием);

·        не создают помех друг для друга (благодаря чему их можно использовать в густонаселенных районах, устанавливая оборудование в непосредственной близости друг от друга);

·        простота монтажа, небольшие габариты оборудования (единственный важный момент в том, что крепиться оборудование должно к неподвижным, прочным опорам - многоэтажки, сварные стальные конструкции и т.п. Просто поднять антенну повыше и прикрепить передатчик не получится);

·        высокая скорость передачи данных;

·        сохранение инвестиций в сеть при переезде (оборудование снимается и монтируется в новом месте);

·        нет необходимости в инфраструктуре (сеть можно развернуть там, где нет возможности проведения кабельных сетей);

·        высокий уровень безопасности передачи информации (подключиться к сети и воровать трафик практически невозможно, поскольку согнал передается при помощи лазера, а не отправляется в радиоэфир).

Недостатки технологии АОЛС / FSO

·        зависимость от погодных условий (тумана, снегопадов, но зато даже сильный ливень не уменьшает качество сигнала);

·        строгий лимит по расстоянию между передатчиком и приемником;

·        дороговизна оборудования;

·        для качественной работы сети нужно прочное крепление оборудования, поскольку смещение (ветер, механические нагрузки и проч.) передатчика или приемника ухудшает связь;

·        недостаточная осведомленность пользователей о данной технологии, из-за чего отрасль развивается недостаточно быстро. [6]

Сравнение радиорелейных и атмосферных оптических линий связи.

Таблица 2. Сравнение FSO/АОЛС и радиочастотной системы

Фактор

Атмосферная оптическая система

Радиочастотная система

Полоса пропускания

10 мб/с-1.25 гб/с

11 мб/с - 100 мб/с

Скорость передачи

Определяется сетью

Определяется частотой

Погода

Лучше при дожде

Лучше при тумане

Препятствия в прямой видимости

Не допустимы

Допустимы

Безопасность

Сигнал трудно перехватить

Сигнал легко перехватить

Стоимость систем

$15,000-$35,000

$1,000-$50,000


Сравнение РРЛС, АОЛС и ВОЛС.

Для телефонизации отдельно стоящего жилого дома или офиса без прокладки кабеля через зону отчуждения железной дороги с потоком 2,048 Мбит High density, для объединения ЛВС Fast Ethernet, разделенных труднопреодолимыми препятствиями (ЛЭП автострады, железные дороги и т.д.) и обеспечения магистральных соединений в распределенных компьютерных сетях (10>100 Мбит/с) целесообразно использовать системы Атмосферных Оптических линий связи (АОЛС). Важная особенность атмосферных оптических линий связи (АОЛС), это отсутствие необходимости получать разрешение на частоты при установке и эксплуатации таких систем, в отличие от радиорелейных линий связи (РРЛС). Иными словами, исключается длительный и весьма дорогостоящий процесс получения радиочастот. При получении радиочастот для строительства РРЛС вначале оформляется заявка. На основании заявки производится расчет и проверка электромагнитной совместимости с РЭС гражданского и специального назначения. По результатам проверки электромагнитной совместимости ФГУП «Главный радиочастотный центр» (ГРЦ) РФ выдает разрешение на использование частотного диапазона и производится оплата необходимого числа частотных точек. Рассмотрение и получение частот в конкретных точках размещения радиорелейных линий обычно производится в течение 3-4 месяцев. Стоимость проверки электромагнитной совместимости и получения частот на один пролет РРЛС может достигать до 4-5 тысяч долларов США. Значительные затраты требуются также для расчета, измерения уровней электромагнитного излучения и получения разрешения Госсанэпиднадзора на установку РРЛС. Еще одно достоинство АОЛС, это то, что нет необходимости получать технические условия для строительства. При прокладке волоконно>оптических линий связи (ВОЛС) в канализации необходимо получение технических условий на прокладку кабеля от местных узлов связи, что обычно производится в течение 1-2 месяцев, причем, как правило, технические условия содержат большой объем работ по докладке, восстановлению или ремонту телефонной канализации и колодцев. Практика показывает, что объем дополнительных работ может составлять от 20 до 50% стоимости строительства ВОЛС.В Таблице 3 приведены данные о длительности и ориентировочной стоимости основных этапов проектирования и строительства различных типов линий связи. На Рисунке 9 сравнивается стоимость строительства цифровых линий связи различного типа в зависимости от длины трассы. Испытания АОЛС при скоростях от 34 до 140 Мбит/с, проведенные в Москве и Московской области, показали недостаточную надежность работы линий при длинах трассы более 2,5-3 км, поэтому длинные трассы имеют участки ретрансляции длиной по 2 км.

Таблица 3. Длительности и ориентировочной стоимости основных этапов проектирования и строительства различных типов линий связи

Строительство РРЛС

Строительство ВОЛС

Строительство АОЛС

Расчёт и проверка ЭМС с РЭС гражданского назначения

Получение технических условий на строительство работ у местных узлов

Разработка рабочего проэкта

Проверка электромагнитной совместимости с РЭС военного назначения

Разработка рабочего проэкта


Получение разрешений ФГУН ГРЦ РФ на использование полос радиочастот и оплата радиочастотных присвоений

Согласование рабочего проэкта с местными узлами связи, ГУП «Гормост» и коллекторами


Разработка рабочего проекта (выполняется одновременно с первыми тремя пунктами)

Согласование объёма дополнительных работ с местными узлами связи ГУП «Гормост» и коллекторами


Оформление и оплата Разрешения главгоссвязьнадзора РФ для закупки аппаратуры по импорту

Заключение договоров аренды канализации


Расчёт уровней электромагнитного излучения и получения разрешения Госсанэпиднадзора

Выполнение объёма дополнительных работ для местных узлов связи, ГУП «Гормост» и коллекторов


Получение разрешения Главгоссвязьнадзора РФ на строительство РРЛС

Получение разрешения на прокладку ВОЛС


Общий срок проектных работ

3-6 месяцев

2-4 месяца

Менее 1 го месяца

Стоимость проектных работ

$4000-$5000 на пролёт

$1000 на пролёт до 2,0 км

Закупка оборудования

Закупка кабеля и оборудования

Закупка оборудования

Строительство и монтаж РРЛС

Строительство ВОЛС, монтаж и сдача заказчику

Строительство АОЛС, монтаж и сдача заказчику

Получение временного разрешения ФГУП ГРЦ РФ на работу РЭС с излучением



Сдача РРЛС заказчику



Общий срок выполнения строительных работ

2-4 месяца

2-3 месяца

2-3 месяца

Общий срок проектирования и строительства линии

5-9 месяцев

4-6 месяцев

3-4 месяца




5. Расчёт АОЛС между ул. Лейтената Катина и ул. Маршала Борзова

Основные параметры:

·        скорость передачи 10/100/1000 Мбит/с Full Duplex

·        автонаведение (autotracking)

·        технология «двойного канала» с возможностью выдачи питания резервному оборудованию 48В

·        возможность подключения оборудования резервного канала

·        адаптированый приёмо-передающий тракт

·        встроенный служебный канал

·        Active Link Loss Forwarding (ALLF)

·        IP-мониторинг один кабель снижения на сторону 50 м- расстояние от передатчика до приемника (1570 м);

и - полный угол расходимости излучения передатчика (0.15 мрад);- количество передающих лазеров; (1)- диаметр апертуры оптической системы приемника (0,0977 м).- импульсная мощность передатчиков (120-135*10-3 Вт);- чувствительность приемника -30;- МДВ (500-10.000 м);

Для правильно установленной и настроенной атмосферной оптической линии, определяющим фактором надежности связи являются погодные условия в месте ее расположения. Влияние атмосферы сказывается в ослаблении луча метеорологическими факторами: дождем, снегом, туманом, песчаной бурей, а также техногенными аэрозолями. Дополнительными факторами уменьшения мощности излучения в плоскости приема служат турбулентные образования в атмосфере и их взаимодействие с когерентным излучением лазера (спекл-картина или сцинтилляции). Это приводит к «дрожанию» луча, к его «пятнистости» в плоскости приема.

Основным параметром, описывающим процесс взаимодействия оптического излучения с атмосферой, является метеорологическая дальность видимости (МДВ). Это расстояние, на котором свет с длиной волны 0,55 мкм ослабляется в 50 раз (на 17 дБ). Погодные условия различаются как для различных географических районов, так и от года к году.

Статистическим параметром погоды для конкретного географического места, определяющим надежность связи, является доля времени за год в течении которого МДВ меньше заданной величины.

т В ясную погоду турбулентность атмосферы определяет предельную дальность связи. Влияние турбулентности атмосферы и сцинтилляции в пучке лазерного излучения значительно ослабляются при введении нескольких лазерных передатчиков, поскольку их излучение существенно не когерентно.

К настоящему времени ставшая классической теория турбулентных процессов в атмосфере, относящаяся к инерционному интервалу развития турбулентности, позволила описать многие флуктуационные эффекты в лазерных пучках на атмосферных трассах. Эта теория, основанная на «законе двух третей» Колмогорова, предполагает наличие процесса каскадного дробления вихрей при устойчивом спектре распределения размеров неоднородностей.

Такой подход долгое время служил почти единственной основой для интерпретации экспериментальных данных о флуктуациях лазерного излучения в атмосфере, в том числе и на приземных трассах. Вместе с тем, применительно к последнему случаю, указанная теория может оказаться слишком грубым приближением.

Анализ результатов исследований, изложенных публикациях различных журналов на эту тему, показывает, что турбулентность в приземном слое воздуха носит более сложный характер, обусловленный развитием различного рода неустойчивостей. Учитывая отсутствие законченных теоретических исследований оценивающих параметры надежности связи при использовании нескольких лазеров, а также усредняющее влияние апертуры приемника и разрушение когерентности на аэрозолях атмосферы была предложена эмпирическая зависимость оценивающая данные факторы.

- МДВ (м);

где I - фактор возможного ослабления сигнала на расстоянии L (дБ);- расстояние от передатчика до приемника (м);

и - полный угол расходимости излучения передатчика (рад);- количество передающих лазеров;- диаметр апертуры оптической системы приемника (м).

Выражение (3) было получено на основании данных производителей FSO систем, в частности Optical Access и «ЗАО» МОСТКОМ.

Используя закон Бугера, выражение (3), а также фактор геометрического ослабления сигнала получаем выражение определения максимальной длины трассы при данном МДВ:

 (4)

где Pt - импульсная мощность передатчиков (Вт);- чувствительность приемника при соотношении сигнал: шум 10:1 (Вт);- МДВ (м);

Коэффициент 1,2 при V введен для учета длины волны ИК излучения лазеров (0,8-1,2 мкм).

Из выражения (3) можно получить соотношение для определения надежности связи в зависимости от дальности и погодных условий для конкретной местности.

Расчет предельной дальности связи в зависимости от МДВ для изделий серии МОСТ производства ГРПЗ. При прочих одинаковых параметрах изделия отличаются шириной полосы пропускания и, соответственно, чувствительностью. В своем составе они имеют по два лазера в передатчиках. Однако турбулентность атмосферы не позволяет обеспечить надежную связь на скорости 300 Мбит/с при максимально ясной погоде на расстояния более 3,5 км. Реально это проявляется в периодическом прерывании сигнала с периодом 0,1 - 1 с.

Выбранное оборудование подходит для трассы ул Лейтенанта Катина-ул. Маршала Борзова, так, как мдв почти всегда будет в пределах необходимого уровня и только изредка во время тумана он будет падать ниже необходимого уровня, что приведёт к разрыву соединения, наиболее частые проблемы с соединением возможны в веснное-осенний периуд в 4-6 часов утра, но это можно предотвратить доукомплектованием оборудования резервного радиоканала 72-75ГГц работающего до 2500 м 100 мбит/с.

По техническим характеристикам оборудования, представленного различными производителями можно сделать вывод, что в мире не существует аппаратуры FSO, которая может обеспечить в условиях России связь с надежностью выше 99,9% на расстоянии даже 1 км. Всегда имеется ненулевая вероятность ухудшения погодных условий, когда связь прервется при любой дистанции. В связи с этим при выборе аппаратуры атмосферной связи потребителям и производителям необходимо обязательно учитывать статистику погодных условий в конкретной местности, оценку допустимого уровня надежности связи и, соответственно, выбор длины трассы.

Я считаю, что в России для сетей Интернет допустима надежность связи FSO систем в 99,7% из-за погодных условий. Это может приводить к потере связи 1-2 раза в осенне-весенний период не дольше чем на 1-2 часа в течение одних суток. За год это время суммарно составит не более, чем 24 часа. При этом самое неблагоприятное время приходится на 4-6 часов утра.



Выводы

На основании данных данной курсовой работы можно сделать следующие выводы:

• Стоимость строительства АОЛС при скоростях от 34 до 140 Мбит/с и длинах трассы до 2-3 км сравнима со стоимостью ВОЛС и существенно ниже по сравнению с РРЛС

• Стоимость строительства АОЛС при скоростях 34 Мбит/с и длинах трассы свыше 4 км (участки ретрансляции по 2 км) близка к стоимости строительства ВОЛС и выше по сравнению с РРЛС на 34 Мбит/с;

• Стоимость строительства АОЛС при скоростях до 140 Мбит/с и длинах трассы до 8-10 км (участки ретрансляции по 2 км) сравнима со стоимостью ВОЛС и ниже по сравнению с РРЛС на 140 Мбит/с; • При длинах трассы более 8-10 км строительство АОЛС не всегда целесообразно из-за большого числа ретрансляционных участков; • В отличие от прокладки ВОЛС с ее необходимостью получать технические условия и при большом объеме дополнительных работ, стоимость создания линий связи на базе АОЛС сокращается на 20-40%, а сроки строительства в два-три раза;

• В отличие от строительства РРЛС, когда необходима проверка электромагнитной совместимости и получения частот, стоимость создания линий связи на базе АОЛС при скоростях от 34 до 140 Мбит/с и длинах трассы до 2-3 км сокращается на 20-30%, а сроки строительства в два-три раза. Особенно следует подчеркнуть, что отечественные РРЛС на скорость 140 Мбит/с не выпускаются, поэтому стоимость создания линий связи на основе АОЛС уменьшается в два-три раза.

Важно отметить, что стоимость эксплуатации АОЛС при длине линии связи до 4-6 км сравнима со стоимостью эксплуатации РРЛС и даже ниже по сравнению с ВОЛС из-за отсутствия расходов на аренду телефонной канализации и обслуживание кабелей. Сравнивая условия для строительных и монтажных работ на кабелях связи, проложенных в грунте или канализации, и АОЛС, можно утверждать, что строительство атмосферных линий существенно выигрывает во времени по сравнению с прокладкой кабелей в готовой канализации. Установка атмосферных оптических терминалов с длиной трассы до 2,5 км, с креплением на крыше дома и прокладкой необходимых кабелей производится бригадой из трех человек приблизительно за 3-4 часа, с предварительным наведением на соседний узел магистральной связи. Точная настройка специальными приборами занимает обычно 10-20 минут. Прокладка волоконно-оптического кабеля длиной до 2,5 км в телефонной канализации занимает несколько дней, причем необходима бригада из четырех-пяти человек, машина с лебедкой и несколько катушек со строительными длинами кабеля. После прокладки кабеля проводится монтаж муфт, измерение параметров кабеля, подключение к кроссу, установка кабеля под избыточное давление. При строительстве телефонной канализации или прокладке кабеля в грунте стоимость строительства ВОЛС может увеличиться в несколько раз, а сроки прокладки растянуться на 5-6 месяцев, так как прокладка телефонной канализации или кабеля в грунте осуществляется, как правило, в летний период. Применение АОЛС изменяет весь ход строительства местных сетей связи, ибо устраняет наиболее тяжелые и дорогостоящие работы по строительству телефонной канализации, прокладке и монтажу кабеля. Установка атмосферных оптических терминалов может быть проведена персоналом за несколько часов без выполнения каких-либо тяжелых работ. В некоторых случаях, например, при прокладке линий связи через речные переходы, мосты и железные дороги строительство линий связи на базе АОЛС может обойтись в несколько раз ниже, чем стоимость строительства ВОЛС. Опыт проектирования и строительства ЦСС DECT стандарта на базе АОЛС показывает, что полный цикл проектирования, строительства и сдачи сети может быть осуществлен за 5-6 месяцев, при этом стоимость строительства снижается на 20-40% по сравнению с реализацией сети с использованием РРЛС или ВОЛС.

Заключение

В результатам данной курсовой работы были изучены радиорелейные и атмосферные оптические линии связи, области их применения и методику их проектирования.

Хорошо спроектированные FSO системы обеспечивают лучшую доступность канала связи на расстояниях 500-1000 м для подавляющего большинства городов мира. Они безопасны для зрения и могут использоваться в течении расчетного срока эксплуатации при условии необходимого обслуживания. А Радиорелейные линии связи обеспечивают лучшую доступность канала связи на расстояниях от 4 км.


Перечень использованной литературы

1) http://mamaatakuet.narod.ru/lvs/40.html

) http://celnet.ru/rrl.php

) http://www.rdcam.ru/servises/projects/rrls/

4) Журнал connect! Мир связи 02.2005

) http://www.mini-ats.ru/article.php? id_news=10&type=4&rw=1

6) Журнал RuBroad.ru 23.05.2012 Беспроводная оптика АОЛС / FSO - еще одно решение для преодоления «последней мили»

) Принципы работы FSO - систем (перевод ООО «МОСТКОМ»)

June 2003 / Vol. 2, No. 6 / JOURNAL OF OPTICAL NETWORKING

8) Журнал LIGHTWAVE Russian Edition №3 2007 Павлов Н.М. ОСНОВНЫЕ ПРИЧИНЫ ЗАДЕРЖКИ ВНЕДРЕНИЯ АОЛП В СЕТЯХ ДОСТУПА. КРИЗИС 2002 ГОДА.

) Публикация на ресурсе http://www.teleport-pskov.ru/ Атмосферная оптическая линия связи АОЛС - новаторское телекоммуникационное решение.

) Ю.И. Зеленюк, технический директор ГРПЗ, И.В. Огнев, директор комплекса по производству гражданской продукции, С.Ю. Поляков, директор ООО «Мостком», С.Е. Широбакин, директор центра стратегии и маркетинга ООО «Мостком ВЛИЯНИЕ ПОГОДНЫХ УСЛОВИЙ НА НАДЕЖНОСТЬ АТМОСФЕРНОЙ ОПТИЧЕСКОЙ СВЯЗИ («ВЕСТНИК СВЯЗИ» №4, 2002)