Материал: Отчет ЛР5

Внимание! Если размещение файла нарушает Ваши авторские права, то обязательно сообщите нам

Задача 5.1

Постановка задачи: Вычислить значение интеграла , где , с помощью элементарных квадратурных формул левых прямоугольников и по формуле индивидуального варианта. Затем, используя априорную оценку погрешности, оценить шаг интегрирования h, требуемый для достижения точности .Вычислить интеграл с найденным шагом интегрирования.

Решение задачи:

Входные данные:

График функциии P(x):

Вычислим интеграл с помощью средств МС:

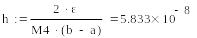
Для оценки шага интегрирования воспользуемся теоретической оценкой погрешности:

Найдем константу М4 используя МС:

Для нахождения шага воспользуемся априорной оценкой погрешности:

Найдем шаг интегрирования требуемый для достижения заданной точности έ

К о л и ч е с т в о о т р е з к о в р а з б и е н и я и с х о д н о г о о т р е з к а [a,b] п о л у ч и л о с ь н е ц е л ы м

Переопределим значение n: n:=34288000

Скорректируем шаг интегрирования:

В ы ч и с л и м з н а ч е н и е и н т е г р а л а п о с о с т а в н о й ф о р м у л е л е в ы х п р я м о у г о л ь н и к о в :

П о л у ч е н н а я в е л и ч и н а п о г р е ш н о с т и :

Д Л Я В Ы Ч И С Л Е Н И Я И Н Т Е Г Р А Л А В О С П О Л Ь З У Е М С Я Ф О Р М У Л О Й

8-г о П О Р Я Д К А Т О Ч Н О С Т И

Полученное значение и значение точности:

Найденное точное значение интеграла

Число разбиений

отрезка n

Шаг интегрирования h

Значение интеграла, вычисленное по составной формуле

Величина погрешности интеграла, вычисленного по составной формуле

Метод Левых прямоугольников

n:=34288000

h:= 0.00000058343057176

Ih:= 761.599629988383

Rh:= 0.00037001161717853

Метод индивидуального варианта

Метод Виделла

n:=1

h:=2

Ih:= 761.6000000000003

Rv:= 0.00000000000011369

Задача 5.2. Вычислить интеграл с точностью

ПОРЯДОК РЕШЕНИЯ ЗАДАЧИ

1. Вычислить интеграл с помощью средств пакета MATHCAD .

2. Составить программу, содержащую следующие разделы:

а) процедуру-функцию, вычисляющую интеграл по составной квадратурной формуле из индивидуального варианта с заданным шагом h.

б) подпрограмму, вычисляющую значение интеграла с заданной точностью ; оценку погрешности производить на основе правила Рунге.

с) вычисление уточненного значение интеграла и величину погрешности

Результатом работы программы должны быть следующие величины:

n- число разбиений отрезка интегрирования, при котором заданная точность

достигнута,

и - - полученные значения интеграла при шагах и соответственно,

и - величины абсолютных погрешностей,

и - величины для уточненного значения интеграла.

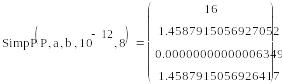
4.Вычислить интеграл по программе и полученные данные свести в таблицу 5.2

Входные данные:

Результаты вычислений:

I= -2.6387190477252433

Метод индивидуального варианта

Метод Ведлла

Число разбиений отрезка

Значение интеграла

Величина погрешности

Уточненное значение интеграла

16

=1.4587915056927052

=0.00000000000006345

=1.4587915056926417