Дипломная (вкр): Особенности копинг-стратегий личности юношеского возраста и лидерскими качествами

Внимание! Если размещение файла нарушает Ваши авторские права, то обязательно сообщите нам

.        ЭМПИРИЧЕСКОЕ ИССЛЕДОВАНИЕ ОСОБЕННОСТЕЙ КОПИНГ - СТРАТЕГИИ ЛИЧНОСТИ ЮНОШЕСКОГО ВОЗРАСТА ЛИДЕРСКИХ КАЧЕСТВ

3.1    Методика «Самооценка лидерства»

Психолого-педагогическая наука накопила богатый эмпирический и теоретический материал, посвященный лидерству, изучены многие его аспекты. В то же время проведенный теоретический анализ подходов лидерства в психологии показывает, что некоторые вопросы требуют дальнейшей проработки и более детального рассмотрения: традиционные подходы к исследованию лидерства не дают полных представлений о влиянии лидерства и его эффективность, также нет универсальной модели лидерства, объясняющей природу данного феномена [33, с. 123 - 126].

Нами была поставлена общая цель исследования: изучить особенности проявления лидерских качеств в юношестве.

В опытно-поисковом исследовании приняли участие на выборке 100 студентов 1-2 курса (56 % - девушки и 44 % - мужчин) на базе «Мозырского государственного педагогического университета имени И.П. Шамякина» и «Мозырского государственного медицинского колледжа».

Испытуемым предъявлялась следующая диагностическая методика тест-анкета «Самооценка лидерства» [Приложение 1];

Результаты теста-анкеты «Самооценка лидерства» представим в таблице 3.1.

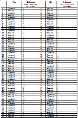
Таблица 3.1 - Результаты теста-анкеты «Самооценка лидерства»

Пол

Количество баллов

Уровень

Пол

Количество баллов

Уровень

1

Женский

6

Средний

51

Женский

8

Высокий

2

Женский

8

Высокий

52

Женский

7

Высокий

3

Мужской

3

Низкий

53

Мужской

5

Средний

4

Женский

7

Высокий

54

Женский

9

Высокий

5

Мужской

6

Средний

55

Мужской

10

Высокий

6

Мужской

10

Высокий

56

Мужской

3

Низкий

7

Женский

5

Средний

57

Женский

5

Средний

8

Мужской

4

Средний

58

Женский

8

Высокий

9

Мужской

2

Низкий

59

Мужской

9

Высокий

10

Мужской

3

Низкий

60

Мужской

6

Средний

11

Мужской

4

Средний

61

Мужской

5

Средний

12

Женский

9

Высокий

62

Мужской

4

Средний

13

Женский

7

Высокий

63

Мужской

9

Высокий

14

Женский

8

Высокий

64

Мужской

8

Высокий

15

Женский

7

Высокий

65

Женский

8

Высокий

16

Женский

10

Высокий

66

Женский

9

Высокий

17

Мужской

4

Средний

67

Женский

10

Высокий

18

Женский

8

Высокий

68

Мужской

4

Средний

19

Мужской

7

Высокий

69

Мужской

2

Низкий

20

Мужской

2

Низкий

70

Женский

8

Высокий

 21

Женский

2

Низкий

71

Мужской

3

Низкий

22

Женский

4

Средний

72

Мужской

10

Высокий

23

Мужской

10

Высокий

73

Мужской

5

Средний

24

Женский

4

Средний

74

5

Средний

25

Женский

6

Средний

75

Мужской

6

Средний

26

Женский

10

Высокий

76

Мужской

7

Высокий

27

Мужской

10

Высокий

77

Мужской

7

Высокий

28

Мужской

5

Средний

78

Мужской

8

Высокий

29

Мужской

4

Средний

79

Женский

9

Высокий

30

Мужской

4

Средний

80

Женский

8

Высокий

31

Мужской

8

Высокий

81

Женский

9

Высокий

32

Мужской

7

Высокий

82

Мужской

5

Средний

33

Женский

8

Высокий

83

Мужской

3

Низкий

34

Женский

7

Высокий

84

Женский

7

Высокий

35

Женский

10

Высокий

85

Мужской

2

Низкий

36

Мужской

4

Средний

86

Мужской

7

Средний

37

Мужской

2

Низкий

87

Мужской

3

Низкий

38

Женский

8

Высокий

88

Женский

8

Высокий

39

Мужской

3

Низкий

89

Женский

9

Высокий

40

Мужской

6

Средний

90

Женский

10

Высокий

41

Мужской

2

Низкий

91

Женский

9

Высокий

42

Женский

8

Высокий

92

Женский

8

Высокий

43

Мужской

6

Средний

93

Мужской

2

Низкий

44

Мужской

7

Высокий

94

Мужской

5

Средний

45

Женский

6

Средний

95

Мужской

3

Низкий

46

Мужской

5

Средний

96

Женский

7

Средний

47

Мужской

3

Низкий

97

Женский

9

Высокий

48

Мужской

3

Низкий

98

Мужской

8

Низкий

49

Женский

7

Высокий

99

Женский

9

Высокий

50

Женский

10

Высокий

100

Мужской

6

Средний


Рассмотрим результаты теста-анкеты «Самооценка лидерства» в виде диаграммы (рисунок 3.1).

Рисунок 3.1 - Результаты теста-анкета «Самооценка лидерства»

При анализе таблицы 3.1 и рисунка 3.1 можно сделать вывод, что при прохождении теста-анкеты «Самооценка лидерства» половина респондентов характеризуются высоким уровнем самооценки лидерства, проявляемый при совместной деятельности.

Можно сделать вывод, что из всех исследуемых высокую самооценку лидера имеют 49 % респондентов, для них свойственно высокое положение в своем учебном коллективе, данные респонденты легко устанавливают межличностные контакты и пользуются симпатиями у своих одногруппников. В коллективе данные респонденты имеют статус лидера или социометрической звезды. Средний социометрический статус имеют 32 % респондентов, данный показатель свидетельствует о том, что одногруппники предпочитают общаться с ними и охотно принимают их в свои микрогруппы. Чаще всего респондентам со средним социометрическим статусом в группе отводится роль предпочитаемого или принимаемого. Оставшихся 19 % респондентов имеют низкий социометрический статус, данный факт свидетельствует о том, что этим юношам не удалось завоевать авторитета в своей группе. Одногруппники либо пренебрегают общением с данной группой лиц, либо абсолютно изолируют их от себя.

Рисунок 3.2 - Результаты теста-анкеты «Самооценка лидерства» с точки зрения пола

Рисунок 3.3 - Результаты уровень самооценки респондентов - девушек по тесту «Самооценка лидерства»

Рисунок 3.4 - Результаты уровень самооценки респондентов - парней по тесту «Самооценка лидерства»

Проанализируем результаты теста «Самооценка лидерства» с точки зрения количества мужчин и женщин обладающих высокой, средней и низкой самооценкой соответственно, представим их в виде рисунка 3.2. Таким образом, респонденты-девушки обладают в основном, высокой самооценкой (рисунок 3.3), уровень самооценки респондентов - парней, рассмотрим на рисунке 3.4, таким образом, 43 % опрошенных обладают высоким уровнем самооценки, 32 % - низким уровнем и 25 % - средним.

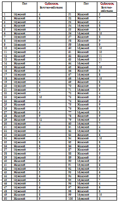
2.3    Тест «Лидеры бывают разные»

Также было проведено еще дно опытно-поисковое исследование, в котором приняли участие на выборке 100 студентов 1-2 курса (50 % - девушки и 50 % - мужчин) на базе «Мозырского государственного педагогического университета имени И.П. Шамякина» и «Мозырского государственного медицинского колледжа».

Испытуемым предъявлялась следующая диагностическая методика тест-анкета «Лидеры Бывают разные» [Приложение 2 ];

Результаты проведенного теста представим в таблице 3.2.

Таблица 3.2 - Результаты теста « Лидеры бывают разные»


Рисунок 3.5 - Результаты теста-анкета «Лидеры бывают разные»

Результаты тест-анкета «Лидеры бывают разные»

Таким образом, результаты делятся на три группы:

от 0 до 49 очков, в данном случае ответы характерны для «психологического ужа». Такие респонденты способны проглотить любой упрек, даже если это и необязательно; всем пожертвовать, хотя этого никто не требует. Часто, чувствуя собственное бессилие, данные респонденты способны на… решительный поступок. Испытывая беспомощность - ищет в других недостающие вам черты характера. И в этом находите смысл и надежду на лучшую для вас жизнь. При проведении такой диагностической методики нами не было выявлено ни одного респондента, набравшего от 0 до 49 очков;

от 50 до 99 очков гармония и решительность, мудрость и расчет, умение дать добрый совет - вот ваши главные достоинства. Если необходимо - руководите, если нужно - уступите, всегда принимая во внимание чужое мнение и желание. Но только вам известно, всегда ли добиваетесь цели достойными средствами. При проведении такой диагностической методики нами было выявлено 35 респондентов, набравших от 50 до 99 очков;

от 100 до 150 очков - образ великого диктатора, который считает, что знает, как есть и должно быть. И такому поведению вы легко находите оправдание. Вы умеете убеждать и руководить другими, заставлять выполнять работу в срок. Но иногда что-то в тоне, взгляде, жесте ваших подчиненных говорит: «Дай передохнуть! При проведении такой диагностической методики нами было выявлено5 респондентов, набравших от 100 до 99 очков.

Представлены результаты проведенного исследования на рисунке 3.5 и 3.6.

Таким образом, видно, что большинство респондентов, которые были нами анкетированы, набрали от 50 до 99 очков, что свидетельствует о том, что у большей части данной аудитории не выражаются явные лидерские качества, указанные лица не стремятся к лидерству, однако все же у нескольких респондентов были выявлены явные лидерские качества.

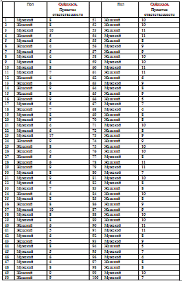
3.3    Методика «Индикатор копинг-стратегий (д. Амирхан)»

Также было проведено исследование по методике Индикатор копинг-стратегий (д. Амирхан), в котором приняли участие студенты 1-2 курса «Мозырского государственного педагогического университета имени И.П. Шамякина» и «Мозырского государственного медицинского колледжа» [Приложение 3].

Методика Д. Амирхана, предназначена для диагностики базисных копинг- стратегий поведения используемых индивидом для преодоления стрессовых ситуаций. Методика «Индикатор копинг-стратегий», разработанная на основе факторного анализа. Теоретическим основанием методики является представление, что поведение людей в ситуации психологического стресса можно описать в трех группах:

-  стратегия разрешения проблем - это способность использовать все личностные ресурсы в стрессовой ситуации.

-       стратегия поиска социальной поддержки - это способность активного поиска социальной поддержки в стрессовой ситуации.

-       стратегия избегания - способность человека уходить от решения надвигающихся проблем путем избегания проблемной ситуации. автор методики выделял пассивный и активный способ избегания проблемной ситуации.

Стратегия избегающего поведения, по мнению автора методики, характерна для поведения дезадаптированного индивида, находящегося на более низком уровне развития.

Амирхан характеризовал совладающее поведение, как наиболее эффективное использование комбинации из трех описанных копинг-стратегий, в зависимости от стрессовой ситуации.

Методика предназначена для диагностики доминирующих копинг-стратегий личности [34, c. 554-556.].

Рассмотрим результаты данного исследования. Результаты теста представим в таблице 3.3 и на рисунке 3.6 и 3.7.

Таблица 3.3 - Результаты методики Индикатор копинг-стратегий (д. Амирхан) - «Разрешение проблем»

Пол

Разрешение проблем

Поиск социальной поддержки

Избегание проблем

Пол

Разрешение проблем

Поиск социальной поддержки

Избегание проблем

1

Мужской

14

10

13

51

Женский

30

25

36

2

Женский

19

17

21

52

Женский

19

20

14

3

Мужской

27

21

24

53

Женский

14

10

13

4

Женский

17

18

26

54

Мужской

18

25

24

5

Мужской

28

30

29

55

Женский

25

30

18

6

Женский

25

30

27

56

Мужской

15

20

19

7

Мужской

15

17

19

57

Женский

16

20

30

8

Мужской

25

30

16

58

Женский

26

28

22

9

Мужской

16

19

32

59

Мужской

17

29

27

Мужской

18

25

24

60

Мужской

25

30

15

11

Мужской

25

30

18

61

Женский

16

19

32

12

Женский

15

20

19

62

Женский

25

30

15

13

Женский

16

20

30

63

Мужской

17

19

26

14

Женский

32

28

15

64

Мужской

30

25

36

15

Женский

30

24

27

65

Женский

19

20

14

16

Женский

18

26

27

66

Женский

14

10

13

17

Мужской

25

30

15

67

Мужской

18

25

24

18

Женский

17

19

26

68

Мужской

25

24

18

19

Мужской

30

25

36

69

Женский

30

14

20

20

Мужской

19

20

14

70

Женский

14

18

30

21

Мужской

25

24

18

71

Мужской

26

28

22

22

Мужской

30

14

20

72

Женский

17

29

27

23

Мужской

14

18

30

73

Женский

25

30

15

24

Женский

26

28

22

74

Женский

17

19

26

25

Женский

17

29

27

75

Женский

30

25

36

26

Женский

25

30

15

76

Женский

19

20

14

27

Женский

17

19

26

77

Мужской

14

23

21

28

Женский

30

25

36

78

Женский

14

10

13

29

Женский

19

20

14

79

Мужской

19

17

21

30

Мужской

14

10

13

80

Мужской

27

21

24

31

Мужской

19

17

21

81

Мужской

17

18

26

32

Мужской

27

21

24

82

Мужской

28

30

29

33

Мужской

17

18

26

83

Женский

14

10

13

34

Женский

28

30

29

84

Женский

19

17

21

35

Мужской

18

25

24

85

Женский

27

21

24

36

Женский

26

28

22

86

Женский

17

18

26

37

Мужской

17

29

27

87

Женский

28

30

29

38

Мужской

25

30

15

88

Женский

25

30

27

39

Мужской

16

19

32

89

Женский

15

17

19

40

Женский

18

25

24

90

Мужской

25

30

16

41

Женский

25

30

18

91

Мужской

16

19

32

42

Мужской

15

20

19

92

Мужской

18

25

24

43

Женский

14

10

13

93

Мужской

25

30

18

44

Мужской

19

17

21

94

Женский

15

20

19

45

27

21

24

95

Мужской

16

20

30

46

Мужской

17

18

26

96

Мужской

32

28

15

47

Мужской

28

30

29

97

Женский

30

24

27

48

Мужской

18

25

24

98

Женский

18

26

27

49

Женский

25

30

15

99

Мужской

25

30

15

50

Женский

17

19

26

100

Мужской

17

19

26


Источник: собственная разработка автора

Рисунок 3.6 - Результаты методики Индикатор копинг-стратегий (д. Амирхан) - «Разрешение проблем»

Рисунок 3.7 - Результаты методики Индикатор копинг-стратегий (д. Амирхан) - «Поиск социальной поддержки»

Рисунок 3.8 - Результаты методики Индикатор копинг-стратегий (д. Амирхан) - «Избегают проблемы»

Рисунок 3.9 - Результаты методики Индикатор копинг-стратегий (д. Амирхан)

Таким образом, исходя из исследования у большинства опрошенных средний уровень разрешения проблем, что говорит о использовании личностных качеств в стрессовой ситуации, также у многих наблюдается стратегия разрешения проблемы как поиск социальной поддержки в стрессовой ситуации.

Результаты методики показывают, что 40 % респондентов обладают средним и низким уровнем разрешения проблем, соответственно в данном случае большинство опрошенных используют активную поведенческую стратегию, при которой человек старается использовать все имеющиеся у него личностные ресурсы для поиска возможных способов эффективного разрешения проблемы.

Также большинство опрошенных студентов используют стратегию поиска социальной поддержки - это активная поведенческая стратегия, при которой человек для эффективного разрешения проблемы обращается за помощью и поддержкой к окружающей его среде: семье, друзьям, значимым другим, это подтверждает рисунок 3.7.

Стратегия избегания - это поведенческая стратегия, при которой человек старается избежать контакта с окружающей его действительностью, уйти от решения проблем (рисунок 3.8.)

3.4    Методика Копинг-тест Лазаруса

Также нами была проведена методика Копинг-тест Лазаруса. Данная методика предназначена для определения копинг-механизмов в когнитивной, эмоциональной и поведенческой сферах. Методика состоит из восьми шкал, содержащих 50 утверждений, отражающих способы преодоления трудностей в трех основных сферах психической, эмоциональной и поведенческой [Приложение 4, Приложение 5].

С помощью программы SPSS методом корреляционного анализа Спирмена были выявлены корреляционные взаимосвязи результатов исследования у студентов.

.   Установлена прямая слабая корреляционная связь между конфронтационным копингом и неврастеничностью, спонтанной агрессивностью, депрессивностью, раздражительностью, эмоциональной лабильностью, а также мускулизмом-фиминизмом с коэффициентом корреляции R= 0,127, R= 0,282, R= 0,298, R= 0,291, R= 0,270, R= 0,250 соответственно, таким образом, чем выше неврастеничность, спонтанная агрессивность, депрессивность, раздражительность, эмоциональной лабильность, а также мускулизмом-фиминизмом тем выше конфронтационный копинг.

2.      Установлена прямая средняя корреляционная связь между конфронтационным копингом и реактивной агрессивностью, открытостью с коэффициентом корреляции R= 0,355, R= 0,337 соответственно, таким образом, чем выше неврастеничность, спонтанная агрессивность тем выше конфронтационный копинг.

.        Установлена обратная корреляционная связь между конфронтационным копингом и уравновешенностью с коэффициентом корреляции R= -0,135, таким образом, чем выше уравновешенность, тем меньше конфронтационный копинг.

.        Установлена прямая слабая корреляционная связь между дистанционированием и неврастеничностью, раздражительностью, эмоциональной лабильностью и общительностью с коэффициентом корреляции R= 0,242, R= 0,261, R= 0,213, R= 0,052 соответственно, таким образом, чем выше неврастеничность, раздражительность, эмоциональная лабильность и общительность тем выше дистанционирование.

.        Установлена прямая средняя корреляционная связь между дистанционированием и спонтанной агрессивностью, реактивной агрессивностью, открытостью с коэффициентом корреляции R= 0,326, R= 0,318, R= 0,350 соответственно, таким образом, чем выше спонтанная агрессивность, реактивная агрессивность, открытость тем выше дистанционирование.

.        Установлена обратная корреляционная связь между поиском социальной поддержки и реактивной агрессивностью с коэффициентом корреляции R= -0,014, соответственно, таким образом, чем выше реактивная агрессивность, тем меньше поиск социальной поддержки.

.        Установлена прямая средняя корреляционная связь между принятием ответственности и неврастеничностью, спонтанной агрессивностью, депрессивностью, раздражительностью, открытостью, эмоциональной лабильностью с коэффициентом корреляции R= 0,426, R= 0,339, R= 0,379, R= 0,392, R= 0,372, R= 0,370 соответственно, таким образом, чем выше неврастеничность, спонтанная агрессивность, депрессивность, раздражительность, открытость, эмоциональная лабильность тем выше принятие ответственности.

.        Установлена обратная корреляционная связь между принятием ответственности и общительностью, мускулизмом-фиминизмом и уравновешенностью с коэффициентом корреляции R= -0,041, R= -0,050, R= -0,064 соответственно, таким образом, чем выше общительность, мускулизм-фиминизм и уравновешенность тем меньше принятие ответственности.

.        Установлена прямая средняя корреляционная связь между бегством-избеганием и неврастеничностью, спонтанной агрессивностью, депрессивностью, раздражительностью, эмоциональной лабильностью с коэффициентом корреляции R= 0,313, R= 0,407, R= 0,323, R= 0,276, R= 0,385 соответственно, таким образом чем выше неврастеничность, спонтанная агрессивность, депрессивность, раздражительность, эмоциональная лабильность тем выше бегство-избегание.

.        Установлена обратная корреляционная связь между бегством-избеганием и общительностью и уравновешенностью с коэффициентом корреляции R= -0,135, R= -0,059 соответственно, таким образом, чем выше общительность и уравновешенность, тем меньше бегство-избегание.

.        Установлена прямая средняя корреляционная связь между планированием решения проблемы и реактивной агрессивностью с коэффициентом корреляции R= 0,256 таким образом чем выше реактивная агрессивность тем выше планирование решения проблемы.

.        Установлена обратная корреляционная связь между планированием решения проблемы и застенчивостью с коэффициентом корреляции R= -0,061 таким образом чем выше застенчивость тем меньше планирование решения проблемы.

.        Установлена прямая средняя корреляционная связь между положительной переоценкой и открытостью с коэффициентом корреляции R= 0,273 таким образом чем выше открытость тем выше положительная переоценка.

Таким образом, было выявлено, были выявлены взаимосвязи между личностными особенностями и копинг-стратегией.

Прямая корреляционная связь найдена между конфронтационным копингом и неврастеничностью, спонтанной агрессивностью, депрессивностью, раздражительностью, эмоциональной лабильностью, а также мускулизмом-фиминизмом, реактивной агрессивностью, открытостью; между дистанционированием и неврастеничностью, раздражительностью, эмоциональной лабильностью и общительностью, спонтанной агрессивностью, реактивной агрессивностью, открытостью; между принятием ответственности и неврастеничностью, спонтанной агрессивностью, депрессивностью, раздражительностью, открытостью, эмоциональной лабильностью; между бегством-избеганием и неврастеничностью, спонтанной агрессивностью, депрессивностью, раздражительностью, эмоциональной лабильностью; между планированием решения проблемы и реактивной агрессивностью; между положительной переоценкой и открытостью.

Обратная корреляционная связь установлена между принятием ответственности и общительностью, мускулизмом-фиминизмом и уравновешенностью, между планированием решения проблемы и застенчивостью, между бегством-избеганием и общительностью и уравновешенностью, между поиском социальной поддержки и реактивной агрессивностью, между конфронтационным копингом и уравновешенностью, однако в большинстве случаев обратная связь достаточно слабая.

Таким образом, нами были проведены методики:

)     Тест «Самооценка лидерства», по результатам которой можно сделать вывод, что из всех исследуемых высокую самооценку лидера имеют 49 % респондентов, для них свойственно высокое положение в своем учебном коллективе, данные респонденты легко устанавливают межличностные контакты и пользуются симпатиями у своих одноклассников.

2)      Тест «Лидеры бывают разные», результаты которой свидетельствуют о том, что большинство респондентов, которые были нами анкетированы, набрали от 50 до 99 очков, что говорит о том, что у большей части данной аудитории не выражаются явные лидерские качества, указанные лица не стремятся к лидерству, однако все же у нескольких респондентов были выявлены явные лидерские качества.

3)   Методика «Индикатор копинг-стратегий (д. Амирхан)», большинства опрошенных средний уровень разрешения проблем, что говорит о использовании личностных качеств в стрессовой ситуации, также у многих наблюдается стратегия разрешения проблемы как поиск социальной поддержки в стрессовой ситуации.

4)      Методика Копинг-тест Лазаруса, где были выявлены прямые и обратные зависимости копинг-стратегий с личностными особенностями.

4. РАЗРАБОТКА РЕКОМЕНДАЦИЙ, КОТОРЫЕ БУДУТ НАПРАВЛЕНЫ НА ВЫЯВЛЕНИЯ ЛИДЕРСКИХ КАЧЕСТВ В ЮНОШЕСКОМ ВОЗРАСТЕ

Выявление лидерских качеств в юношеском возрасте можно определить как целенаправленное формирование и развитие соответствующих качеств и навыков. Подобные правоотношения в той или иной степени учитывают возможности выявления и формирования лидерских способностей посредством обучения и самообучения [35, c. 22 - 24].

Для развития лидерства используется ряд нижеследующих процедур:

-       выработка личной мотивации, устойчивого желания быть лидером, уверенности в себе, готовности принимать решения и брать на себя ответственность, последовательности и упорства в реализации общих целей, осознания собственной силы, веры в достижение цели, энтузиазма и т. п.;

-       развитие индивидуальных интеллектуальных и нравственных лидерских качеств;

-       обеспечение социальной компетентности лидера и его доброжелательности в отношениях с членами группы. Это предполагает культуру общения, умение ясно и четко выражать мысли, корректно выслушивать сотрудников, делать замечания, давать советы, внимательность, уважение достоинства других людей, умение понимать их, проникаться их заботами и проблемами, оказывать им поддержку и т. п.;

-       приобретение умения и навыков быстро и правильно оценивать ситуацию, знать и учитывать особенности, интересы, запросы и ожидания всех членов группы [36, c. 13 - 15].

Также необходимо отметить, что на формирование психологической готовности к лидерской деятельности в юношеском возрасте» необходимо целенаправленное влияние со стороны подготовленных взрослых на актуализацию лидерского потенциала.

Педагог, будь он воспитателем или учителем, классным руководителем или директором школы, наряду с психологом должен помочь развитию лидерского потенциала, зная возрастные особенности и закономерности развития лидерской деятельности.

Для адекватного воздействия со стороны психологов и педагогов на формирование психологической готовности к лидерской деятельности необходимо воспользоваться параметрами лидерства; сгруппировать их по «блокам», согласно структуре лидерской деятельности [35, c. 22 - 26].

Первый блок «Формирование мотивационно-потребностного звена».

Направлен на самоидентификацию: осознание ценности своей личности, своего

«Я», формирование положительного отношения к себе, мотивация на личностные изменения, стремление к саморазвитию, осознание себя «активным деятелем в среде».

Второй блок «Формирование исполнительного звена». Исполнительное звено помимо стиля деятельности включает знания, умения и навыки. В контексте обсуждения и проработки упражнений в памяти фиксируется блок теоретической информации о психологических закономерностях развития межличностных отношений, о развитии личностного потенциала, формируются навыки эффективного взаимодействия. Таким образом, человек научается планировать свою деятельность и деятельность группы, познавать самого себя и окружающих, оказывать управляющее воздействие.

Третий блок «Формирование контрольно-оценочного звена». Это снова формирование умений, но умений оценивать себя, свои возможности, сильные и слабые стороны своей личности, на основе полученных данных составлять программу развития. Умение принять оценку других, сопоставить с самооценкой, вывести противоречия, учесть их и скорректировать программу развития. Умение дать адекватную, беспристрастную оценку другим [37, c. 274 - 275].

Схематично психолого-педагогическое воздействие на формирование психологической готовности к лидерской деятельности отражено на рис.4.1.

Рисунок 4.1 - Оказание психолого-педагогического воздействия на формирование психологической готовности к лидерской деятельности

Таким образом, педагоги и психологи могут осуществлять целенаправленное влияние на формирование психологической готовности к лидерской деятельности. Данная помощь возможна на основе знаний о структуре лидерской деятельности, об особенностях принятия ответственности (локус контроле личности).

Исходя из всего вышеперечисленного, психологи и педагоги могут (за счет специально разработанных тренингов):

-  оказать помощь при осознании лидерских мотивов и потребностей;

-       направить лидерскую активность личности;

-  организовать лидерскую деятельность личности на I этапе, постепенно передав всю ответственность за поступки непосредственно самой личности;

-  помочь в отработке навыков лидерской деятельности;

-   дать обратную связь и научить ее принимать для формирования адекватной самооценки себя как лидера.

В теоретической и эмпирической части были рассмотрены особенности структуры лидерской деятельности, необходимость целенаправленного психолого-педагогического воздействия на становление личности в юношеском возрасте.

Потребность создания и реализации технологии формирования психологической готовности к лидерской деятельности подтверждена результатами констатирующего эксперимента.

Данный вид работы необходим для полноценного понимания структурной организации лидерской деятельности, как со стороны психологов, так и педагогов, которые непосредственно работают с юношеством и оказывают влияние на развитие личности.

Базовым фундаментом технологии стал деятельностный подход, который рассматривает становление личности в процессе ее движения в системе социальных отношений, осуществляемого в деятельности и общении. Сообразно деятельностному подходу, создаются условия и формируются необходимые характеристики, которые апробируются в реальном процессе общения и деятельности.

Для выявления лидерских качеств, считаем целесообразным проведение тренинга «Лидер в каждом из нас».

Основной целью реализации предложенной технологии является повышение уровня психологической готовности к реализации лидерской деятельности за счет сформированности компонентов структуры и учета влияния факторов субъективного контроля

Формой реализации технологии является личностно-ориентированный психологический тренинг как метод преднамеренных прогрессивных изменений человека через приобретение, анализ и переоценку им своего жизненного опыта в процессе группового взаимодействия.

Психологическим механизмом формирования психологической готовности к лидерской деятельности является перевод лидерской деятельности из потенциальной формы в актуальную или маргинальную, за счет актуализации и развития параметров структуры и повышения показателей по факторам интернальности в пределах нормы.

Мишенью воздействия тренинга стали мотивационно-ориентировочная, исполнительная и контрольно-оценочная составляющие структуры деятельности.

Принцип организации работы тренинговой группы работа со своей личностью (личностный рост), работа в команде, постоянное получение обратной связи.

Тренинг направлен на поэтапное решение следующих основных задач:

. Выработать мотивацию и стремление к лидерству.

. Сформировать лидерское мировоззрение.

. Развить профессионально-управленческие и социально-психологические качества участников, повышающие их успешность как руководителей и лидеров.

. Сформировать положительный опыт лидерского поведения участников в моделируемых ситуациях профессиональной деятельности.

. Создать и закрепить положительный опыт лидерского взаимодействия организационных лидеров учебных групп с одногруппниками.

Структуру разработанного тренинга «Лидер в каждом из нас» можно разделить на следующие блоки:

1) Личностный модуль направлен на формирование у участников мотивации и стремления к лидерству, лидерского мировоззрения и лидерской Я-концепции, повышение уровня моральной нормативности и социализации, а также на развитие межличностной чувствительности и коммуникативной компетентности, способности учитывать в деятельности как интересы группы, так и отдельных ее членов.

2)      Организационно-лидерский модуль проводится с учебной группой и направлен на формирование в моделируемых ситуациях опыта управленческого взаимодействия организационных лидеров с подчиненными и закрепление их лидерского образа в глазах одногруппников.

Рассмотрим поэтапно тренинг «Лидер в каждом из нас».

Первый этап «Вступление».

Данный этап направлен на создание благоприятных условий для работы в группе, первичное освоение приемов самоанализа, самодиагностики и способов самораскрытия. Формирование интереса и мотивации к посещению дальнейших занятий.

Обсуждение правил тренинга:

. Конфиденциальность (не разглашение) т.е. все, что было на тренинге остается внутри группы и не выносится за ее пределы.

. Искренность.

. Правило времени (приходим вовремя, не опаздываем, заканчиваем по команде ведущего).

. Правило «СТОП» (останавливаемся по требованию ведущего).

. Правило «Активное участие в группе».

. Правило «Добровольного участия».

. Правило «Общение на «ТЫ» или по имени».

. Правило «Ненасилия» (никогда не бить).

Второй этап «Знакомство».

Данный этап направлен на знакомство участников друг с другом.

Участники разбиваются на пары. Дается 10 минут на то, чтобы, рассказать друг другу о себе как можно подробнее - ведь вам предстоит представлять своего партнера группе. Предполагаемые вопросы:

-  что я жду от работы в тренинге;

-       что я ценю в самом себе;

-       предмет моей гордости;

-       что я умею делать лучше всего;

-       что вас объединяет с вашим партнером.

Затем каждый участник представляет своего партнера группе.

Следующим упражнением будет.

Каждому участнику предлагается составить список его безусловно ценных качеств. В него можно внести какие-то из перечисленных ниже пунктов:

Я хороший друг.

Я достиг кое-чего в жизни.

Я помогаю людям.

Я хочу добиться успеха.

Я признаю свои ошибки.

Я стараюсь не совершать больше ошибок, которые

делал прежде.

Я стараюсь жить в нравственной чистоте и быть добрым к людям.

Я довольно привлекателен.

Я талантлив в некоторых областях.

Я стал лучше понимать себя.

По окончании участники зачитывают написанные ими качества.

Третий этап «Лидерский модуль».

Упражнение направлено на формирование представлений участников о лидерских качествах.

Упражнение «Качества лидера».

Описание процедуры.

Упражнение состоит из трех этапов.

На первом этапе каждому участнику предлагается индивидуально составить список из семи наиболее важных качеств, которыми, по его мнению, необходимо обладать человеку, чтобы стать лидером. Время выполнения - 5 минут. Затем каждый участник зачитывает свой список группе.

На втором этапе группе предлагается коллегиально, руководствуясь принципом достижения согласия, проанализировать все прозвучавшие качества и определить пять наиболее значимых качеств для лидера курсантской группы. Окончательный список качеств зачитывается ведущему и обосновывается участниками.

На третьем этапе каждому участнику предлагается по пятибалльной шкале оценить степень развитости выделенных группой лидерских качеств лично у него.

Результаты зачитываются группе.

Пояснение Упражнение подготавливает группу к информированию, в процессе которого ведущий кратко знакомит участников с основными идеями ситуационного и поведенческого подходов исследования лидерства, а также с различными моделями лидерских качеств организационного лидера.

Ознакомление участников тренинга с качествами, необходимыми для успешного выполнения лидерских функций, повышает их мотивацию к саморазвитию этих качеств.

Упражнение «Чувство успеха»

Упражнение направлено на работу с чувством успеха. Также его можно использовать для завершения занятия.

Описание процедуры

Участникам предлагается встать в круг. Выбирается первый доброволец, желающий почувствовать успех. Доброволец выходит в центр круга, остальные участники бурно ему аплодируют. Это продолжается ровно столько, сколько захочет одариваемый аплодисментами участник. После этого он благодарит группу (говорит «спасибо», кланяется и т. п.) и возвращается в круг. Далее выходит следующий участник.

Этап третий «Организационно-лидерский модуль».

Упражнение «Топь»

Описание процедуры

На полу мелом или с помощью клейкой ленты проводятся две линии на расстоянии 10 м друг от друга. Между ними равномерно раскладываются 6-8 листков бумаги размера А-4.

Ведущий дает следующую инструкцию:

«Представьте, что путь вашей группе преградила непроходимая трясина, условно обозначенная линиями на полу.

Вам необходимо перебраться на противоположный берег. Ваша задача - преодолеть преграду. Листами обозначены устойчивые островки. При этом необходимо соблюдать следующие правила:

к началу выполнения упражнения все игроки должны стоять за стартовой чертой, а в конце - за финишной;

в процессе преодоления препятствия наступать можно только на островки, обозначенные листами бумаг;

во время переправы все участники должны так или иначе держаться друг за друга;

• в каждый момент времени на островке обязательно должна стоять как минимум одна нога участника. Если окажется, что хоть секунду на островке никто не стоит, то островок тонет;

• если участник коснется болота вне островка (упадет или заступит), то участник признается «затянутым в трясину», а группа считается не справившейся с упражнением и возвращается на исходную позицию;

• перед началом выполнения упражнения вам вместе с группой необходимо выработать вариант решения задания».

Пояснение Основная роль ведущего на протяжении выполнения упражнения заключается в оказании юношам консультативной помощи в поиске решения поставленной задачи. Все взаимодействие с учебной группой ведущему необходимо осуществлять через младших командиров, подчеркивая этим их лидерскую позицию в группе.

После каждой неудачной попытки выполнения упражнения ведущий предлагает юношам рассадить группу в круг. Он помогает им организовать обсуждение причин неудачи и продумать новую стратегию решения задачи. В процессе обсуждения ведущему полезно обратить внимание группы на необходимость слаженных действий во время «переправы», четкого соблюдения выработанных инструкций и подаваемых юношам команд, а также взаимоподдержки участников.

После удачной попытки выполнения упражнения ведущий также предлагает юношам рассадить группу в круг, провести обсуждение и обменяться впечатлениями.

Пояснение.

Упражнение можно усложнять расширением трясины или уменьшением количества островков.

Для того чтобы придать упражнению большую эффективность, а также избежать оспаривания фактов отрыва ноги от островков, можно сделать следующее.

К листкам-островкам скрепкой прикрепляются резинки, вторые концы которых закрепляются в стороне.

Листки укладываются на пол таким образом, чтобы резинки были слегка натянуты. На каждый из них предлагается встать по одному участнику. После этого объявляется о начале выполнения упражнения. В результате, если окажется, что на островке хоть одно мгновенье никто не стоит, то листик улетит и всем будет понятно, что этого островка у них больше нет. Хотя у группы все же остается шанс успешно выполнить упражнение.

Таким образом, выявления лидерских качеств в юношеском возрасте формирование и развитие соответствующих качеств и навыков. Для развития лидерства используется ряд нижеследующих процедур:

-  выработка личной мотивации, устойчивого желания быть лидером, уверенности в себе, развитие индивидуальных интеллектуальных и нравственных лидерских качеств;

-       обеспечение социальной компетентности лидера и его доброжелательности в отношениях с членами группы;

-       приобретение умения и навыков быстро и правильно оценивать ситуацию, знать и учитывать особенности, интересы, запросы и ожидания всех членов группы.

Однако также необходимо учитывать, что юношество, находясь в системе образования, нуждается в своевременной и грамотной помощи со стороны взрослых для реализации свои потенциальных способностей (в том числе и лидерских). Лидерская деятельность при этом выступает как возможность грамотной самореализации на данном возрастном этапе, как проба себя перед вступлением во взрослую жизнь.

Разработана психолого-педагогическая технология формирования лидерской деятельности в юношеском возрасте «Лидер в каждом из нас», которая может быть использована при работе педагогов-психологов в образовательных учреждениях, при разработке учебных программ для психологов и менеджеров, а также непосредственно в работе менеджеров.

ЗАКЛЮЧЕНИЕ

В ходе проведенного исследования было выявлено:

1) ни в научной и методической литературе в достаточной мере не разработаны технологии формирования лидерских качеств в воспитательном процессе, в частности в период обучения молодого человека в старших классах обучения в школе либо в высшем учебном заведении (в юности).

2)      целесообразно выделить следующие компоненты лидерских качеств с определением в них признаков, которые, по нашему мнению, обеспечивают эффективное лидерство юношей и которые условно можно разделить на: мотивационный (признаки: уверенность в себе, потребность в достижении, стремление к самоутверждению и самореализации); эмоционально-волевой (признаки: уравновешенность, эмоционально-положительное самочувствие, наличие волевых качеств) личностный (признаки: влияние на других, оригинальное, творческое мышление, комукоммуникативной и организаторские способности); деловой (признаки: умение принимать правильное решение в непредвиденных ситуациях, готовность брать на себя ответственность, знания, умения и навыки организаторской работы), воспитания, где воспитание - это процесс целенаправленного управления формированием и развитием личности в соответствии с требованиями общества;

)        юность является периодом завершения физического созревания и формирования первичной социализации личности. В юности расширяются временные представления, включая будущее, личные и социальные перспективы. Мировоззренческий поиск в юношеском возрасте обусловливает социальную ориентацию личности, способствует осознанию себя частицей, элементом социальной общности, выбору своего будущего социального положения и способов его достижения. Становление социальной зрелости предполагает формирование полоролевых отношений, как основы взаимодействия между мужчиной и женщиной в общественных и семейных отношениях;

)        нами были проведены методики:

-  Тест «Самооценка лидерства», по результатам которой можно сделать вывод, что из всех исследуемых высокую самооценку лидера имеют 49 % респондентов, для них свойственно высокое положение в своем учебном коллективе, данные респонденты легко устанавливают межличностные контакты и пользуются симпатиями у своих одноклассников.

-       Тест «Лидеры бывают разные», результаты кторой свидетельствуют о том, что большинство респондентов, которые были нами анкетированы, набрали от 50 до 99 очков, что говорит о том, что у большей части данной аудитории не выражаются явные лидерские качества, указанные лица не стремятся к лидерству, однако все же у нескольких респондентов были выявлены явные лидерские качества.

-       Методика «Индикатор копинг-стратегий (д. Амирхан)», большинства опрошенных средний уровень разрешения проблем, что говорить о использовании личностных качеств в стрессовой ситуации, также у многих наблюдается стратегия разрешения проблемы как поиск социальной поддержки в стрессовой ситуации.

-       Методика Копинг-тест Лазаруса, где были выявлены прямые и обратные зависимости копинг-стратегий с личностными особенностями.

5) для развития лидерства используется ряд нижеследующих процедур: выработка личной мотивированности, устойчивого желания быть лидером, уверенности в себе, развитие индивидуальных интеллектуальных и нравственных лидерских качеств; обеспечение социальной компетентности лидера и его доброжелательности в отношениях с членами группы; приобретение умения и навыков быстро и правильно оценивать ситуацию, знать и учитывать особенности, интересы, запросы и ожидания всех членов группы.

6)      Разработана психолого-педагогическая технология формирования лидерской деятельности в юношеском возрасте «Лидер в каждом из нас», которая может быть использована при работе педагогов-психологов в образовательных учреждениях, при разработке учебных программ для психологов и менеджеров, а также непосредственно в работе менеджеров.

В заключение работы следует отметить, что изучаемая нами проблема, требует своего дальнейшего теоретического и практического исследования.

СПИСОК ИСПОЛЬЗОВАННЫХ ИСТОЧНИКОВ

1       Возрастная психология: Детство, отрочество, юность : хрестоматия / сост. и науч. ред. В. С. Мухина, А. А. Хвостов. - Москва : Академия, 2000. - 624с

         Басов, М. Я. Избранные психологические произведения / М. Я. Басов; под ред. В. Н. Мясищева. - Москва: Педагогика, 20008. - 432 с.

         Рубинштейн, С. Л. Основы общей психологии / С. Л. Рубинштейн. - Санкт-Петербург [и др.] : Питер : Питер Пресс, 2013. - 705,

         ЛЕОНТЬЕВ, А. Н. Проблемы развития психики. - 4 изд.. - М. : МГУ, 2000. - 584с.

         Яхонтова, Е.С. Основы межличностного лидерства: учебное пособие / Е.С. Яхонтова. - М. : Евразийский открытый институт, 2011. - 215 с.

         Вдовиченко, В. П. От детства к взрослости : Юношество. Социализация. Библиотека: Юношество. Социализация. Библиотека / Вера Петровна Вдовиченко. - Москва: Школьная библиотека, 2006. - 144 с.

         Абрамова, Г. С. Возрастная психология : учебное пособие для вузов / Г. С. Абрамова. - 5-е изд.. - М. : Академический проект, 2005. - 702 с.

         Платонов, К. К. Психология: Учебник для индустр.-пед. техникумов. - Москва : Высшая школа, 2004. - 256 с.

         Психология развития, возрастная психология : для студентов вузов : учебное пособие / С.И. Самыгин, А.В. Волочай, Н.Г. Гончарова, Д.С. Загутин. - Ростов-н/Д : Феникс, 2013. - 224 с.

         Марасанов, Г.И. Социальная компетентность: психологические условия развития в юношеском возрасте / Г.И. Марасанов, Н.А. Рототаева. - М. : Когито-Центр, 2003. - 172 с

         Крайг, Грэйс Психология развития [Текст] / Грэйс Крайг ; науч. ред. перевода Т. В. Прохоренко. - 9-е изд. - СПб. : Питер, 2010. - 940.

         Ермолаева М. В . Психология развития : Методическое пособие для студенто в заочной и дистанционной форм обучения. -2- е изд. - М.:Московски й психолого-социальный институт; Воронеж :Издательство НПО «МОДЭК», 2003. -376с .

         Мандель, Б. Р. Возрастная психология : учебное пособие / Б. Р. Мандель. - Москва : Вузовский учебник : Инфра-М, 2013. - 351 с

         Возрастная и педагогическая психология : Хрестоматия: Учебное пособие для средних учебных заведений / Сост. И. В. Дубровина, А. М. Прихожан, В. В. Зацепин. - М. : Академия, 2006. - 320с.

         Шаповаленко, И. В. Психология развития и возрастная психология: учебник для бакалавров, обучающихся по направлению и специальностям психологии / И. В. Шаповаленко. - 2-е издание, переработанное и дополненное. - Москва : Юрайт, 2013. - 567 с.

         Битянова, М. Р. Социальная психология / М. Р. Битянова. - 2-е изд., доп. и пер.. - Санкт-Петербург : Питер, 2008. - 368 с.

         Вдовиченко, В. П. От детства к взрослости : Юношество. Социализация. Библиотека : Юношество. Социализация. Библиотека / Вера Петровна Вдовиченко. - Москва : Школьная библиотека, 2006. - 144 с..

         Битянова, М. Р. Социальная психология / М. Р. Битянова. - 2-е изд., доп. и пер.. - Санкт-Петербург : Питер, 2008. - 368 с

         МУХИНА, В. С. Возрастная психология: феноменология развития, детство, отрочество : учебник для вузов. - 4 изд., стереотип.. - Москва : Академия, 2006. - 456 с.

         Алтунина, И. Р. Социальная психология : учебник для бакалавров : учебник для студентов высших учебных заведений, обучающихся по направлению "Психология" / И. Р. Алтунина ; под редакцией Р. С. Немова. - 2-е издание. - Москва : Юрайт, 2011. - 427 с.

         Коломинский, Я. Л. Социальная психология развития личности / Я. Л. Коломинский, С. Н. Жеребцов. - Минск : Вышэйшая школа, 2009. - 335, c.

         Психология развития, возрастная психология : для студентов вузов : учебное пособие / С.И. Самыгин, А.В. Волочай, Н.Г. Гончарова, Д.С. Загутин. - Ростов-н/Д : Феникс, 2013. - 224 с.

         Волков, Борис Степанович Психология юности и молодости [Текст] : учебное пособие / Борис Степанович Волков. - М : Академический проект, 2006. - 256.

         Психология развития, возрастная психология : для студентов вузов : учебное пособие / С.И. Самыгин, А.В. Волочай, Н.Г. Гончарова, Д.С. Загутин. - Ростов-н/Д : Феникс, 2013. - 224 с.

         Ванюхина, Н.В. Возрастная психология : учебное пособие : в 2-х кн. / Н.В. Ванюхина ; Институт экономики, управления и права (г. Казань). - Казань : Познание, 2008. - Кн. 1. - 208 с.

         Бейтсон, М. К. Возраст активной мудрости: будущее, которое мы сочиняем / М. К. Бейтсон ; [перевод с англ. И. Ющенко]. - Москва : Карьера пресс, 2013. - 337 с

         Вартанова, И. И. Личность старшеклассника: мотивация и система ценностей / И. И. Вартанова // Вопросы психологии. - 2012. - № 3. - С. 3-11.

         Возрастная и педагогическая психология : Хрестоматия: Учебное пособие для средних учебных заведений / Сост. И. В. Дубровина, А. М. Прихожан, В. В. Зацепин. - М. : Академия, 1998. - 320с

         Лысюк, Л. Г. Моральное самосознание в юношеском возрасте: опасности и возможности развития / Л. Г. Лысюк // Веснік Брэсцкага універсітэта. Серыя гуманітарных і грамадскіх навук. - 2009. - № 3. - С. 69-75

         Лысюк, Л. Г. Представления о взрослости при переходе от подросткового возраста к юношескому / Л. Г. Лысюк // Веснік адукацыі = Вестник образования. - 2015. - № 2. - С. 21-31.

         Казанская, К.О. Детская и возрастная психология : учебное пособие / К.О. Казанская. - М. : А-Приор, 2010. - 160 с.

         Обухова, Л.Ф. Возрастная психология : учебник / Л.Ф. Обухова. - 4-е изд. - М. : Педагогическое общество России, 2004. - 402 с.

         Алтунина, И. Р. Социальная психология : учебник для бакалавров : учебник для студентов высших учебных заведений, обучающихся по направлению "Психология" / И. Р. Алтунина ; под редакцией Р. С. Немова. - 2-е издание. - Москва : Юрайт, 2011. - 427 с,

         Ильин, Е.П. Психология индивидуальных различий.// Е.П. Ильин. - СПб.: Питер, 2004. - С. 554-556

         Андреева, С. В. Педагогические условия формирования лидерских качеств студентов / С. В. Андреева // Высшее образование сегодня. - 2014. - № 3. - С. 22-26.

         Вакула, М. Н. "Школа лидера" как инструмент формирования лидерских качеств : особенности разработки и реализации программ по подготовке лидеров в учреждениях общего среднего и высшего образования / М. Н. Вакула // Народная асвета. - 2015. - № 9. - С. 13-15

         Алтунина, И. Р. Социальная психология : учебник для бакалавров : учебник для студентов высших учебных заведений, обучающихся по направлению "Психология" / И. Р. Алтунина ; под редакцией Р. С. Немова. - 2-е издание. - Москва : Юрайт, 2011. - 427 с.

Адаир Д. Эффективное лидерство. Как развивать и применять лидерские навыки / Д. Адаир Д. - М. : Эксмо , 2010. - 318 с.

Шевандрин Н.И. Социальная психология в образовании: Учебное пособие. Ч.1. Концептуальные и прикладные основы социальной психологии. - М.:ВЛАДОС, 2000.- 544 с.

Берн Э. Лидер и группа: О структуре и динамике организаций и групп / Э. Берн. - Екатеринбург : Литур , 2000. - 319 с

ПРИЛОЖЕНИЕ 1

САМООЦЕНКА ЛИДЕРСТВА

Шкалы: уровень лидерства

НАЗНАЧЕНИЕ ТЕСТА

Данный экспресс-тест позволяет определить актуальный уровень проявления лидерства в совместной деятельности.

Инструкция к тесту

Внимательно прочтите каждое из десяти суждений и выберите наиболее подходящий для вас ответ в буквенной форме. Работая с опросником, помните, что нет ни плохих, ни хороших ответов. Немаловажным фактором является и то, что в своих ответах надо стремиться к объективности и записывать тот ответ, который первым приходит в голову.

ТЕСТ

. Что для вас важнее в игре?

. Победа.

. Развлечение.

. Что вы предпочитаете в общем разговоре?

. Проявлять инициативу, предлагать что-либо.

. Слушать и критиковать то, что предлагают другие.

. Способны ли вы выдерживать критику, не ввязываться в частные споры, не оправдываться?

. Да.

. Нет.

. Нравится ли вам, когда вас хвалят прилюдно?

. Да.

. Нет.

. Отстаиваете ли вы свое мнение, если обстоятельства (мнение большинства) против вас?

. Да.

. Нет.

. В компании, в общем деле вы всегда выступаете заводилой, придумываете что-либо такое, что интересно другим?

. Да.

. Нет

. Умете ли вы скрывать свое настроение от окружающих?

. Да.

. Нет.

. Всегда ли вы немедленно и безропотно делаете то, что вам говорят старшие?

. Нет.

. Да.

. Удается ли вам в разговоре, дискуссии, убедить, привлечь на свою сторону тех, кто раньше был с вами не согласен?

. Да.

. Нет.

. Нравится ли вам учить (поучать, воспитывать, обучать, давать советы) других?

. Да.

. Нет.

ОБРАБОТКА И ИНТЕРПРЕТАЦИЯ РЕЗУЛЬТАТОВ ТЕСТА

Подсчитать общее количество «1» и «2» ответов.

• Высокий уровень лидерства А = 7-10 баллов.

• Средний уровень лидерства А = 4-6 баллов.

• Низкий уровень лидерства А = 1-3 балла.

Преобладание ответов «B» свидетельствует об очень низком или деструктивном лидерстве.

ПРИЛОЖЕНИЕ 2

Тест «И лидеры бывают разные»

Попробуйте проэкзаменовать себя: «да», «нет», «не знаю».

. Уже в детстве необходимость подчиняться другим была для меня проблемой.

А) да Б) нет В) не знаю

. Считаю, что прогресс в науке и культуре немыслим без людей с развитыми потребностями господствовать над другими.

А) да Б) нет В) не знаю

. Думаю, что настоящий мужчина умеет подчинять своей воле женщин.

А) да Б) нет В) не знаю

. Честно говоря, не люблю, когда близкие опекают.

А) да Б) нет В) не знаю

. Согласен с утверждением, что истинная натура женщины - покорность.

А) да Б) нет В) не знаю

. Не все, возможно, догадываются, что «брать все на себя» мне приходится из-за постоянных опасений за благополучие родных.

А) да Б) нет В) не знаю

. По-моему, большинство проблем у нас возникает из-за недостатка лидеров с «железной рукой».

А) да Б) нет В) не знаю

. В трудных ситуациях, требующих быстрого решения, мне обычно не нужно много времени, чтобы поступить правильно.

А) да Б) нет В) не знаю

. Знаю, что могу и люблю руководить другими людьми.

А) да Б) нет В) не знаю

. Не умею и не хочу открываться до конца ни перед кем.

А) да Б) нет В) не знаю

. Мне не чужды мечты о «тихой пристани».

А) да Б) нет В) не знаю

. Думаю, что подчиненному просто необходимо уметь выполнять любые приказы начальника.

А) да Б) нет В) не знаю

. Возможно, это странно, но в отношениях с близкими мне людьми испытываю внутреннее сопротивление, когда вынужден просить о чем-то. А) да Б) нет В) не знаю

. Часто сталкиваюсь с ситуацией, в которой кто-то ждет от меня объяснений, хотя, на мой взгляд, все и так ясно.

А) да Б) нет В) не знаю

. Мне кажется, что мой характер похож на отца, который был опорой в семье.

А) да Б) нет В) не знаю

Интерпретация результатов:

«Да» - 10 очков, «нет» - 0 очков, «не знаю» - 5 очков.

-100 очков. Ваши ответы рисуют образ великого диктатора, который считает, что знает, как есть и должно быть. И такому поведению вы легко находите оправдание. Вы умеете убеждать и руководить другими, заставлять выполнять работу в срок. Но иногда что-то в тоне, взгляде, жесте ваших подчиненных говорит: «Дай передохнуть!

-50 очков. Гармония и решительность, мудрость и расчет, умение дать добрый совет - вот ваши главные достоинства. Если необходимо - руководите, если нужно - уступите, всегда принимая во внимание чужое мнение и желание. Но только вам известно, всегда ли добиваетесь цели достойными средствами.



ПРИЛОЖЕНИЕ 3

Методика Индикатор копинг-стратегий (Д. Амирхан)

ПРИЛОЖЕНИЕ 4

Методика Копинг-тест Лазаруса

Пол 

Возраст 

Образование 

Пожалуйста, зачеркните цифру справа каждого утверждения, которая наиболее соответствует Вашему отношению к данному утверждению:

ПРИЛОЖЕНИЕ 5

Результаты методики Копинг-тест Лазаруса

Корреляция копинг-стратегий с личностными особенностями