
17- Занятие. Расчет коэффициентов регрессии по сгруппированным данным


Отыскание параметров выборочного уравнения
простой линейной регрессии по сгруппированным данным.
При
большом количестве наблюдений одно и
то
же значение
х может встречаться nx
раз, значение у - ny
раз, одна и та же пара
может
наблюдаться nxy
раз. Поэтому данные наблюдения
группируются, т.е. подсчитываются частоты
и все данные записывают в виде таблицы,
которую, называют корреляционной
таблицей.
Для данных,
заданных в виде корреляционной таблицы,
уравнение определяется следующим
образом:
Пусть
изучается система количественных
признаков
(X,Y).
В результате N
независимых опытов получены пары чисел
где пара
встречается
.
Результаты представлены корреляционной таблицей:
|
Y |
|
|
... |
|
|
|
|
|
|
... |
|
|
|
|
|
|
... |
|
|
|
... |
... |
... |
... |
... |
... |
|
|
|
|
... |
|
|
|
|
|
|
... |
|
|
Здесь
и
.
Выборочная ковариация cov(X,Y) величин (X,Y) определяется формулой:
,
где
и
-
выборочные средние признака X
и Y.
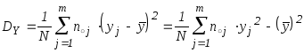
Выборочные дисперсии:
;
.
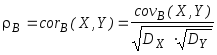
Следовательно, выборочный коэффициент корреляции:
.
При отыскание параметров выборочного уравнения простой линейной регрессии по сгруппированным данным, выборочный коэффициент корреляции и коэффициенты уравнения могут быть вычислены непосредственным применением формул.
,
,
.
Для
оценки качества подбора линейной функции
рассчитывается квадрат выборочного
коэффициента корреляции
,
называемый коэффициентом
детерминации.
Он характеризует долю дисперсии
результативного признака у, объясняемую
регрессией, в общей доле
регрессии. Соответственно величина
характеризует долю дисперсии у, вызванную
влиянием остальных неучтенных в модели
факторов.
Пример 2. Найти выборочное уравнение линейной регрессии Y на Х по данным корреляционной таблицы.
|
Y |
5 |
15 |
25 |
35 |
45 |
55 |
65 |
ny |
|
4 |
2 |
- |
2 |
- |
- |
- |
- |
4 |
|
8 |
- |
1 |
4 |
- |
- |
- |
- |
5 |
|
12 |
- |
4 |
3 |
10 |
- |
- |
- |
17 |
|
16 |
- |
2 |
- |
2 |
3 |
6 |
- |
13 |
|
20 |
- |
- |
- |
- |
5 |
4 |
- |
9 |
|
24 |
- |
- |
- |
- |
- |
1 |
1 |
2 |
|
nx |
2 |
7 |
9 |
12 |
8 |
11 |
1 |
N=50 |
Решение: Вычислим значения следующих сумм:


![]()
.
![]()
.
.
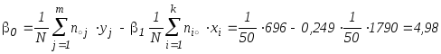
Найдем выборочный коэффициент корреляции:

Далее найдем коэффициенты уравнения регрессии:

,
.
Итак,
уравнение регрессии имеет вид:
.
Для
этого примера
=0,5867,
следовательно, уравнением регрессии
объясняется 58,67% дисперсии результативного
признака у, а на долю прочих факторов
приходится 41,33% ее дисперсии.
Ответ:
![]()
Задания для закрепления:
1. Найти выборочные уравнения линейной регрессии Y на Х и линейной регрессии Х на Y по данным корреляционной таблицы.
|
Y |
5 |
10 |
15 |
20 |
25 |
30 |
35 |
40 |
ny |
|
100 |
2 |
1 |
- |
- |
- |
- |
- |
- |
3 |
|
120 |
3 |
4 |
3 |
- |
- |
- |
- |
- |
8 |
|
140 |
- |
- |
5 |
10 |
8 |
- |
- |
- |
23 |
|
160 |
- |
- |
- |
1 |
- |
6 |
1 |
1 |
9 |
|
180 |
- |
- |
- |
- |
- |
- |
4 |
1 |
5 |
|
nx |
5 |
5 |
8 |
11 |
8 |
6 |
5 |
2 |
N=50 |
Ответ:
;
![]()
2. Найти выборочные уравнения линейной регрессии Y на Х и линейной регрессии Х на Y по данным корреляционной таблицы.
|
Y |
18 |
23 |
28 |
33 |
38 |
43 |
48 |
ny |
|
125 |
- |
1 |
- |
- |
- |
- |
- |
1 |
|
150 |
1 |
2 |
5 |
- |
- |
- |
- |
8 |
|
175 |
- |
3 |
2 |
12 |
- |
- |
- |
17 |
|
200 |
- |
- |
1 |
8 |
7 |
- |
- |
16 |
|
225 |
- |
- |
- |
- |
3 |
3 |
- |
6 |
|
250 |
- |
- |
- |
- |
- |
1 |
1 |
2 |
|
nx |
1 |
6 |
8 |
20 |
10 |
4 |
1 |
N=50 |
Ответ:
;
![]()
3. Найти выборочные уравнения линейной регрессии Y на Х и линейной регрессии Х на Y по данным корреляционной таблицы.
|
Y |
5 |
10 |
15 |
20 |
25 |
30 |
35 |
ny |
|
100 |
- |
- |
- |
- |
- |
6 |
1 |
7 |
|
120 |
- |
- |
- |
- |
- |
4 |
2 |
6 |
|
140 |
- |
- |
8 |
10 |
5 |
- |
- |
23 |
|
160 |
3 |
4 |
3 |
- |
- |
- |
- |
10 |
|
180 |
2 |
1 |
- |
1 |
- |
- |
- |
4 |
|
nx |
5 |
5 |
11 |
11 |
5 |
10 |
3 |
N=50 |