Материал: Основы производственной метрологии

Внимание! Если размещение файла нарушает Ваши авторские права, то обязательно сообщите нам

Основы производственной метрологии

Министерство образования и науки Российской Федерации

Государственное образовательное учреждение высшего профессионального образования

"Волгоградский государственный технический университет"







Контрольная работа

по дисциплине: "Метрология"


Выполнил: студент 2 курса ФПИК

группы АУЗ - 261с Тюляева И.А.

номер зачетной книжки 20161639

Проверил: доц. Курченко А.И.






Волгоград 2012

1 задание

Обработка результатов равноточных многократных измерений с получением среднего арифметического , среднеквадратичного отклонения , и определением суммарной погрешности измерения в виде доверительного интервала - .

Таблица 1. Исходные данные

Цена деления прибора С, мм

0,010

Результаты измерений, мм

1: 86,070

10: 86,090

19: 86,050

28: 86,080

37: 86,050

46: 86,090

2: 86,110

11: 86,110

20: 86,080

29: 86,130

38: 86,090

47: 86,070

3: 86,090

12: 86,130

21: 86,070

30: 86,030

39: 86,150

48: 86,170

4: 86,120

13: 86,150

22: 86,230

31: 86,130

40: 86,060

49: 86,170

5: 85,970

14: 86,010

23: 86,180

32: 86,110

41: 86,110

50: 86,050

6: 86,110

15: 86,100

24: 86,090

33: 86,070

42: 86,110

51: 86,210

7: 86,070

16: 86,110

25. 86,130

34: 86,150

43: 86,190

52: 86,150

8: 86,090

17: 86,170

26: 86,110

35: 86,090

44: 85,990

53: 86,140

9: 86,140

18: 86,130

27: 86,150

36: 86,130

45: 86,110



Доверительная вероятность - показывает вероятность нахождения истинного значения в рассчитанном интервале.

Уровень значимости  - показывающий, что принятый закон рассеивания размеров не будет соответствовать реальному закону.

Построение гистограммы.

Определяем величину размаха R (поле рассеяния):

Мин = 85,970

Макс = 86,230


Определяем число интервалов разбиения n, в соответствии с рекомендациями:


Определяем ширину интервала h:


Определяем границы каждого интервала:

 

 

 

 

 

 

 

Ищем координаты середин интервалов:


Определяем количество замеров, попавших в каждый интервал:

составим вариационный ряд:


- произведем отбор чисел для интервалов:

интервал:

2интервал:


3 интервал:


интервал:


интервал:


интервал:


интервал:

Определяем частность:


Проверка выборки на соответствие нормальному закону распределения. Построение гистограммы и полигона эмпирического распределения случайной величины (рис. 1 и рис. 2).


Рис.1 Гистограмма распределения

Рис.2 Полигон эмпирического распределения

Определим параметры заданного распределения.

первый параметр:


- стандарт:

Проверяем правильность гипотезы о нормальном законе распределения по критерию Пирсона.


Определяем теоретическое число значений попадающих в интервалы по формуле.

Вводим

 и .

Расчеты сделаны в Mathcad:

 - количество измерений.

 - среднее арифметическое.

 - среднеквадратичное отклонение.

, .

  

  

Определение значения  - квадрат:

 

Таблица 2. Расчетная таблица

Номер Интервала

Границы, мм

Середины интервалов , мм

Частоты

Фактические частоты, /N

Теоретическое число попаданий,

Теоретическая частота, /N







1

85,970

86,007

85,98855

2

0,0377

1,5487

0,0292

2

86,007

86,044

86,02565

2

0,0377

4,2926

0,081

3

86,044

86,081

86,06275

11

0,2075

10,7643

0,2031

4

86,081

86,118

86,09985

17

0,3208

15,5648

0,2937

5

86,118

86,156

86,13695

14

0,2642

12,9775

0,2449

6

86,156

86,193

86,17405

5

0,0943

6,2393

0,1177

7

86,193

86,230

86,21115

2

0,0377

1,7297

0,0326


Сравниваем полученное значение с табличным значением критерия:

 степени свободы.


Условие выполняется. Гипотеза о нормальном распределении выполняется. Строим теоретическую кривую нормального закона распределения (рис.3):

Рис. 3 Теоретическая кривая нормального распределения


Определение доверительного интервала рассеивания случайных погрешностей вокруг среднего значения

Доверительная граница случайной погрешности:


 аргумент функции Лапласа значение функции, при котором равно половине доверительной вероятности.


2 задание


Таблица 3. Исходные данные

B - 39

Отклонение размеров базовой детали, мкм


36; 20; 48; 40; 36; 44; 48; 44; 28; 52; 32; 32; 40; 48; 64; 32; 44


32; 36; 36; 16; 52; 24; 20; 56


Погрешности расположения поверхностей, мкм


44; 27; 52; 37; 31; 19; 29; 56; 37; 31; 50;25;31


19; 37; 25; 31; 31; 19; 12; 25; 12; 25


Расчет определяющего размера и допустимой погрешности технического требования

Расчет определяющего линейного размера


Таблица 4. Расчетная таблица

Отклонения, мкм


36

1296

44

1936

32

1024

32

1024

16

256


20

400

48

2304

32

1024

44

1936

52

2704


48

2304

44

1936

40

1600

32

1024

24

576


40

1600

28

784

48

2304

36

1296

20

400


36

1296

52

2704

64

4096

36

1296

56

3136

180

6896

216

9664

216

10048

180

6576

168

7072



Стандартный допуск = 74 мкм

Выбор допустимой погрешности расположения поверхностей

Таблица 5. Расчетная таблица



Допуск параллельности = 25 мкм

а) Так как был установлен 9-й квалитет точности для размера 80 мм, выдвигаем гипотезу о нормальном распределении погрешностей.

б) Для отклонений от параллельности принимаем гипотезу о распределении Релея.

Используя банк данных, построить полигоны распределения и гистограммы погрешностей линейного размера и погрешности формы или расположения поверхности


Таблица 6. Расчетная таблица

Границы элементарных интервалов, мкм

14-24

24-34

34-44

44-54

54-64

Частота попаданий в интервал

3,50

7,50

6,50

2,00

Частота (опытная вероятность)

0,140

0,22

0,3

0,26

0,08


Рисунок 4. Гистограмма отклонений определяющего размера

Рисунок 5. Полигон распределения отклонений

Рисунок 6. Эмпирическая функция распределения отклонения определяющего размера

Таблица 7. Расчетная таблица погрешностей расположения

Границы элементарных интервалов, мкм

10-20

20-30

30-40

40-50

50-60

Частота попаданий в интервал

5,00

6,00

8,00

2,00

2,00

Частота (опытная вероятность)

0,217391

0,26087

0,347826

0,086957

0,086957

Рисунок 7. Гистограмма распределения погрешностей расположения поверхностей

Рисунок 8. Полигон распределения погрешностей расположения поверхностей

Рисунок 9. Эмпирическая функция распределения погрешностей расположения поверхностей

Внешний вид построенных графиков позволяет выдвинуть гипотезы:

.Отклонения от номинала определяющего размера имеют нормальное распределение.

.Погрешности расположения поверхности следуют закону Релея.

Используя критерий Пирсона, проверить гипотезу о нормальном распределении определяющего размера


Таблица 8. Расчетная таблица

14-24

24-34

34-44

44-54

54-64

3,50

5,50

7,50

6,50

2,00

0,0929

0,2426

0,3251

0,2241

0,0793

2,3225

6,065

8,1275

5,6025

1,9825

0,59699

0,05263

0,04845

0,1438

0,00015


Вероятность попадания замера  в указанные в таблице интервалы при нормальном распределении, производится с использованием функции Лапласа.


- отрезок 14 - 24:


- отрезок 24 - 34:


- отрезок 34 - 44:


- отрезок 44 - 54:


- отрезок 54 - 64:


Так как  , то гипотезы о нормальном распределении замеров отклонений величины определяющего размера от номинала - применяются.

Проверка гипотезы о нормальном распределении размеров выборки для случая наибольшего числа наблюдений

Используя таблицу 4 можно установить для первых 16 замеров:


Таблица 9. Расчетная таблица

xi

36

20

48

40

36

44

48

44

|xi-xcp|

4,25

20,25

7,75

0,25

4,25

3,75

7,75

3,75

xi

28

52

32

32

40

48

64

32

|xi-xcp|

12,25

11,75

8,25

8,25

0,25

7,75

23,75

8,25


По таблице , , гипотеза принимается, так как .

По таблице п.8.2 для n=16 и q=5% P=0,98 m=1; по табл. П.7.1 при вероятности P/2=0,98/2=0,49 определяем z= 2,33, тогда . Просматривая таблицу 8, можно установить, что и разность  меньше . Таким образом, гипотеза о нормальном распределении принимается.

Используя критерий Колмогорова, проверить гипотезу о распределении погрешностей формы или расположения поверхностей детали по закону Релея

Рисунок 10. Оптимальная и теоретическая функции распределения погрешностей расположения поверхностей


Проанализируем два значения модуля для координаты x = 10 и x = 20 мкм.


Для дальнейшего анализа принимается значение .

Тогда .

По приложению 10 определяем вероятность Р:

Так как вероятность достаточно высока, гипотеза о том, что погрешности расположения поверхностей распределены по закону Релея, принимается.

Построение гистограмм и теоретических кривых распределений определяющего размера и специального требования

Определяющий размер.

Таблица 10. Расчетная таблица

Координаты х, мкм

14

24

34

44

54

64

Координаты , мкм

-24,4

-14,4

-4,4

5,6

15,6

25,6

-2,05

-1,21

-0,37

0,47

1,31

2,15

Pi

0,0488

0,1919

0,3726

0,3572

0,1691

0,0396


Рисунок 11. Гистограмма и кривая распределения плотности вероятностей нормального распределения

Погрешность расположения

Таблица 11. Расчетная таблица

Координаты х, мкм

10

20

30

40

50

60

Координаты

0,559

1,118

1,677

2,237

2,796

3,355

Вероятности Pi

0,4728

0,5995

0,4142

0,1855

0,0569

0,0124


Рисунок 12 Гистограмма и кривая распределения плотности вероятностей распределения Релея

Исключение из числа анализируемых размеров, которые могут быть оценены как грубые ошибки

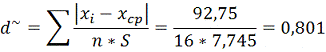
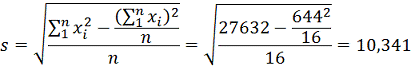
Используя описанную методику, проведем анализ приведенных в индивидуальном задании отклонений от номинала у спроектированной детали. Если рассмотреть таблицу 4, то "подозрительными" кажутся замеры:16 и 64 мкм. Так как среднее арифметическое значение составляет 38,4, то наиболее удален от него замер со значением 64.

Среднеквадратическое отклонение подсчитывается по формуле:

, тогда

2,1978<2,88, поэтому значение x = 64 нельзя считать грубой ошибкой и исключить из анализа.

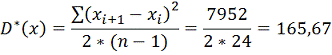
Проанализировать заданное распределение погрешностей размера на предмет обнаружения систематических, изменяющихся во времени погрешностей


Таблица 12. Расчетная таблица

-16

28

-8

-4

8

4

-4

-16

256

784

64

16

64

16

16

256

1472

24

-20

0

8

8

16

-32

12

576

400

0

64

64

256

1024

144

2528

-12

4

0

-20

36

28

-4

36

144

16

0

400

1296

784

16

1296

3952



Тогда опытное значение критерия Аббе:

q = 0,69 для n = 25 и q = 0,05, т.е. >0,69.

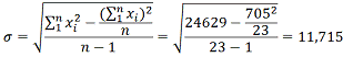
Отсюда можно сделать вывод, что в анализируемом распределении нет систематически изменяющейся во времени погрешности. Установить доверительный интервал погрешности определяющего размера


Установить доверительный интервал для среднеквадратического отклонения размера  по приложению 14  (при n=25; v=0,95), тогда .

Проверить случайность отбора деталей анализируемой выборки


Таблица 13. Расчетная таблица

Исходный ряд

36

20

48

40

36

44

48

44

 

Ранжированный ряд

64

56

52

52

48

48

48

44

 

Исходный ряд

28

52

32

32

40

48

64

32

 

Ранжированный ряд

44

44

40

40

36

36

36

 

Исходный ряд

44

32

36

36

16

52

24

20

56

Ранжированный ряд

32

32

32

32

28

24

20

20

16

Стилизованный ряд

-

-

+

0

-

+

+

+

 

Стилизованный ряд

-

+

-

-

0

+

+

-

 

Стилизованный ряд

+

-

-

-

-

+

-

-

+

Число серий

14

 

 

 

 

 

 

 

 

Протяженность серии

4

 

 

 

 

 

 

 

 

Медиана

40

 

 

 

 

 

 

 

 



Неравенство имеет вид:

; 14>3,98

;

Одно из неравенств не выполняется: размеры подобраны не случайно.

Определить необходимое число повторных наблюдений за размерами детали выборки


; ;

;

Погрешность измерения: ;

Тогда:

 мкм

, т.е. 186 замеров.

3 задание

измерение погрешность сертификация качество

Задачи сертификации систем качества.

В настоящее время, особенно в условиях рыночных отношений, когда всем предприятиям и организациям предоставлено право самостоятельного выхода на внешний рынок, они сталкиваются с проблемой оценки качества и надежности своей продукции.

Международный опыт свидетельствует о том, что необходимым инструментом гарантирующим соответствие качества продукции требованиям нормативно-технической документации НТД является сертификация.

Сертификация в общепринятой международной терминологии определяется как установление соответствия. Национальные законодательные акты различных стран конкретизируют: соответствие чему устанавливается, и кто устанавливает это соответствие.

Сертификация - это документальное подтверждение соответствия продукции определенным требованиям, конкретным стандартам или техническим условиям.

Сертификация продукции представляет собой комплекс мероприятий, проводимых с целью подтверждения посредством сертификата соответствия, что продукция отвечает определенным стандартам или другим НТД.

Многие зарубежные фирмы расходуют большие средства и время на доказывание потребителю, что их продукция имеет высокое качество. Так, по зарубежным источникам величина издержек на эти работы составляет около 1 - 2% всех затрат предприятий-изготовителей.

В некоторых случаях затраты даже сопоставимы с затратами на достижение самого качества. Это делается не случайно, так как сертификация является очень эффективным средством развития торгово-экономических связей страны, продвижения продукции предприятия на внешний и внутренний рынок сбыта, а также закрепление на них на достаточно длительный период времени. Именно все это предопределило широкое распространение сертификации.

Сертификация появилась в связи с необходимостью защитить внутренний рынок от продукции, непригодной к использованию. Вопросы безопасности, защиты здоровья и окружающей среды заставляют законодательную власть, с одной стороны, устанавливать ответственность поставщика за ввод в обращение недоброкачественной продукции; с другой стороны - устанавливать обязательные к выполнению минимальные требования, касающиеся характеристик продукции, вводимой в обращение. К первым относятся такие законодательные акты, как например, Закон "О защите прав потребителей", принятый в России, или закон об ответственности за продукцию, принятый в странах Европейского Сообщества. Законы, устанавливающие минимальные требования по характеристикам, могут относиться в целом к группе продукции или к отдельным ее параметрам.

В процессе проведения сертификации системы качества можно выделить два этапа:

-  предварительная проверка и оценка системы качества;

-       окончательная проверка, оценка и выдача сертификата соответствия системы качества предприятия соответствующего стандарта.

Каждый из указанных этапов содержит определенный состав работ.

Предприятиям, претендующим на сертификацию системы качества, и орган но сертификации вместе с заявкой и сопроводительным письмом следует направлять: анкету-вопросник для проведения предварительной проверки системы качества; общее руководство по качеству (или основной СТП системы качества), информационные данные о качестве продукции (сведения о рекламациях, потерях от брака, результатах ранее проведенной на предприятии сертификации, испытаниях продукции и т.п.); декларацию о соответствии системы качества; счет оплаты за проведение первого этапа проверки системы качества. По просьбе органа по сертификации могут быть представлены также другие сведения и данные о предприятии и системе качества.

Этапы оценки системы качества.

Состав работ

Исполнитель

1. Этап предварительной проверки и оценки системы качества

1.1. Подготовка системы качества и ее документации к сертификации

Предприятие

1.2. Заявка на проведение сертификации системы качества

Предприятие

1.3. Предварительная проверка и оценка системы качества

Орган по сертификации

1.4. Заключение договора на проведение сертификации системы качества

Предприятие, орган по сертификации

2. Этап окончательной проверки и оценки системы качества

2.1. Подготовки системы качества к окончательной проверке

Предприятие

2.2. Разработка программы проведения окончательной проверки системы качества

Орган по сертификации

2.3. Проведение предварительного совещания по организации на предприятии проверки системы качества

Предприятие, орган по сертификации

2.4. Проведение проверки системы качества

Орган по сертификации, предприятие

2.5. Подготовка предварительных выводов по результатам проверки для заключительного совещания

Орган по сертификации

2.6. Проведение заключительного совещания

Орган по сертификации, предприятие

2.7. Составление и рассылка отчета о проведении на предприятии проверки системы качества

Орган по сертификации

2.8. Оформление, регистрация и выдача (при положительном решении) сертификата системы качества

Орган по сертификации


По результатам первого этапа орган по сертификации составляет заключение, в котором указывается готовность предприятия и целесообразность проведения второго этапа работ по сертификации системы качества либо раскрываются причины нецелесообразности или невозможности проведения работ по второму этапу. При положительном заключении при подписании договора устанавливаются сроки проведения работ по второму этапу - окончательной проверке и оценке системы качества. Если при проведении работ второго этапа органом по сертификации обнаруживается несоответствие системы качества требованиям соответствующего стандарта, то совместно с предприятием определяется срок ее доработки и устанавливается ориентировочный срок повторной проверки. При положительном решении сертификат выдается на определенный срок (обычно этот срок ограничивается тремя годами).

Вся сертификационная деятельность осуществляется в соответствующей системе, обладающей собственными правилами. Организация и проведение работ по обязательной сертификации возложены на Госстандарт России. Необходимость и объем испытаний, место отбора образцов определяет орган по сертификации продукции по результатам инспекционного контроля за сертифицированной системой качества (производством).

Список литературы

1.      Воронцова А. Н., Оробинский В. М., Чернышев Н. А. Анализ точности выпускаемой продукции методом математической статистики: учебное пособие. - ВолгГТУ, 2001.

.        Воронцова А. Н., Оробинский В. М., Чернышев Н. А. Анализ технологических параметров действующего машиностроительного производства: учебное пособие. - ВолгГТУ, 2000.

.        Димов Ю.В. Метрология, стандартизация и сертификация. - Спб.: Питер, 2004.

.        Сергеев А.Г. Метрология. - М.: Логос, 2005.

.        Гончаров А.А. Метрология, стандартизация и сертификация. Учебное пособие. - М.: Академия, 2008.

.        http://ru.wikipedia.org/wiki/%D0%9C%D0%B5%D1%82%D1%80%D0%BE%D0%BB%D0%BE%D0%B3%D0%B8%D1%8F.