Материал: Основные статистические расчеты

Внимание! Если размещение файла нарушает Ваши авторские права, то обязательно сообщите нам

Основные статистические расчеты

Федеральное государственное бюджетное образовательное учреждение

Высшего профессионального образования

Пермский национальный исследовательский политехнический университет

Кафедра Маркетинга и Менеджмента









КОНТРОЛЬНАЯ РАБОТА

по дисциплине «Статистика»

Выполнила студентка

Гуманитарного факультета

Заочного отделения

Направление: «Управление персоналом»

Группы УП- 13Б

Нургалиева Алёна Андреевна

Проверил преподаватель:

Ламанова Надежда Геннадьевна


Пермь 2014

ВАРИАНТ II

Тема 1. Абсолютные и относительные величины


Решение задачи №1

Таблица 1

Год

Инвестировано (млн. руб.)


Запланировано

Фактически

1999

120 (упл)

130 (y0)

2000

140 (упл)

125 (y1)


                                                                              90             35

 

 

 

 

 

 

 

Тема 2. Средние величины

Решение задачи №2

Пусть хi - дневная выработка i - го продавца; n - количество продавцов.

Таблица 2

Группы продавцов универмага по дневной выработке одного продавца, тыс. руб.

10

12

15

 0

Количество продавцов

5

7

4



Тогда ФЗП = i= x1 + x2…+ x3 = 7000 руб. Средняя заработная плата определяется по формуле простой средней,

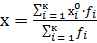
х =  ,

Значения хi , i = 1, n называется вариантами, тогда n - число вариант; fi , i = 1, k - частоты (определяют как часто встречается i - я варианта). В нашем примере каждая варианта встречается один раз. Число вариант n = 3.

Тогда определим среднюю выработку одного продавца:

1400 руб.

Из формулы простой средней следует, что

 = nx.

Определение медианы и моды:

Медиана по не сгруппированным данным (первичным) определяется: совокупность значений ранжируется (упорядочивается),

Ме,

в первом случае:

где k - номер элемента упорядоченного ряда,

k = , ;=  = 2, 5

)Мода = М - значение признака, которому соответствует мах частота:

 = max

где - частота,

fi - количество продавцов.

M = 5 - 2 = 3

Решение задачи № 3

Пусть хi - зарплата i - го работника; n - число групп работников предприятия.

Таблица 3

1

2

3

Всего

зарплата, тыс. руб.

2000

4 000

5000

11000


Тогда ФЗП = i= x1 + x2…+ x3 = 11000 руб. Средняя заработная плата определяется по формуле простой средней,

х =  ,

Значения хi , i = 1, n называется вариантами, тогда n - число вариант; fi , i = 1, k - частоты (определяют как часто встречается i - я варианта). В нашем примере каждая варианта встречается один раз. Число вариант n = 3.

Тогда определим среднюю зарплату работников предприятия:

3667 руб.

Из формулы простой средней следует, что

 = nx.

Тема 3. Статистические распределения и их основные характеристики


Решение задачи № 4

,1; 8,7; 8,5; 9,2; 5,8; 6,1; 5,2; 4,5; 6,4; 6,9; 8,1; 8,0; 7,2; 9,8; 10,2; 7,5; 7,7; 10,4; 10,5; 7,9.

Заметим, варианты признака не повторяются. Количество групп интервального вариационного ряда определим по формуле Стэрджесса:

К = 1 + 3, 322 lgn, где n - объем изучаемой совокупности;

+ 3, 322 lg20 = 1 + 3, 322  1, 301 = 5, 32  5.

Размах вариации - R = (Х мах - Х мin) = (10, 5 - 4, 5) = 6.

Величина интервала - h = R/К,

где К - число групп; h= 6/5 = 1,2.

Тогда интервальный ряд фирм по величине прибыли:

(4,5 - 5,7) (5,7 - 6,9) (6,9 -8,1) (8,1 - 9,3) (9,3 - 10, 5).

Для облегчения подсчётов расположим данные в порядке возрастания:

,5; 5,2; 5,8; 6,1; 6,4; 6,9; 7,2; 7,5; 7,7; 7,9; 8,0; 8,1; 8,5; 8,7; 9,1; 9,2; 9,8; 10,2; 10.4; 10,5.

Подсчитаем количество фирм в каждой группе fi, накопленные частоты Si, центральные значения для каждого интервала хi0fiи поместим в таблицу. Знак (-) рядом с интервалом означает, что величина признака, совпадающая с верхней границей интервала в этот интервал не включается, а попадает в следующий интервал. Знак (+) означает, что верхняя граница включается в интервал.

Таблица 4

Первичные данные о затратах (усл. ден. ед.)

Число фирм или частота, fi

Накопленная частота, Si

Хi-центральное значение интервалов

 Хi0 fi

(-)4,5 - 5,7

2

2

5,1

10, 20

5,7 - 6,9

3

5

6,3

18, 90

6,9 - 8,1

6

11

7, 5

45, 00

8,1 - 9,3

5

16

8, 7

43, 50

9,3 - 10,5

4

20

9, 9

39, 60

Итого

20

-

-

157, 20


;

Хi0 = ;

Среднюю арифметическую вычислим по формуле:

,

где - центральное значение i-го интервала;

 - варианты значения признака;

fi - частота повторения данного варианта.

7, 860 млн. руб.

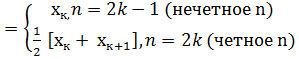
Определение моды и медианы интервального ряда распределения:

,

где - нижняя граница медианного интервала;

h - величина интервала;

S(-1) - накопленная частота интервала, предшествующего медианному;

FMe - частота медианного интервала.

К = (20 +1)/2 или К = n/2 ,

где n-число единиц совокупности;

К - номер (позиция) того значения признака, которое равно медиане;

Хi - значение признака i= 1, n.

К = (20 + 1)/2 = 10,5.

Сравнивая К с накопленными частотами, находим интервал соответствующий S3=11, FMe= 6, в котором находится медиана: (6, 9 - 8,1).

S(-1) = 5. Тогда:

Мe

Таким образом, 50 % фирм имеют прибыль 8 млн. руб., а 50 %- больше 8 млн. руб.

М =

где хm- начало модального интервала;

fm- частота соответствующая модальному интервалу;

f(-1) - предмодальная частота;

f(+1) - постмодальная частота.

Наибольшая частотаf3 = 6, соответствует интервалу (6, 9 - 8, 1). Значит мода находится в том же интервале что и медиана. Тогда:

M= 6, 9 + 0,75 = 7, 650 млн. руб.

Таким образом, в данной совокупности фирм наиболее часто встречается прибыль - 7, 650 млн. руб.

Таблица 5

Размер прибыли, млн. руб.

Число фирм, Fi

Расчетные показатели



i

xi - x

fi

fi

1

2

3

4

5

6

7

 

4,5 - 5,7(-)

2

5,1

10,20

-2,760

5,520

15,236

 

5,7 - 6,9

3

6,3

18,90

-1,560

4,680

7,309

 

6,9 - 8,1

6

7,5

45,00

-0,360

2,160

0,778

 

8,1 - 9,3

5

8,7

43,50

0,840

4,200

3,528

4

9,9

39,60

2,040

8,160

16,647

 

Итого

20

-

157,20

-

24,720

43,498

 


Определение среднего линейного отклонения, дисперсии, среднего квадратичного отклонения:

Размер вариации:

1)      R = Хmax - Хmin ,

где Хmax - максимальное значение;

Хmin - минимальное значение.

R = (10, 5 - 4, 5) = 6.

Определение среднего линейного отклонения:

2)      ,

где d - среднее линейное отклонение;

|| - абсолютное значение отклонения варианта от средней арифметической;

n - число фирм.

d =

Определение дисперсии:

2 = ,

где, дисперсия;

|| - абсолютное значение (модуль) отклонения варианта от средней арифметической;

n - число фирм.

= 2, 175 (млн. руб.)2

Определение СКО:

,

где,  - дисперсия;

 =  = =1.088 млн. руб.

Тема 5. Ряды динамики


Решение задачи № 4

)        Абсолютный прирост) показывает, на сколько данный уровень базисный:

 = ,

где yi - уровень сравниваемого периода,

y0 - уровень базисного периода.

Абсолютный прирост при сравнении с переменной базой называют скоростью роста:

 = ,

где  - уровень предшествующего периода.

 =  = n/1 ,

где n - число уровней динамического ряда.

Сумма цепных абсолютных приростов:

 = 1, 0 + 0, 2 - 0, 6 - 0, 2 = 0, 4 =

)        Коэффициент роста (Кi) показывает во сколько раз данный уровень превышает уровень базисного периода.

При сравнении с постоянной базой Кi = /y0

Коэффициенты выраженные в %, называют темпами роста: