Оптимальная высота насыпи рассчитывается по формуле

где
– расчетная
глубина сезонного оттаивания дорожной
конструкции, м;
– расчетная
глубина сезонного оттаивания грунтов
основания (до сооружения насыпи), м
– расчетная
осадка основания земляного полотна, м;
– относительное
сжатие грунтов основания при оттаивании
под нагрузкой;
– суммарная
толщина балласта, включая засыпку в
шпальном ящике, м;
– коэффициент,
учитывающий экспозицию склона для
участков дороги, проходящих по склонам
южной экспозиции, принимается в
соответствии с данными приведенными
ниже:

При
основания IV
категории по просадочности (просадочное
основание) осадка насыпи не допускается,
т.е. используется I
принцип строительства зданий и сооружений
на вечномерзлых грунтах и оптимальная
высота насыпи принимается равной и
более
.
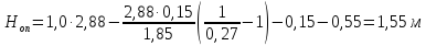
Для нашего случая имеем:



Поскольку выемка устраивается на склоне северной экспозиции:

Относительное
сжатие грунтов основания при оттаивании
под нагрузкой при наших условиях
составляет
.
Следовательно, оптимальная высота будет равна

Таким образом, суммарная мощность слоя ЩПГС и песка средней крупности должна составлять не менее 1,55 м. Учитывая, что толщина слоя из ЩПГС равна 0,20 м, толщина слоя песка должна составлять не менее 1,35 м.
Полученные данные отражают требуемую глубину замены слоя суглинка на дне выемки из условия регулирования поверхности верхней границы многолетнемерзлых грунтов. Данную толщину следует проверить также из условия образования пучин и несущей способности основной площадки земляного полотна. Данные вопросы рассматриваются в рамках решения задачи 5.
|
Раздел рабочей программы |
Проектирование земляного полотна на вечномерзлых грунтах |
|
Вид практического занятия |
Решение практической задачи |
|
Тема практического занятия |
Проектирование мероприятий по обеспечению прочности основной площадки и защите земляного полотна от морозного пучения грунтов |
|
Количество часов на проведение практического занятия |
2 |
|
Содержание практического занятия |
|
|
Методические рекомендации (указания) в соответствии с которыми проводится практическое занятие |
Рекомендации по проведению практического занятия приведены ниже |
До начала проведения занятий преподаватель готовит комплект исходных данных. Каждому студенту выдается вариант исходных данных для решения задачи в ходе проведения практического занятия. Продолжительность – 10 минут.
Преподаватель приводит краткие теоретические сведения по рассматриваемому вопросу. Продолжительность – 15 минут.
Приводятся пояснения о методике и ходе решения задачи. Продолжительность – 25 минут.
Время, отводимое на самостоятельное решение задачи обучающимися в соответствии с выданными исходными данными. Продолжительность – 25 минут.
Контроль хода решения практической задачи обучающимися. Продолжительность – 15 минут.
Требуется запроектировать рабочую зону земляного полотна на участке выемки из условия обеспечения несущей способности основной площадки земляного полотна и из условия ограничения деформаций морозного пучения грунтов.
Исходные данные принять по результатам решения задачи № 4 при этом учесть, что штамповый модуль деформации песка средней крупности, уплотненного до нормативной плотности, составляет 48 МПа. Глубина сезонного промерзания дренирующих грунтов земляного полотна и балластного слоя составляет 2,60 м.
Для удовлетворения условий, обозначенных в условии данной задачи, необходимо произвести замену грунтов в основании выемки на дренирующие грунты, имеющих хорошие фильтрационные и прочностные характеристики. В задаче № 4 определялась толщина замены из условия регулирования поверхности верхней границы вечномерзлого грунта. Теперь необходимо установить, является ли полученная толщина слоя дренирующих грунтов достаточной для выполнения условий прочности основной площадки земляного полотна, т.е. обеспечивается ли несущая способность подстилающих слоев – песка средней крупности и суглинка мягкопластичного при оттаивании, а также проверить обеспечение требований по величине допустимых деформаций морозного пучения.
Таким образом, ход решения данной задачи сводится к следующему: определяют по отдельности необходимую толщину слоя дренирующего грунта из условия прочности подстилающего слоя и исключения появления сверхнормативных деформаций морозного пучения грунтов. Из трех значений, полученных из условия несущей способности основной площадки, из условия исключения деформаций морозного пучения и из условия регулирования верхней границы вечномерзлых грунтов на требуемом уровне, принимают наибольшую величину.
Требуемая глубина замены, исходя из данного условия определена при решении задачи № 4 и составляет 1,55 м.
В нашей конструкции предусматривается устройство верхнего защитного слоя из щебеночно-песчано-гравийной смеси (ЩПГС) и ниже слой песка средней крупности. Под подошвой слоя песка средней крупности будет залегать грунт выемки, представленный суглинком, который в оттаявшем состоянии приобретает мягкопластичную консистенцию. Таким образом, требуется проверить обеспечивается ли несущая способность суглинка в оттаявшем состоянии в конструкции земляного полотна.
Расчет величины замены с целью обеспечения требуемой прочности основной площадки выполняют в такой последовательности:
Устанавливают
величину нормативного давления на
основной площадке земляного полотна
от воздействия поездной нагрузки,
и верхнего строения пути
.
Производят
расчет и составляют график распределения
нормальных вертикальных напряжений
по глубине земляного полотна от действия
постоянных нагрузок от собственного
веса грунтов земляного полотна
,
веса верхнего строения пути
и поездной нагрузки
.
Определяют
величину критического давления
для двух значений глубины 0,0 м и 1,0 м.
По
полученному графику устанавливают
критическую глубину
,
на которой величина действующих
напряжений равна величине критического
давления для данного грунта.
На
этой и большей глубине возможность
возникновения остаточных деформаций
грунта в пределах основной площадки
земляного полотна при действии расчетной
нагрузки исключается. Поэтому толщину
слоя замены
назначают по условию:

Решим данную задачу при наших исходных условиях. Прежде всего установим расчетную нагрузку на основную площадку земляного полотна. В соответствии с п.1.2 СП 238.1326000.2015 земляное полотно вновь строящихся железных дорог должно проектироваться под нагрузку на ось грузового вагона 30 тс и скорости движения до 120 км/ч.
Конструкция балластного слоя назначается в соответствии с таблицей 6.1 СП 119.13330.2012.
Рельсы – Р65 новые термоупрочненные, шпалы – железобетонные, в соответствии с примечанием к табл. 6.1 принимаем балластную призму однослойную из щебеночного балласта, поскольку основная площадка выемки будет сформирована из ЩПГС (защитный слой). Толщину щебня под шпалой принимаем в соответствии с СП 238.1326000.2015. Толщина балласта под подошвой железобетонной шпалы – 0,40 м, ширина плеча балластной призмы – 0,45 м, крутизна откосов балластной призмы 1:1,5.
Расчетная схема передачи нагрузок на основную площадку земляного полотна приведена на рис. 5.1, а значения параметров в таблице 5.1.

Рис. 5.1 Схемы внешних нагрузок на основную площадку земляного полотна
(e – ширина междупутья)
А) – однопутный участок; Б) – двухпутный участок.
Т а б л и ц а 5.1 - Характеристики для определения внешних нагрузок на основную площадку земляного полотна
|
Тип шпал |
|
|
|
|
|
деревянные |
16 |
4,81 |
8,97 |
2,75 |
|
железобетонные |
17 |
4,87 |
9,01 |
2,70 |
При данных условиях величину давления на основную площадку земляного полотна при конструкции верхнего строения пути можно определить по известной «Методике оценки воздействия подвижного состава на путь по условиям обеспечения его надежности». При решении данной задачи можно принять значение равное 120 кПа. Таким образом, в нашем случае:




Определим напряжения в земляном полотне по оси пути от действия всех нагрузок. Расчет выполним через каждые 0,5 м глубины. Максимальную глубину, до которой проведем расчет примем 3,0 м, что определяет так называемую рабочую зону земляного полотна, в пределах которой регистрируются напряжения от воздействия подвижного состава.
Для определения напряжений от подвижного состава и верхнего строения пути используем простые теоретические решения для элементарных нагрузок (рис. 5.2).
|
|
|
Рис. 5.2 – Расчетная схема к определению напряжений в земляном полотне от прямоугольной нагрузки |
Величину нормальных вертикальных напряжений найдем из соотношения:


Функция
устанавливается с помощью таблицы 5.2.
Т
а б л и ц а 5.2 – Значение параметра
для прямоугольной нагрузки

Напряжения от собственного веса грунтов земляного полотна определим по формуле:

где
– плотность
грунтов земляного полотна при отсутствии
слоя дренирующего грунта, т/м3.
В нашем случае, если бы защитные слои
из дренирующих грунтов отсутствовали,
то основная площадка была бы сложена
суглинком мягкопластичным. Принимаем
в соответствии с исходными данными. Для
суглинка мягкопластичного
;
– глубина
от поверхности основной площадки
земляного полотна, м.
Суммарные вертикальные напряжения на рассматриваемой глубине от основной площадки земляного полотна определим, как сумму всех напряжений:
