Материал: msu_lab2

Внимание! Если размещение файла нарушает Ваши авторские права, то обязательно сообщите нам

Отчет по лабораторной работе № 2 по дисциплине «Моделирование систем управления»

на тему:

«Построение частотных характеристик и исследование устойчивости линейных систем»

Цель работы

Приобретение практических навыков исследования динамических систем на основе их имитационных моделей и изучение стандартных функций пакета MATLAB для исследования частотных характеристик и устойчивости линейных систем.

Подготовка к работе

1.Получение структурной аналоговой модели неминимально-фазового звена первого порядка

W ( p) = k1(1pT1 )

1+0.5 pT1

В соответствии с вариантом k1 = 12, T1 = 0,4 с.

Представим передаточную функцию в виде:

W ( p) = Y ( p) U ( p)

Запишем дифференциальное уравнение для данной передаточной функции:

y +0.5T1 y& = k1 u T1 u&

Перегруппируем слагаемые в уравнении так, чтобы слева были производные, справа – сигналы:

y& +2k1u& = 2Tk1 u T2 y

1 1

Структурная аналоговая схема, соответствующая полученному уравнению, представлена на рис.1.1.

Рисунок 1.1 – Структурная аналоговая схема

2.Определение аналитических выражений для основных частотных характеристик исследуемого звена: амплитудно-частотной (АЧХ), логарифмической амплитудно-частотной (ЛАЧХ), фазо-частотной (ФЧХ), и амплитудно-фазовой

(АФХ).

Связь между передаточной функцией звена и его комплексным коэффициентом усиления:

W ( jω) =W ( p) p = jω = k+1(1jωωT1 )

1 0.5 j T1

Выражение для АФХ звена:

W ( jω) =

k1(1jωT1 )

=

k1(1jωT1 )(10.5 jωT1)

 

=

 

 

 

 

1+0.5 jωT

 

 

)

 

 

 

 

 

 

 

 

 

(1+0.5 jωT

)(1

0.5 jωT

 

 

 

 

 

 

 

 

 

1

 

 

 

1

 

 

1

 

 

 

 

 

 

k

 

jωT 0.5 jωT

0.5(ωT )

2

 

 

k

 

 

 

2

 

 

 

 

1

 

 

 

10.5(ωT )

 

 

 

1.5 ωk1T1

=

1

 

 

1

1

1

 

 

=

1

 

 

1

 

 

+ j

 

 

 

1+0.25 (ωT )2

 

 

1+0.25 (ωT )2

 

1+0.25 (ωT )2

 

 

 

 

 

1

 

 

 

 

 

 

1

 

 

 

1

Выражение для АЧХ звена:

k 1+(ωT )2

A(ω) = W ( jω) = 1 ( 1 ) 1+ 0.5ωT1 2

Выражение для ФЧХ звена:

ψ(ω) = −arctgωT1 arctg 0.5ωT1

2

3.Получение модели в форме уравнений состояния динамической системы с передаточной функцией

W ( p) =

kр(1pT1)

(1+0,5 pT )(1

+ pT )

 

1

2

В соответствии с вариантом: kp = 12, T1 = 0,4 c, T2 = 5 c.

Получим математическую модель в форме уравнений состояния исследуемой динамической системы, используя метод канонического преобразования передаточной функции для случая простых корней.

Выполним разложение исследуемой передаточной функции дробно-рационального вида на простые дроби:

W(p) =

k р(1pT1 )

 

=

k р

 

 

1pT1

 

 

=

B( p)

(1+0.5pT

)(1+ pT

)

0.5

T T

 

2

 

 

1

 

A( p)

 

1

2

 

 

 

1 2

 

 

 

 

 

 

 

 

 

 

 

 

 

 

p +

 

p

+

 

 

 

 

 

 

 

 

 

 

T

T

 

 

 

 

 

 

 

 

 

 

 

 

 

 

 

 

 

 

 

 

 

 

 

1

 

 

2

 

 

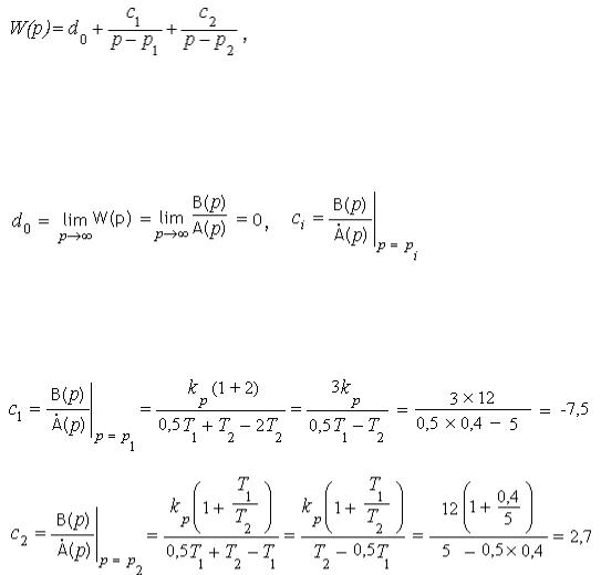
где p1 = -2/T1 = -2/0,4 = -5; p2 = -1/T2 = -1/5 = -0,2 - корни характеристического уравнения системы А(р) = 0.

Коэффициенты могут быть определены исходя из следующих соотношений:

A&(p) = 1+0.5 pT1 + pT2 +0.5 p2T1T2 = 0.5T1 +T2 + pT1T2

B(p) = k р 1pT1

3

Уравнения состояния в канонической форме:

x&1 = p1x1 +c1 u

x&2 = p2 x2 +c2 uy = x + x

1 2

Структурная аналоговая схема рассматриваемой системы представлена на рис. 1.2.

Рисунок 1.2 – Структурная аналоговая схема

4.Получение уравнений состояния в матричной форме

Записанные в пункте 3 уравнения состояния можно представить в матричной форме:

 

x = A x + B u

 

 

 

y =C x + D u

, где

 

C = (1 1)

D = d0 = 0

5.Получение выражения для определения предельного значения коэффициента усиления системы kпред

4

Воспользуемся алгебраическим критерием Гурвица для получения аналитического выражения для расчета kпред.

Передаточная функция разомкнутой системы:

W(p) =

 

 

 

 

k р(1pT1 )

 

 

 

 

 

 

 

 

 

 

 

 

 

 

 

 

 

 

 

(1+0.5pT

)(1+ pT

)

 

 

 

 

 

 

 

 

 

 

 

 

 

 

 

 

 

 

 

 

 

 

 

 

 

 

 

 

1

 

 

2

 

 

 

 

 

 

 

 

 

 

 

 

 

 

 

 

 

 

 

 

 

Передаточная функция замкнутой системы:

 

 

 

 

 

 

 

Wз(p) =

 

W

( p)

=

 

 

 

 

 

 

k р(1pT1 )

 

 

 

 

 

 

=

 

+

W ( p)

 

 

 

 

 

 

 

 

 

 

 

 

 

k

 

1pT

 

 

 

 

 

1

 

 

 

 

 

 

 

 

 

 

 

 

 

 

 

р

 

 

 

 

 

 

 

 

 

 

 

 

 

 

 

 

 

 

 

 

 

(

 

1 )

 

 

 

 

 

 

 

 

 

 

 

 

(1+0.5pT1 )(1+ pT2

)

1+

 

 

 

 

 

 

 

 

 

 

 

 

 

 

 

 

 

 

 

 

(1+0.5pT

)(1

+ pT

 

 

 

 

 

 

 

 

 

 

 

 

 

 

 

 

 

 

 

 

 

 

 

 

 

 

)

 

 

 

 

 

 

 

 

 

 

 

 

 

 

 

 

 

 

 

 

 

 

 

 

 

 

 

1

 

2

 

 

=

 

 

 

 

 

 

 

 

k р(1pT1 )

 

 

 

 

=

B( p)

 

 

 

 

 

 

 

 

 

(1

+0.5pT

 

)(1+ pT

) +k р(1pT

)

 

 

 

 

 

 

 

 

 

 

 

 

C( p)

.

 

 

 

 

 

 

 

 

 

 

 

 

 

 

1

 

 

2

 

 

 

1

 

 

 

 

 

 

 

 

 

 

 

 

 

 

 

Характеристический полином замкнутой системы:

 

 

 

 

 

 

 

C(p) =1+ pT +0.5 pT +0.5 p2T T

+k

р

k

р

 

pT =

 

 

 

 

 

 

 

 

 

 

 

 

 

 

 

 

2

 

 

 

1

 

 

1 2

 

 

 

 

1

 

 

 

 

 

 

 

= 0.5T T p2

+ 0.5T +T k

T

p + 1+k

 

 

 

 

 

 

 

 

 

 

 

 

 

1 2

 

 

 

 

 

1

2

 

р 1

 

 

 

 

р

 

 

 

 

 

 

 

 

 

 

 

Определитель Гурвица:

 

 

 

 

 

 

 

 

 

 

 

 

 

 

 

 

 

 

 

=

0.5T +T k

T

0

 

 

 

 

 

 

 

 

 

 

 

 

 

 

 

 

 

 

 

 

1

 

 

2

 

р 1

1+k

 

 

 

 

 

 

 

 

 

 

 

 

 

 

 

 

 

 

 

 

 

 

 

 

 

0.5T T

 

 

 

 

 

 

 

 

 

 

 

 

 

 

 

 

 

 

 

 

 

 

 

 

 

 

 

 

 

 

 

1 2

 

 

 

 

р .

 

 

 

 

 

 

 

 

 

 

 

 

 

 

 

 

 

Для обеспечения устойчивости системы необходимо и достаточно выполнение следующих условий:

1 = 0.5T1 +T2 k рT1 > 0 ,

2 = 0.5T1 +T2 k рT1 1+k р > 0

Используя данные условия, найдем аналитическое выражение для расчета kпред:

0.5T +T

k

T > 0

 

1

2

 

р 1

1+k

р

> 0

 

 

 

 

 

 

 

5