Протипожежні перешкоди. До них відносять стіни, перегородки, перекриття, двері, ворота, люки, тамбур-шлюзи і вікна. Протипожежні стіни мають бути виконані з матеріалів, що не згорають, мати межу вогнестійкості не менше 2,5 ч. і спиратися на фундаменти. Протипожежні стіни розраховують на стійкість з урахуванням можливості одностороннього обвалення перекриттів і інших конструкцій при пожежі. Протипожежні двері, вікна і ворота в протипожежних стінах повинні мати межу вогнестійкості не менше 1,2 ч., а протипожежні перекриття – не менше 1 ч. Такі перекриття не повинні мати отворів, через які можуть проникати продукти горіння при пожежі.
Шляхи евакуації. При проектуванні будівель необхідно передбачити безпечну евакуацію людей на випадок виникнення пожежі. При виникненні пожежі люди повинні покинути будівлю протягом мінімального часу, який визначається найкоротшою відстанню від місця їх знаходження до виходу назовні. Відповідно до СНиП 11–2–80 число евакуаційних виходів з будівель, приміщень і з кожного поверху будівель визначається розрахунком, але повинно складати не менше двух. Евакуаційні виходи повинні розташовуватися розосереджено. При цьому ліфти і інші механічні засоби транспортування людей при розрахунках не враховують. Ширина ділянок шляхів евакуації має бути не менше 1 м, а дверей на шляхах евакуації – не менше 0,8 м. Ширина зовнішніх дверей сходових клітин має бути не менше ширини маршу сходів, висота проходу на шляхах евакуації – не менше 2 м. При проектуванні будівель і споруд для евакуації людей повинні передбачатися наступні види сходових клітин і сходів: незадимлювані сходові клітини (що сполучаються із зовнішньою повітряною зоною або обладнані технічними пристроями для підпору повітря); закриті клітини з природним освітленням через вікна в зовнішніх стінах; закриті сходові клітини без природного освітлення; внутрішні відкриті сходи (без внутрішніх стін, що захищають); зовнішні відкриті сходи. Для будівель з перепадами висот слід передбачати пожежні сходи.
Видалення з приміщень диму при пожежі. Як правило, виникнення пожежі в будівлях і спорудах супроводжується виділенням великої кількості диму, що затемняє приміщення і затрудняючого умови евакуації і гасіння пожежі. Крім того, дим має задушливі властивості. Він особливо небезпечний в сучасних висотних будівлях.
Видалення газів і диму з приміщень, що горять, виробляється через віконні отвори, аераційні ліхтарі, а також за допомогою спеціальних димових люків. Димові люки призначені для видалення продуктів горіння, забезпечення незадимлених суміжних приміщень і управління процесами горіння на пожежах (з тим, щоб надати полум'ю бажаний напрям). Димові люки встановлюють в підвальних приміщеннях, в перекриттях складських і безліхтарних виробничих будівель. Площу перерізу димових люків визначають розрахунком.
Задача 1
Оцінити ефективність природної вентиляції приміщення економічного відділу за такими вихідними даними:
габарити приміщення: довжина – 8 м, ширина – 4 м, висота – 3,2 м;
кількість працюючих – 7 робітники;
розмір кватирки – 0,20 м2;
розмір дверей – 1,68 м2;
висота від центру дверей до центру кватирки – 1,4 м.
Рішення:
Оцінка ефективності природної вентиляції робочого приміщення здійснюється порівнянням необхідного повітрообміну з фактичним.
Якщо об’єм робочого приміщення, що припадає на кожного працівника, менше 20 м3, необхідний повітрообмін повинен складати не менше L' = 30 м3/год. на одну особу. При об’ємі 20 м3 і більше на одного працівника повітрообмін повинен складати не менше L' = 20 м3/год. При об’ємі 40 м3 і більше на одного працівника за наявності в приміщенні вікон та дверей повітрообмін не лімітується.
Таким чином, необхідний повітрообмін Lн, м3/год, обчислюється за формулою:
, (2.1)
де n – кількість працюючих.
В нашому випадку об’єм робочого приміщення, що припадає на кожного працівника дорівнює:
м3
L=(8*4*3.2)/7=102.4/7=14,62857142857143
Фактичний повітрообмін у відділі здійснюється за допомогою природної вентиляції як неорганізовано – через різні нещільності у віконних і дверних прорізах, так і організовано – через кватирку у віконному прорізі.
Фактичний повітрообмін Lф, м3/год., обчислюється за формулою:
, (2.2)
де Fкв – площа кватирки, через яку буде виходити повітря, м2;
Vп – швидкість виходу повітря через кватирку, м/с. Її можна розрахувати за формулою:
(2.3)
де g – прискорення вільного падіння, g =9,8 м/с;
∆Н2 – тепловий напір, під дією якого буде виходити повітря з кватирки, кг/м2:
(2.4)
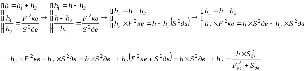
де h2 – висота від площини рівних тисків до центру кватирки (рис. 1).
Її можна визначити з наступного співвідношення: відстані від площини рівних тисків до центрів нижніх і верхніх прорізів відповідно h1 та h2, обернено пропорційні квадратам площ цих прорізів Sдв та Fкв, тобто
(2.5)
З геометричних розмірів приміщення h1+h2=h,
де h=1,5 м – висота між центрами нижніх та верхніх прорізів.
Таким чином, з системи двох рівнянь з двома невідомими знаходимо h2 (див. рис. 1).

Рис. 1 – Схема розрахунку природної вентиляції

Відповідно
м
(1.5*1.68^2) / (0.20^2*1.68^2)=
γз та γвн – відповідно об'ємна вага повітря зовні та з середини приміщення, кг/м3.
Об'ємна вага повітря визначається за формулою:
![]()
(2.6)
де Рб – барометричний тиск, мм рт. ст., в розрахунках береться Рб = 750 мм рт. ст.;
Т – температура повітря, градуси Кельвіна.
Для управлінських приміщень, в яких виконується легка робота відповідно до ГОСТу 12.1.005–88 для теплого періоду року, температура повітря повинна бути не вище +28˚С, або T=301К, для холодного періоду року відповідно t=17˚С, або T=290К.
Для повітря зовні приміщення температура визначається за СНиП 2.04.05–91:
для теплого періоду: t = 24˚С, T = 297 К;
для холодного періоду: t = -11˚С, T = 262 К.
Для холодного періоду
Об'ємна вага повітря зовні приміщення, кг/м3 буде дорівнювати:
γз =0,465*750/262=1,33
Об'ємна вага повітря з середини приміщення, кг/м3 буде дорівнювати:
γвн =0,465*750/290=1,2
Тепловий напір, під дією якого буде виходити повітря з кватирки, кг/м2 становить:
∆Н2 =1,48∙(1,33–1,2)=0,19
Швидкість виходу повітря через кватирку, м/с складає:
![]()
Фактичний повітрообмін Lф, м3/год., у відділі становить:
Lф=0,23∙1,76∙0,5∙3600=728,64 м3/год
Визначивши фактичний повітрообмін і порівнявши його з необхідним, можна зробити висновок про ефективність природної вентиляції у відділі. У холодний період року фактичний повітрообмін набагато більше необхідного (728,64 > 80), що може викликати переохолодження працюючих. Для покращення ефективності природної вентиляції рекомендується скорочення часу провітрювання приміщення пропорційно перевищенню фактичного повітрообміну над необхідним.
Необхідні 80 м3/год. Фактично можна досягти за:
хв.
Тобто для ефективної роботи природної вентиляції достатньо провітрювати приміщення економічного відділу протягом 6,5 хв. кожної години.
Для теплого періоду
Об'ємна вага повітря зовні приміщення, кг/м3 буде дорівнювати:
γз =0,465*750/297=1,17
Об'ємна вага повітря з середини приміщення, кг/м3 буде дорівнювати:
γвн =0,465*750/301=1,16
Тепловий напір, під дією якого буде виходити повітря з кватирки, кг/м2 становить:
∆Н2 =1,48∙(1,17–1,16)=0,01
Швидкість виходу повітря через кватирку, м/с складає:
![]()
Фактичний повітрообмін Lф, м3/год., у відділі становить:
Lф=0,23∙0,4∙0,5∙3600=165,6 м3/год
Визначивши фактичний повітрообмін і порівнявши його з необхідним, можна зробити висновок про ефективність природної вентиляції у відділі. У холодний період року фактичний повітрообмін набагато більше необхідного (165,6 > 80), що може викликати переохолодження працюючих. Для покращення ефективності природної вентиляції рекомендується скорочення часу провітрювання приміщення пропорційно перевищенню фактичного повітрообміну над необхідним.
Необхідні 80 м3/год. Фактично можна досягти за:
хв.
Тобто для ефективної роботи природної вентиляції достатньо провітрювати приміщення економічного відділу протягом 29 хв. кожної години.
Задача 2
Перевірити достатність природного освітлення у економічному відділі, виходячи з таких даних:
габарити приміщення: довжина – 7,8 м, ширина – 5,4 м, висота – 3,0 м;
розміри віконного прорізу: висота – 1,8 м, ширина – 2,0 м;
кількість вікон – 2;
висота від підлоги до підвіконня – 1,0 м;
середньозважений коефіцієнт відбиття внутрішніх поверхонь – 0,4;
найбільша відстань від вікна до робочого місця – 4,4 м.
Розв'язання:
При дослідженні достатності природного освітлення необхідно відповісти на запитання: чи відповідає фактичне значення природного освітлення нормативному за СНиП II-4–79. Тобто необхідно порівняти значення фактичного та нормативного коефіцієнтів природного освітлення.
Перш за все треба скласти розрахункову схему, дотримуючись пропорції розмірів або вибраного масштабу, на якій відобразити, рис. 2:
габаритні розміри приміщення: довжину, ширину, висоту;
розміри вікон: ширину, висоту, їх кількість;
розміщення вікон за висотою приміщення: висоту від підлоги до підвіконня та відносно рівня робочої поверхні, яка розміщена на висоті 0,8 м від підлоги;
відстань від вікна до розрахункової точки О, яка вибирається на робочому місці, найбільш віддаленому від вікна.

Рис. 2 – Схема розрахунку природного освітлення
Нормоване значення коефіцієнта природного освітлення (КПО) для четвертого світлового поясу, в якому знаходиться України, еIV, визначається, %, за формулою:
еIV=eнІІІ∙m∙c, (2.7)
де енІІІ – нормоване значення КПО для III світлового поясу за СНиП II-4–79. Для більшості адміністративно-управлінських приміщень, у яких виконуються роботи III розряду (середньої точності), для бокового освітлення енІІІ = 1,5%;
m – коефіцієнт світлового клімату (для України m = 0,9);
c – коефіцієнт сонячності. Для географічної широти м. Суми розташоване в межах 0,75–1,0, приймаємо с=0,875. Тоді:
еIV=1,5∙0,9∙0,875=1,18%
Фактичне значення коефіцієнта природного освітлення для досліджуваного приміщення можна вивести з формули: