Материал: Моделирование транспортных процессов

Внимание! Если размещение файла нарушает Ваши авторские права, то обязательно сообщите нам

Моделирование транспортных процессов

Введение

двухфазный светофор автомобиль

В сфере организации дорожного движения в последние годы складывается ситуация когда совершенно конкретные задачи и условия их решения требуют по-новому взглянуть на построение информационных и информационно-управляющих систем. Прежде всего, это касается изменившихся условий дорожного движения, которое характеризуется перенасыщенностью улично-дорожной сети транспортом и соответственно, необходимостью изменения применяемых моделей и их информационного насыщения, которые лежат в основе управления дорожным движением. Остро стоит задача обеспечения безопасности дорожного движения для всех его участников, это требует принципиально нового взгляда на проблему моделей в управлении дорожным движением.

Для своевременного принятия мер по повышению безопасности необходима количественная оценка условий движения в автомобильных потоках. Очевидно, что в этих целях определенную научную и практическую ценность имеют такие способы и критерии, которые основаны на моделировании реальных ситуаций дорожного движения с учетом психофизиологических особенностей поведения человека.

Данная курсовая работа позволяют изучить метод определения оптимальной продолжительности светофорного цикла, переходных интервалов, и задержек транспортных средств на светофоре.


1.      Выбор исходных данных

Направление

Вертикальное (фаза №1)

Горизонтальное (фаза №2)

Общая интенсивность N, авт/ч

Из них совершающие левый поворот, %

Тихоходных автомобилей в прямом потоке, %

Тихоходных автомобилей в поворачивающем налево потоке, %

Ширина пересекаемой улицы, м

Средняя скорость на подходе к перекрестку, км/ч

Среднее значение коэффициента сцепления, φ

Общая интенсивность N, авт/ч

Из них совершающие левый поворот, %

Тихоходных автомобилей в прямом потоке, %

Тихоходных автомобилей в поворачивающем налево потоке, %

Ширина пересекаемой улицы, м

Средняя скорость на подходе к перекрестку, км/ч

Среднее значение коэффициента сцепления, φ

720

18

15

15

8

50

0,48

320

18

20

10

8,2

48

0,48


2.      Расчет оптимальной продолжительности двухфазного светофорного цикла

Для учета дополнительных потерь времени смешанных по составу потоков транспорта необходимо оперировать усредненными интенсивностями, приведенными к однородному легковому потоку прямого направления.

Дополнительные потери времени на перекрестках из-за левых поворотов и наличия в транспортном потоке тяжелых, тихоходных грузовых автомобилей учитывают при расчете продолжительности цикла следующим образом.

Левый поворот автомобиля обычно задерживает поток встречного движения дополнительно на 1,3 секунды. Таким образом, автомобиль, делающий левый поворот, можно считать эквивалентным (2,1+1,3)/2,1=1,6 автомобиля, движущегося в прямом направлении. Где 2,1 - средний интервал времени трогания с места автомобилей очереди, собранной запрещающим сигналом светофора у перекрестка.

Тихоходные грузовые автомобили и автобусы затрачивают на трогание с места приблизительно в 1,5 раза больше времен, и поэтому при расчетах их можно считать эквивалентными 1,5 раза легкового автомобиля.

Определяем интенсивность в приведенных ед/ч:

Фаза 1 (Вертикальное направление)

Nобщ 1=(720-130-89)+(130-20) ·1,6+89·1,5+20·2,4=858.5 ед/ч.

Фаза 2 (Горизонтальное направление)

Nобщ 2=(320-58-52)+(58-5) ·1,6+32·1,5+5·2,4=384.8 ед/ч.

Количество автомобилей n1, которые прибудут к светофору за любой интервал фазы в течение цикла, составит n1 = С/А, где С - продолжительность цикла в секундах, А - средний интервал прибытия автомобилей в секундах. С другой стороны, количество автомобилей, которые соберутся в очередь перед светофором, равно:


Поскольку А связанно с интенсивностью движения, зависимостью:

А = 3600/N,

где N - интенсивность движения автомобилей в час.

То продолжительность цикла для двухфазного регулирования движения определяется по формуле:


Интенсивность прибытия автомобилей за цикл к регулируемому пересечению, определяется по формуле:

ɑ = N∙C/3600

Длительность интервалов зеленого света (основных интервалов цикла регулирования) определяется по формуле:

G = ɑ∙Dк + K

При К = 4,75 и интервале трогания с места Dк = 2,1 секунд продолжительность фазы будет равна:

G = ɑ∙4,75 + 2,1

Предыдущие теоретические расчеты сделаны в предположении равномерного, через определенные интервалы, прибытия автомобилей к регулируемому перекрестку. В действительности положение автомобилей в потоке случайно, и они прибывают к перекрестку через различные интервалы, более или менее отклоняющие от средней величины. Вероятность этих отклонений можно установить с помощью распределения Пуассона:


где  - среднее число автомобилей, прибывающих к перекрестку за цикл;  - возможное количество автомобилей, прибывающих к перекрестку за цикл;  - вероятность прибытия к перекрестку автомобилей за цикл.

Таким образом, цикл, рассчитанный на средний интервал, может быть слишком велик, когда количество прибывающих автомобилей меньше среднего количества, или слишком мал, когда количество прибывающих автомобилей больше среднего количества. В первом случае интервал зеленого света может быть уменьшен, во втором автомобили будут накапливаться и без нужды дополнительно задерживаться. Для того чтобы повысить пропускную способность и избежать излишних задержек, продолжительность цикла неизбежно должна быть увеличена.

Среднее количество автомобилей , которое прибудет за данную продолжительность цикла С, зависит от интенсивности движения N. Больше, чем , количество автомобилей , которое может прибыть за данную продолжительность цикла С, зависит не только от , но и от продольного расположения автомобилей в потоке. Обычно считают, что продольное расположение автомобилей следует закону распоряжения Пуассона, пользуясь которым можно вычислить  прибытия  или меньшего количества автомобилей за цикл. Эту вероятность удобно выразить в процентах от общего количества циклов, в течение которых прибудет  или меньшее количество автомобилей.

Если количество автомобилей  соответствует пропускной способности взятого в отдельности цикла, то за остальные (100 - )% циклов будет прибывать большее количество автомобилей, которые образуют скопление автомобилей перед регулируемым перекрестком и будут задержаны до следующего цикла.

Очевидно, что при циклах разной продолжительности вероятность скопления будет различной, и эта вероятность может быть принята в качестве критерия продолжительности цикла. Если, например, продолжительность цикла такова, что интервал зеленого света достаточен для среднего количества прибывающих за цикл автомобилей, то например 30-40% циклов не обеспечат пропуска повышенного количества автомобилей, которые при случайном расположении автомобилей в транспортном потоке могут прибыть к перекрестку. Часть этих автомобилей будет задержана перед светофором до следующего цикла.

При небольшом увеличении продолжительности цикла вероятность пропуска автомобилей без задержек до следующего цикла существенно повышается. Таким образом, возникает вопрос, какое значение вероятности следует принять, чтобы количество случаев задержек было приемлемым. Практически считают вероятность Р достаточной, когда 95% циклов обеспечивают пропуск автомобилей без задержек и только в течении 5% циклов возможны задержки.

Пропускная способность интервалов зеленого света точно соответствует среднему количеству прибывающих автомобилей. Учитывая возможность прибытия большего количества автомобилей к перекрестку, рассчитываем теперь, пользуясь распределением Пуассона, вероятность  пропуска  автомобилей через перекресток без задержек до следующего цикла.

Результаты расчетов заносятся в таблицу 1.1. Вторая и последующие строки таблицы заполняются следующим образом. Так как продолжительность цикла может увеличиваться пропорционально увеличению числа автомобилей, на каждый добавленный автомобиль к пропускной способности данной фазы, увеличивается ее длительность на 2,1 секунды.

Цикл регулирования увеличивается на сумму увеличения обеих фаз. Для нового значения цикла регулирования вновь пересчитывается количество автомобилей , прибывших к перекрестку и вероятность их пропуска без задержек.

Увеличение продолжительности горения основного сигнала повторяют до тех пор, пока величина определяемой вероятности не достигнет 95%.

Если в одной фазе вероятность достигла 95%, а во второй - нет, то для первой фазы количество автомобилей , которое может прибыть за данную продолжительность цикла, не изменяется, а для второй его следует увеличить еще на один автомобиль и повторить расчеты.

Расчеты заканчиваются, когда величина определяемой вероятности достигнет 95% в обеих фазах.

Результаты расчета продолжительности цикла двухфазного регулирования

Расчет продолжительности цикла двухфазного регулирования

Предположим, что на перекрестке с интенсивностью движения в «час пик» 858,5 ед/ч в вертикальном направлении и 384,8 ед/ч в горизонтальном направлении необходимо установить двухфазное регулирование движения.

Для условий рассматриваемого нами перекрестка длительность цикла светофорного регулирования составит:

Первая строка таблицы:

(сек.)

Интенсивность прибытия автомобиля за цикл к регулируемому пересечению:

Фаза 1:

 (автомобилей).

Фаза 2:

 (автомобилей).

Длительность интервалов зеленого света (основных интервалов цикла регулирования):

Фаза 1:

 (сек.).

Фаза 2:

 (сек.).

Вероятность пропуска автомобилей без задержек:

Фаза 1:


Фаза 2:


Вторая строка таблицы:

Фаза 1:

 (автомобилей)

Тогда продолжительность интервала зеленого света:

 (сек.)

Фаза 2:

 (автомобилей)

Тогда продолжительность интервала зеленого света:

 (сек.)

Длительность цикла регулирования:

 (сек.).

Интенсивность прибытия автомобиля за цикл к регулируемому пересечению:

Фаза 1:

 (автомобилей).


Фаза 2:

 (автомобилей).

Вероятность пропуска автомобилей без задержек:

Фаза 1:


Фаза 2:

Третья строка таблицы:

Фаза 1:

 (автомобилей)

Тогда продолжительность интервала зеленого света:

 (сек.)

Фаза 2:

 (автомобилей)


Тогда продолжительность интервала зеленого света:

 (сек.)

Длительность цикла регулирования:

 (сек.).

Интенсивность прибытия автомобиля за цикл к регулируемому пересечению:

Фаза 1:

 (автомобилей).

Фаза 2:

 (автомобилей).

Вероятность пропуска автомобилей без задержек:

Фаза 1:


Фаза 2:


Четвертая строка таблицы:

Фаза 1:

 (автомобилей)

Тогда продолжительность интервала зеленого света:

(сек.)

Фаза 2:

(автомобилей)

Тогда продолжительность интервала зеленого света:

 (сек.)

Длительность цикла регулирования:

 (сек.).

Интенсивность прибытия автомобиля за цикл к регулируемому пересечению:

Фаза 1:

 (автомобилей).

Фаза 2:

 (автомобилей).

Вероятность пропуска автомобилей без задержек:

Фаза 1:


Фаза 2:

Пятая строка таблицы:

Фаза 1:

 (автомобилей)

Тогда продолжительность интервала зеленого света:

 (сек.)

Фаза 2:

 (автомобилей)

Тогда продолжительность интервала зеленого света:

 (сек.)


Длительность цикла регулирования:

 (сек.).

Интенсивность прибытия автомобиля за цикл к регулируемому пересечению:

Фаза 1:

 (автомобилей).

Фаза 2:

 (автомобилей).

Вероятность пропуска автомобилей без задержек:

Фаза 1:


Фаза 2:

Шестая строка таблицы:

Фаза 1:

 (автомобилей)

Тогда продолжительность интервала зеленого света:

 (сек.)

Фаза 2:

 (автомобилей)

Тогда продолжительность интервала зеленого света:

 (сек.)

Длительность цикла регулирования:

 (сек.).

Интенсивность прибытия автомобиля за цикл к регулируемому пересечению:

Фаза 1:

 (автомобилей).

Фаза 2:

 (автомобилей).

Вероятность пропуска автомобилей без задержек:

Фаза 1:


Фаза 2:

Седьмая строка таблицы:

Фаза 1:

 (автомобилей)

Тогда продолжительность интервала зеленого света:

 (сек.)

Фаза 2:

 (автомобилей)

Тогда продолжительность интервала зеленого света:

 (сек.)

Длительность цикла регулирования:

 (сек.).

Интенсивность прибытия автомобиля за цикл к регулируемому пересечению:

Фаза 1:

 (автомобилей).

Фаза 2:

 (автомобилей).

Вероятность пропуска автомобилей без задержек:

Фаза 1:


Фаза 2:

Восьмая строка таблицы:

Фаза 1:

 (автомобилей)

Тогда продолжительность интервала зеленого света:

 (сек.)

Фаза 2:

 (автомобилей)

Тогда продолжительность интервала зеленого света:

 (сек.)

Длительность цикла регулирования:

 (сек.).

Интенсивность прибытия автомобиля за цикл к регулируемому пересечению:

Фаза 1:

 (автомобилей).

Фаза 2:

 (автомобилей).

Вероятность пропуска автомобилей без задержек:

Фаза 1:




Фаза 2:

Девятая строка таблицы:

Фаза 1:

 (автомобилей)

Тогда продолжительность интервала зеленого света:

 (сек.)

Фаза 2:

 (автомобилей)

Тогда продолжительность интервала зеленого света:

 (сек.)

Длительность цикла регулирования:

 (сек.).

Интенсивность прибытия автомобиля за цикл к регулируемому пересечению:

Фаза 1:

 (автомобилей).

Фаза 2:

 (автомобилей).

Вероятность пропуска автомобилей без задержек:

Фаза 1:


Фаза 2:

Десятая строка таблицы:

Фаза 1:

(автомобилей)

Тогда продолжительность интервала зеленого света:

 (сек.)

Фаза 2:

 (автомобилей)

Тогда продолжительность интервала зеленого света:

(сек.)

Длительность цикла регулирования:

 (сек.).

Интенсивность прибытия автомобиля за цикл к регулируемому пересечению:

Фаза 1:

 (автомобилей).

Фаза 2:

 (автомобилей).

Вероятность пропуска автомобилей без задержек:

Фаза 1:


Фаза 2:


Одиннадцатая строка таблицы:

Фаза 1:

 (автомобилей)

Тогда продолжительность интервала зеленого света:

 (сек.)

Фаза 2:

 (автомобилей)

Тогда продолжительность интервала зеленого света:

 (сек.)

Длительность цикла регулирования:

 (сек.).

Интенсивность прибытия автомобиля за цикл к регулируемому пересечению:

Фаза 1:

 (автомобилей).

Фаза 2:

 (автомобилей).

Вероятность пропуска автомобилей без задержек:

Фаза 1:


Фаза 2:

Двенадцатая строка таблицы:

Фаза 1:

 (автомобилей)

Тогда продолжительность интервала зеленого света:

 (сек.)

Фаза 2:

 (автомобилей)

Тогда продолжительность интервала зеленого света:

 (сек.)


Длительность цикла регулирования:

 (сек.).

Интенсивность прибытия автомобиля за цикл к регулируемому пересечению:

Фаза 1:

 (автомобилей).

Фаза 2:

 (автомобилей).

Вероятность пропуска автомобилей без задержек:

Фаза 1:


Фаза 2:

Тринадцатая строка таблицы:

Фаза 1:

(автомобилей)

Тогда продолжительность интервала зеленого света:

 (сек.)

Фаза 2:

 (автомобилей)

Тогда продолжительность интервала зеленого света:

 (сек.)

Длительность цикла регулирования:

 (сек.).

Интенсивность прибытия автомобиля за цикл к регулируемому пересечению:

Фаза 1:

 (автомобилей).

Фаза 2:

 (автомобилей).

Вероятность пропуска автомобилей без задержек:

Фаза 1:


Фаза 2:

Четырнадцатая строка таблицы:

Фаза 1:


Тогда продолжительность интервала зеленого света:

 (сек.)

Фаза 2:

 (автомобилей)

Тогда продолжительность интервала зеленого света:

 (сек.)

Длительность цикла регулирования:

 (сек.).

Интенсивность прибытия автомобиля за цикл к регулируемому пересечению:

Фаза 1:

 (автомобилей).

Фаза 2:

 (автомобилей).

Вероятность пропуска автомобилей без задержек:

Фаза 1:


Фаза 2:

Пятнадцатая строка таблицы:

Фаза 1:

 (автомобилей)

Тогда продолжительность интервала зеленого света:

 (сек.)

Фаза 2:

 (автомобилей)

Тогда продолжительность интервала зеленого света:

 (сек.)

Длительность цикла регулирования:

 (сек.).

Интенсивность прибытия автомобиля за цикл к регулируемому пересечению:

Фаза 1:

 (автомобилей).

Фаза 2:

 (автомобилей).

Вероятность пропуска автомобилей без задержек:

Фаза 1:




Фаза 2:

Шестнадцатая строка таблицы:

Фаза 1:

 (автомобилей)

Тогда продолжительность интервала зеленого света:

 (сек.)

Фаза 2:

 (автомобилей)

Тогда продолжительность интервала зеленого света:

 (сек.)

Длительность цикла регулирования:

 (сек.).

Интенсивность прибытия автомобиля за цикл к регулируемому пересечению:

Фаза 1:

 (автомобилей).

Фаза 2:

 (автомобилей).

Вероятность пропуска автомобилей без задержек:

Фаза 1:


Фаза 2:

Семнадцатая строка таблицы:

Фаза 1:

 (автомобилей)

Тогда продолжительность интервала зеленого света:

 (сек.)

Фаза 2:

 (автомобилей)

Тогда продолжительность интервала зеленого света:

 (сек.)

Длительность цикла регулирования:

 (сек.).

Интенсивность прибытия автомобиля за цикл к регулируемому пересечению:

Фаза 1:

 (автомобилей).

Фаза 2:

 (автомобилей).

Вероятность пропуска автомобилей без задержек:

Фаза 1:


Фаза 2:


Восемнадцатая строка таблицы:

Фаза 1:

 (автомобилей)

Тогда продолжительность интервала зеленого света:

 (сек.)

Фаза 2:

 (автомобилей)

Тогда продолжительность интервала зеленого света:

 (сек.)

Длительность цикла регулирования:

 (сек.).

Интенсивность прибытия автомобиля за цикл к регулируемому пересечению:

Фаза 1:

 (автомобилей).

Фаза 2:

 (автомобилей).

Вероятность пропуска автомобилей без задержек:

Фаза 1:


Фаза 2:

Девятнадцатая строка таблицы:

Фаза 1:

 (автомобилей)

Тогда продолжительность интервала зеленого света:

 (сек.)

Фаза 2:

 (автомобилей)

Тогда продолжительность интервала зеленого света:

 (сек.)


Длительность цикла регулирования:

 (сек.).

Интенсивность прибытия автомобиля за цикл к регулируемому пересечению:

Фаза 1:

 (автомобилей).

Фаза 2:

(автомобилей).

Вероятность пропуска автомобилей без задержек:

Фаза 1:


Фаза 2:

Двадцатая строка таблицы:

Фаза 1:

 (автомобилей)

Тогда продолжительность интервала зеленого света:

 (сек.)

Фаза 2:

 (автомобилей)

Тогда продолжительность интервала зеленого света:

 (сек.)

Длительность цикла регулирования:

 (сек.).

Интенсивность прибытия автомобиля за цикл к регулируемому пересечению:

Фаза 1:

 (автомобилей).

Фаза 2:

 (автомобилей).

Вероятность пропуска автомобилей без задержек:

Фаза 1:


Фаза 2:

Двадцать первая строка таблицы:

Фаза 1:

 (автомобилей)

Тогда продолжительность интервала зеленого света:

 (сек.)

Фаза 2:

 (автомобилей)

Тогда продолжительность интервала зеленого света:

 (сек.)

Длительность цикла регулирования:

 (сек.).

Интенсивность прибытия автомобиля за цикл к регулируемому пересечению:

Фаза 1:

 (автомобилей).

Фаза 2:

 (автомобилей).

Вероятность пропуска автомобилей без задержек:

Фаза 1:


Фаза 2:


3.      Определение длительности переходных интервалов

Для остановки движущегося автомобиля требуется время. При мгновенном изменении зеленого света на красный такого времени у водителя не будет. Точно также необходимо время, чтобы освободить перекресток до того, как начнется движение транспорта в поперечном направлении. Таким временем водитель располагает в период горения желтого света, когда он может выполнить операции остановки или трогания с места, а также освободить перекресток. Эти факторы учитывают при расчете продолжительности горения желтого света.

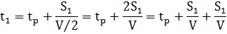
Время, требующееся для остановки автомобиля, состоит из времени реакции плюс время торможения. Если t1 - время остановки, tр - время реакции водителя, Si - путь торможения и V - скорость движения:


Время освобождения перекрестка прямо пропорционально сумме тормозного пути и ширины перекрестка и обратно пропорционально скорости движения. Если t2 - время освобождения перекрестка, S2 - ширина перекрестка:


С увеличением скорости движения время для остановки автомобиля и освобождения перекрестка возрастает (в последнем случае в несколько меньшей степени).


Путь торможения  определяется по формуле:




Длительность переходного интервала, равна максимальному значению из вычисленных времени остановки и времени освобождения перекрестка.

Фаза 1 (вертикальное направление)

 (м).

 (сек.).

 (сек.).

Фаза 2 (горизонтальное направление)

 (м).

 (сек.).

(сек.).

Длительность переходных интервалов принимаем равным 4 секундам.

4.      Определение задержек автомобилей на светофоре

Интервалы прибытия автомобилей определяется по формуле:

, сек.

Максимальное количество задержанных автомобилей:


Общая задержка всех автомобилей равна:



где  равно: 2,0 при  =1

,0 при  =2

,4 при  =3

,5 при  >4

Среднюю задержку на один автомобиль можно получить, разделив суммарное время задержки  на максимальное количество задержанных автомобилей.

После необходимых преобразований получим:


Фаза 1 (вертикальное направление)

 (сек.).

 (ед).

Принимаем  равное 20.

 (сек.).

(сек.).

Фаза 2 (горизонтальное направление)

 (сек.).

 (ед).

Принимаем  равное 10.

 (сек.).

 (сек.).

.        Построение математической модели цикла светофорного регулирования на пересечении городских улиц

При изучении любого процесса методом моделирования в первую очередь необходимо построить математическое описание или математическую модель изучаемого процесса и определить величины, характеризующие процесс с количественной точки зрения.

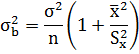
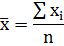
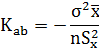
В курсовом проекте необходимо построить математическую модель, позволяющую установить зависимость между возможностью бесконфликтного пропуска автомобилей через регулируемый перекресток и длительностью цикла регулирования. Данная модель будет построена на основе использования метода наименьших квадратов.

Применение метода наименьших квадратов на основе выборки (xi; yi), i=1…n, полученной в результате расчетов в курсовом проекте построить математическую модель зависимости вероятности задержки автомобиля от длительности цикла. В нашем случае в качестве переменной x будем принимать длительности цикла С, а в качестве выходного параметра y вероятность безостановочного пропуска автомобилей через перекресток (100-Px), %. В результате анализа данных таблицы 1.1. установлено, что зависимость между С и (100-Px), % носит линейный характер и может быть представлена в виде графика простой линейной регрессии и искомая модель будет иметь вид:


Установим зависимости определения значения оценок параметров  и , после необходимых преобразований получим:


Учитывая, что вероятность бесконфликтного пропуска автомобилей через регулируемый перекресток изменяется с изменением длительности цикла для первой и второй фазы независимо друг от друга, но определяющей является длительность первой фазы, модель простой линейной регрессии строится для первой фазы.

В качестве характеристики точности подбора прямой можно принять сумму квадратов:




1

0,212739314

2

0,175784728

3

0,14350512

4

0,11590049

5

0,092970837

6

0,074716162

7

0,061136465

8

0,052231745

9

0,049532502

10

0,048002004

11

0,04844724

12

0,050422974

13

0,053567453

14

0,063362645

15

0,070013357

16

0,077832814

17

0,096977961

18

0,108303651

19

0,120798085

20

0,134461264

21

0,149293188


Из проведенных расчетов мы видим что ,

Заключение

В данной курсовой работе я произвел все необходимые расчеты для определения оптимальной продолжительности светофорного цикла, переходных интервалов, и задержек транспортных средств на светофоре.

Для первой фазы были определены:

переходный интервал: t1≈ 4с;

общая задержка: T = 229,9 (сек.);

задержка на 1 автомобиль: Т/n= 20 (сек.).

Для второй фазы были определены:

переходный интервал: t2≈ 4с;

общая задержка: T = 284,4 (сек.);

задержка на 1 автомобиль: Т/n= 32,98 (сек.).

Оптимальное время светофорного цикла - 35,61 (сек.). Оно обеспечит пропуск 95% автомобилей без задержек и только в течении 5% цикла возможны задержки.


Список литературы

1.   Бабков В.Ф. и др. Дорожные условия и режимы движения автомобилей. 2-е изд., перераб. и доп. М.: «Транспорт», 1992.

2.      Кисляков В.М., Филиппов В.В. Математическое моделирование и оценка условий движения автомобилей и пешеходов. М.: «Транспорт», 1994.

3.   Садило Р.М., Передерий В.Г. Моделирование светофорного управления на пересечениях городских улиц. Юж.-Рос. Гос. Техн. ун-т (НПИ). - Новочеркасск: ЮРГПУ (НПИ), 2008. - 36 с.

4.      Кукса Н.Н., Технические средства организации дорожного движения: Учеб. пособие, Новочеркасск: ЮРГПУ (НПИ), 2001.

.        Кременец Ю.А, Печерский М.П., Афанасьев М.Б. Технические средства организации дорожного движения: Учебник для вузов. - М.: ИКЦ «Академкнига», 2005. - 279 с.

.        Клинковштейн Г.И., Афанасьев М.Б. Организация дорожного движения. - М.: Транспорт, 2001.